| ||||||||||||||||||||||||||||||||||
Скачать РД 50-213-80 Правила измерения расхода газов и жидкостей стандартными сужающими устройствамиДата актуализации: 10.08.2017
|
| Обозначение: | РД 50-213-80 |
| Обозначение англ: | RD 50-213-80 |
| Статус: | заменен |
| Название рус.: | Правила измерения расхода газов и жидкостей стандартными сужающими устройствами |
| Дата добавления в базу: | 01.09.2013 |
| Дата актуализации: | 05.05.2017 |
| Дата введения: | 01.10.1999 |
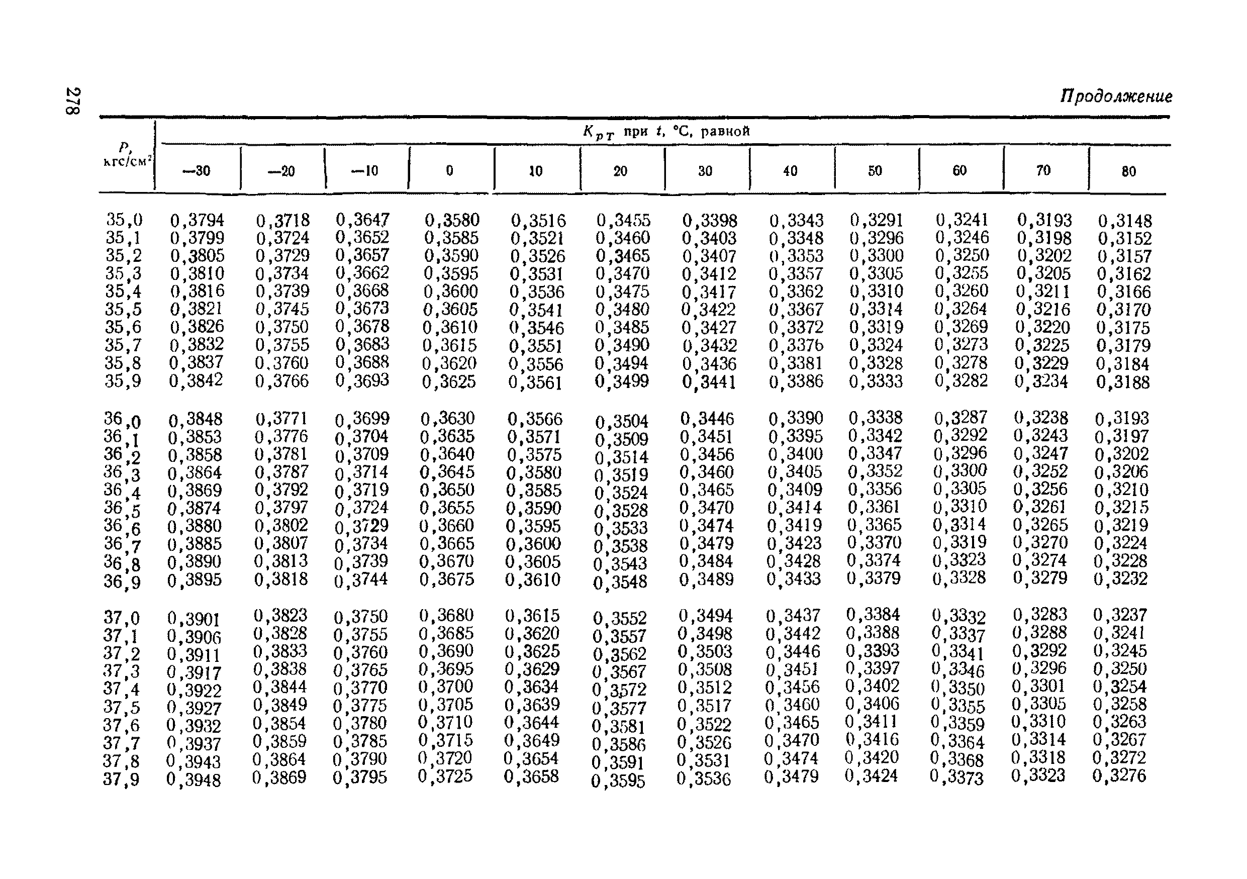
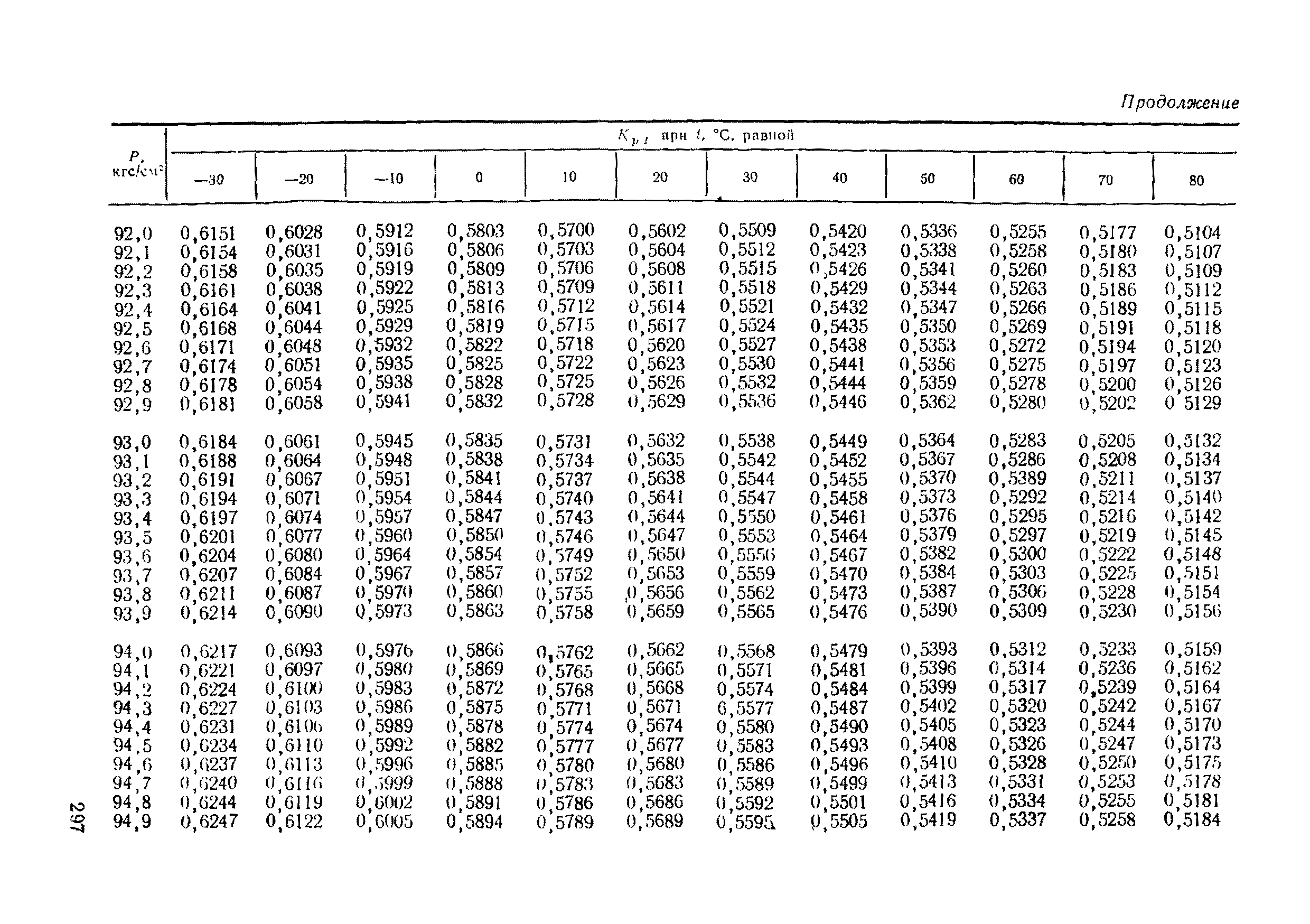
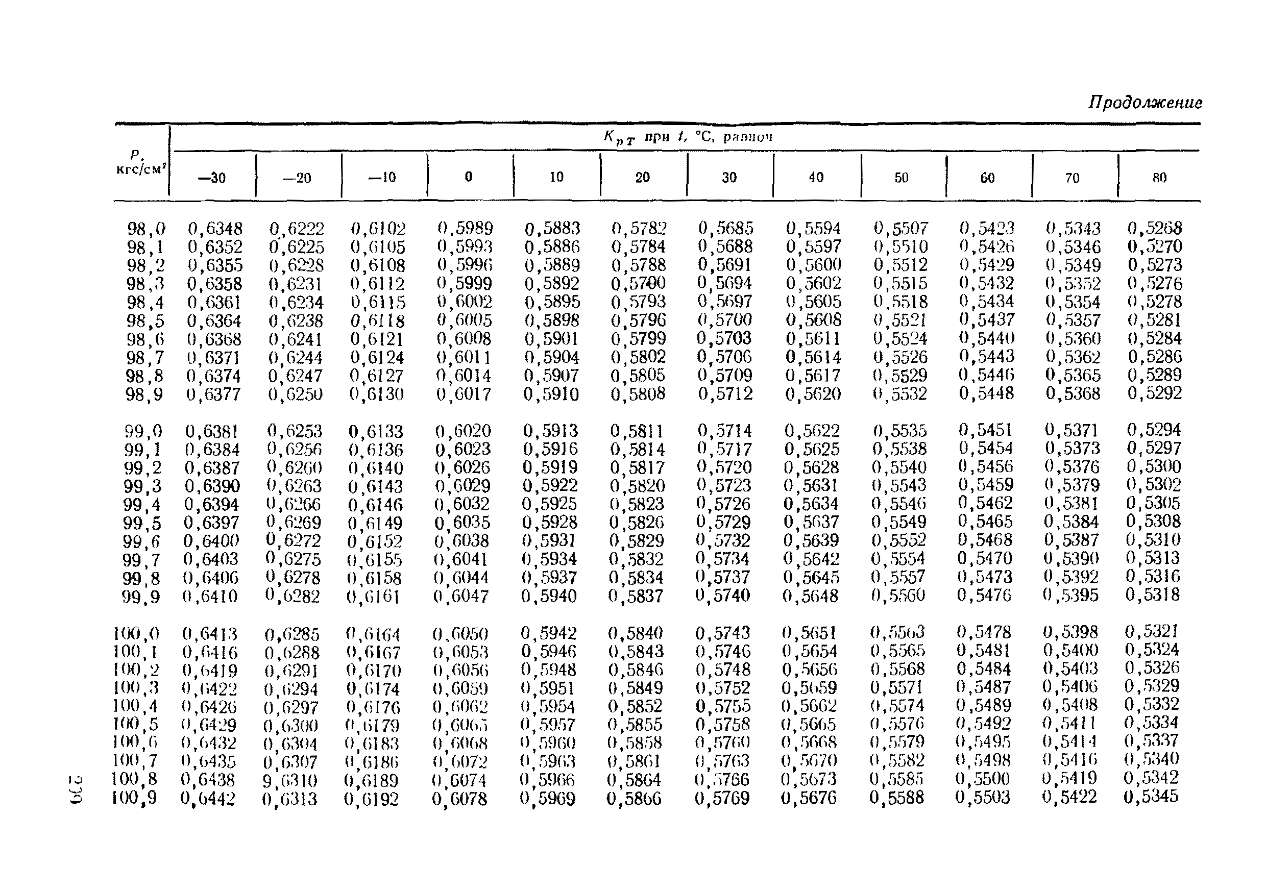
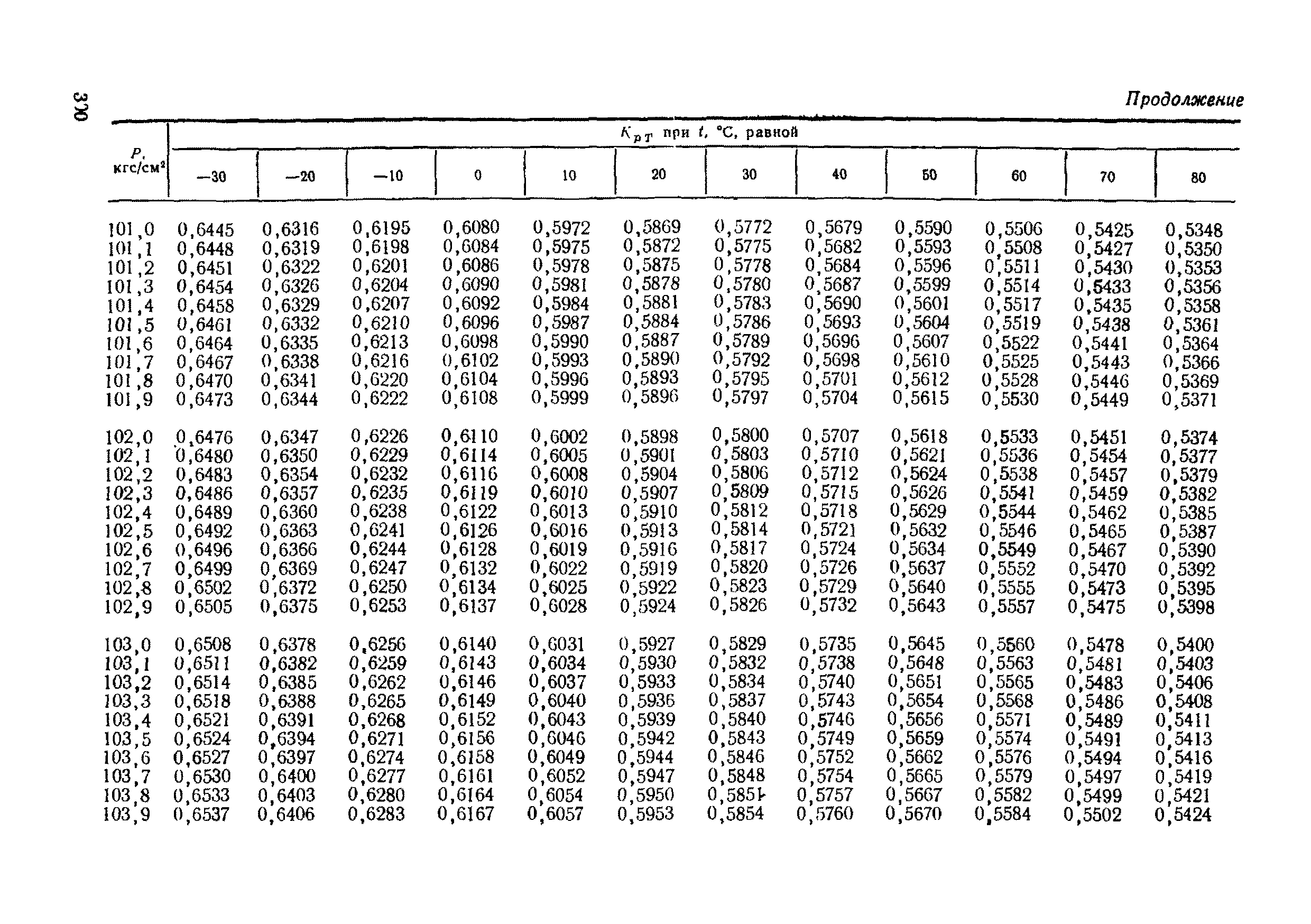
| Область применения: | Правила регламентируют основы измерения расхода газов и жидкостей методом переменного перепада давления и общие технические требования к расходомерным устройствам, состоящим из расходомера и прямых участков трубопроводов до и после сужающего устройства с местными сопротивлениями. Положения настоящих Правил распространяются на расходомерные устройства как отечественного производства, так и импортные при условии применения в них углового или фланцевого способов отбора перепада давления на сужающем устройстве. |
| Оглавление: | 1 Общие положения 2 Условные обозначения 3 Основные уравнения расхода 4 Измерение расхода промышленными и лабораторными дифманометрами 5 Коэффициент расхода 6 Определение основных параметров потоков измеряемой среды 7 Расход среднего суточного расхода 8 Погрешности измерения расхода 9 Требования к стандартным сужающим устройствам 10 Требования к исполнению и монтажу прямых участков трубопровода 11 Требования к дифманометрам и их установке 12 Расчет сужающего устройства 13 Поверка расходомера приложения |
| Разработан: | ВНИИгаз (VNIIgaz ) КФ ВНИИФТРИ |
| Утверждён: | 14.08.1980 Государственный комитет СССР по стандартам (USSR National Committee on Standards 4255) |
| Расположен в: | |
| Список изменений: | |
| Заменяет собой: | |
| Чем заменён: |
|













































































































































































































































































































































Текстовое изменение № 1 от 01.09.1985





