Информационная система
«Ёшкин Кот»

Скачать базу одним архивом
Скачать обновления
История создания базы
Карта сайта

Скачать ТЕРр Белгородская область 2001-58 Крыши, кровли

Дата актуализации: 10.08.2017

ТЕРр Белгородская область 2001-58

Крыши, кровли

Обозначение: ТЕРр Белгородская область 2001-58
Обозначение англ: 2001-58
Статус:действует
Название рус.:Крыши, кровли
Дата добавления в базу:01.09.2013
Дата актуализации:05.05.2017
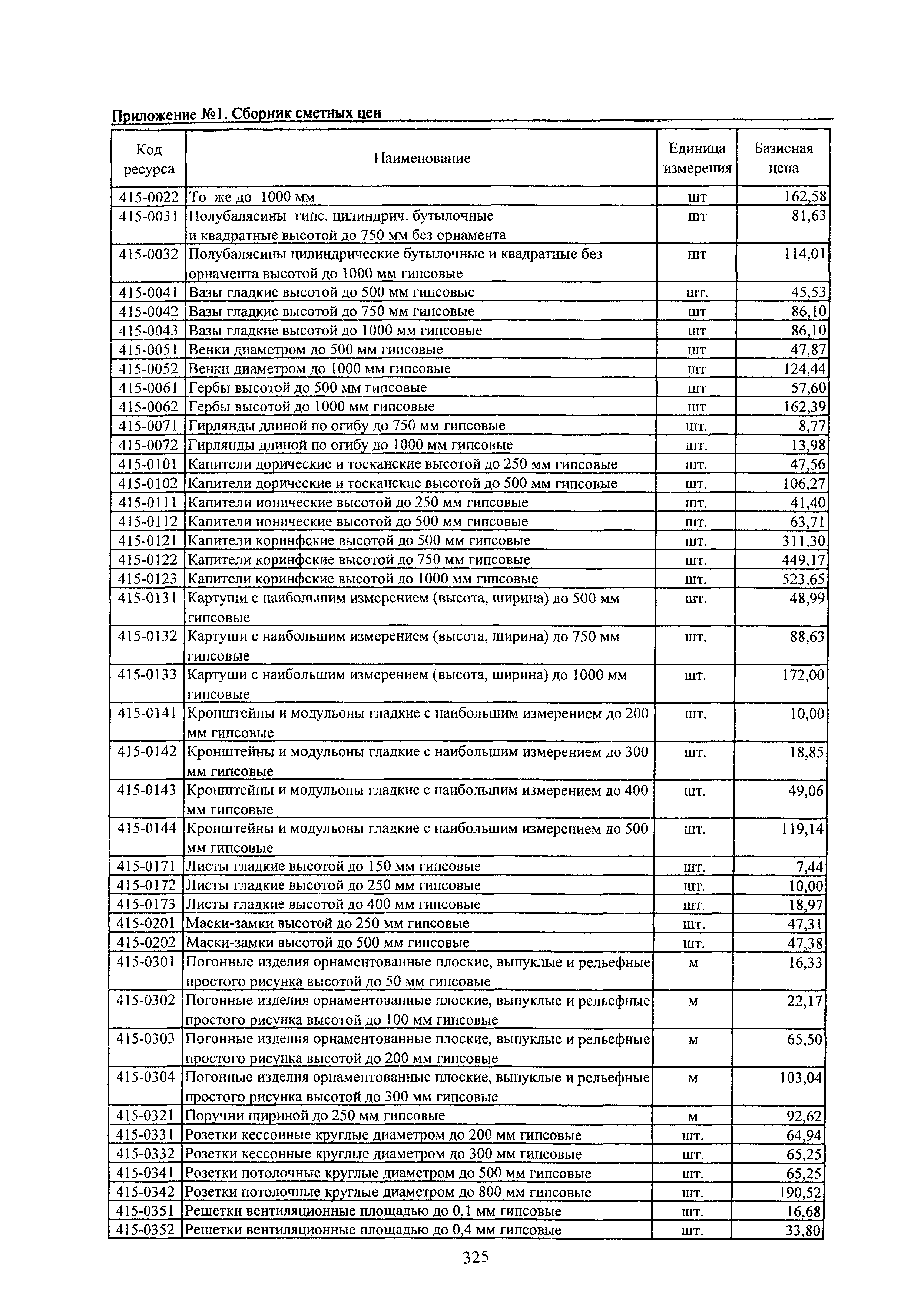
Область применения:Сборник содержит единичные расценки на разборку, ремонт и смену основных конструкций крыш и кровель. В расценках учтен весь комплекс операций по разборке, ремонту, смене и устройству основных конструкций крыш и кровель, включая: устройство ограждений по технике безопасности; уборку материалов, отходов и мусора; сортировку и штабелировку материалов. В расценках учтена разборка конструкций на отдельные элементы.
Оглавление:1. Общие положения
2. Средние сметные цены
3. Затраты труда и оплата труда
4. Применение единичных расценок
Техническая часть
        1. Общие указания
        2. Правила определения объемов работ
Приложение 1
Сборник сметных расценок на эксплуатацию строительных машин и автотранспортных средств
Сборник сметных цен на материалы, изделия и конструкции
Разработан: Департамент строительства и транспорта правительства администрации Белгородской области
Утверждён:21.06.2003 Администрация Белгородской области (17)
Расположен в:Техническая документация Экология СТРОИТЕЛЬНЫЕ МАТЕРИАЛЫ И СТРОИТЕЛЬСТВО Строительная промышленность Стоимость строительства и обслуживания зданий и сооружений -50 Стоимость строительных и строительно-монтажных работ Строительство Нормативные документы Нормативные документы субъектов Российской Федерации Нормативные документы Белгородской области Документы Системы нормативных документов в строительстве Нормативные документы по экономике к.81 Ценообразование и сметы Классификатор ISO Нормативные документы по экономике Ценообразование и сметы
Нормативные ссылки:
ТЕРр Белгородская область 2001-58ТЕРр Белгородская область 2001-58ТЕРр Белгородская область 2001-58ТЕРр Белгородская область 2001-58ТЕРр Белгородская область 2001-58ТЕРр Белгородская область 2001-58ТЕРр Белгородская область 2001-58ТЕРр Белгородская область 2001-58ТЕРр Белгородская область 2001-58ТЕРр Белгородская область 2001-58ТЕРр Белгородская область 2001-58ТЕРр Белгородская область 2001-58ТЕРр Белгородская область 2001-58ТЕРр Белгородская область 2001-58ТЕРр Белгородская область 2001-58ТЕРр Белгородская область 2001-58ТЕРр Белгородская область 2001-58ТЕРр Белгородская область 2001-58ТЕРр Белгородская область 2001-58ТЕРр Белгородская область 2001-58ТЕРр Белгородская область 2001-58ТЕРр Белгородская область 2001-58ТЕРр Белгородская область 2001-58ТЕРр Белгородская область 2001-58ТЕРр Белгородская область 2001-58ТЕРр Белгородская область 2001-58ТЕРр Белгородская область 2001-58ТЕРр Белгородская область 2001-58ТЕРр Белгородская область 2001-58ТЕРр Белгородская область 2001-58ТЕРр Белгородская область 2001-58ТЕРр Белгородская область 2001-58ТЕРр Белгородская область 2001-58ТЕРр Белгородская область 2001-58ТЕРр Белгородская область 2001-58ТЕРр Белгородская область 2001-58ТЕРр Белгородская область 2001-58ТЕРр Белгородская область 2001-58ТЕРр Белгородская область 2001-58ТЕРр Белгородская область 2001-58ТЕРр Белгородская область 2001-58ТЕРр Белгородская область 2001-58

© 2013 Ёшкин Кот :-) Карта сайта