| ||||||||||||||||||||||||||||||||||
Скачать РД 153-34.1-30.604-00 Методические указания по балансировке многоопорных валопроводов турбоагрегатов на электростанцияхДата актуализации: 10.08.2017
|
| Обозначение: | РД 153-34.1-30.604-00 |
| Обозначение англ: | RD 153-34.1-30.604-00 |
| Статус: | действует |
| Название рус.: | Методические указания по балансировке многоопорных валопроводов турбоагрегатов на электростанциях |
| Дата добавления в базу: | 01.09.2013 |
| Дата актуализации: | 05.05.2017 |
| Дата введения: | 01.04.2001 |
| Область применения: | Стандарт организации распространяется на все типы энергетических паро-и газотурбинные установок тепловых и атомных электростанций, содержащих системы связанных роторов, и устанавливает методы измерений параметров вибрации и многоплоскостной балансировки многоопорных валопроводов. |
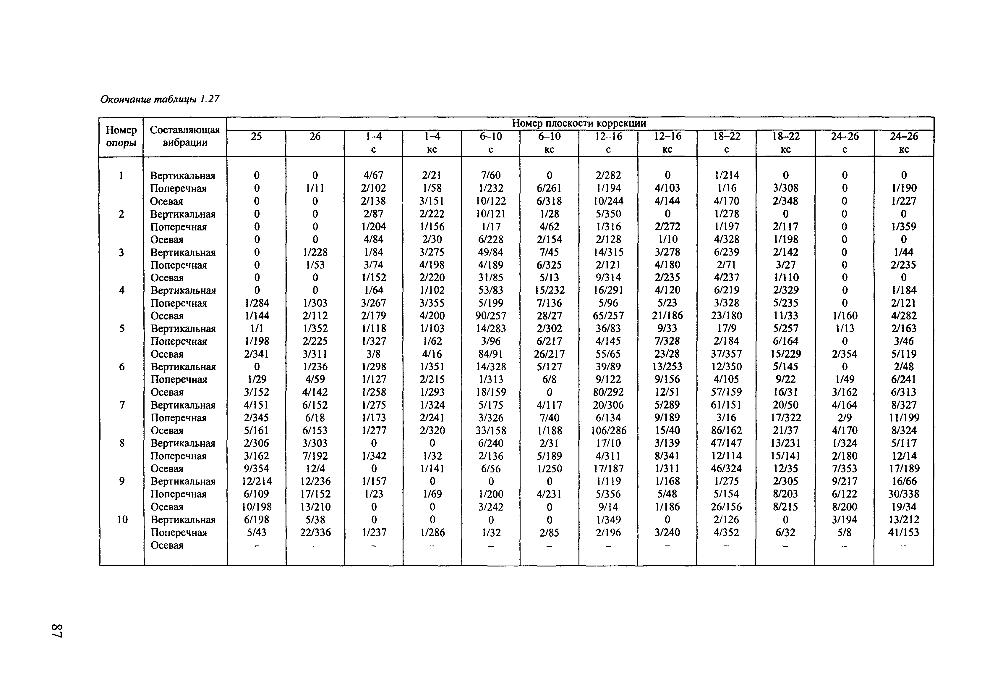
| Оглавление: | 1. Аппаратура для балансировки 2. Вибрационные измерения 2.1 Требования к измерениям вибрации и режимам работы 2.2 Измерения фаз вибрации 2.3 Объем измерений 2.4 Технология измерений 3. Оценка характера распределения дисбаланса валопровода и возможности балансировки доступными плоскостями коррекции 4. Балансировка валопроводов 4.1 Динамические коэффициенты влияния 4.2 Планирование и организация балансировочных работ 4.3 Балансировочные расчеты 4.4 Балансировка консольного участка ротора генератора 4.5 Оценка влияния ремонтных работ на вибрацию турбоагрегата и технология компенсации дисбаланса во время ремонта 4.6 Некоторые особые случаи балансировки 4.7 Балансировочные грузы 5. Оценка качества балансировки 6. Правила техники безопасности (ПТБ) при балансировке валороводов Приложение 1. Расчетные динамические коэффициенты влияния балансировочных грузов Приложение 2. Данные для расчета корректирующих масс при компенсации остаточного прогиба роторов, допускаемого заводом-изготовителем Приложение 3. Расчетные динамические коэффициенты влияния на вибрацию опор отклонений от соосности в соединениях роторов турбоагрегатов Приложение 4. Перечень нормативных документов, на которые имеются ссылки в документе |
| Разработан: | ОАО Мосэнерго ОАО ВТИ ООО фирма Диамех ФРП МЭСР |
| Утверждён: | 29.09.2000 Департамент научно-технической политики и развития |
| Издан: | ВТИ (2004 г. ) |
| Расположен в: | |
| Заменяет собой: |
|
| Нормативные ссылки: |
|








































































































