Информационная система
«Ёшкин Кот»

Скачать базу одним архивом
Скачать обновления
История создания базы
Карта сайта

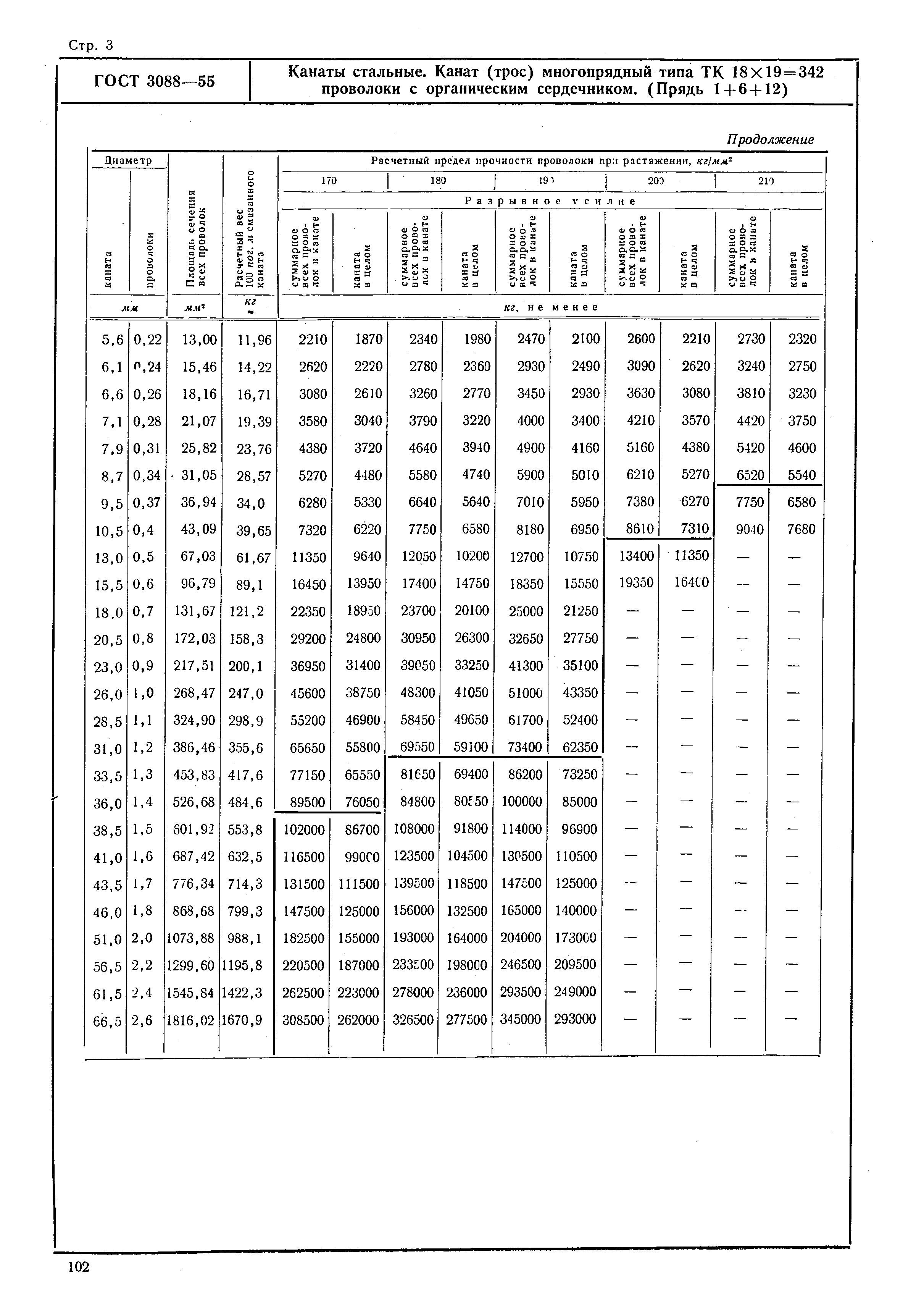
Скачать ГОСТ 3088-55 Канаты стальные. Канат (трос) многопрядный типа ТК 18 x 19 = 342 проволоки с органическим сердечником. Прядь 1+6+12

Дата актуализации: 10.08.2017

ГОСТ 3088-55

Канаты стальные. Канат (трос) многопрядный типа ТК 18 x 19 = 342 проволоки с органическим сердечником. Прядь 1+6+12

Обозначение: ГОСТ 3088-55
Обозначение англ: GOST 3088-55
Статус:взамен
Название рус.:Канаты стальные. Канат (трос) многопрядный типа ТК 18 x 19 = 342 проволоки с органическим сердечником. Прядь 1+6+12
Дата добавления в базу:01.02.2017
Дата актуализации:05.05.2017
Область применения:Стандарт распространяется на стальные канаты (тросы) многопрядные с точечным касанием проволок в прядях, типа ТК, с одним органическим сердечником.
Разработан: Министерство черной металлургии СССР
Утверждён:10.10.1955 Комитет стандартов, мер и измерительных приборов при Совете Министров Союза ССР
Издан: Издательство стандартов (1956 г. )
Расположен в:Техническая документация
Заменяет собой:
  • ГОСТ 3088-46 «Канаты стальные. Канат (трос) многопрядный 18 х 19 = 342 проволок и 1 органический сердечник» (Сведения из перечня "Указатель государственных общесоюзных стандартов 1965 г.", Издательство стандартов 1965)
Чем заменён:
  • ГОСТ 3088-69 «Канаты стальные. Канат двойной свивки многопрядный типа ЛК-Р конструкции 18х19(1+6+6/6)+1 О. С.» (Сведения из перечня "Указатель государственных стандартов СССР 1970 г.", Издательство комитета стандартов 1970)
Нормативные ссылки:
ГОСТ 3088-55ГОСТ 3088-55ГОСТ 3088-55ГОСТ 3088-55

© 2013 Ёшкин Кот :-) Карта сайта