| ||||||||||||||||||||||||||||
Скачать ТЕР 2001-11 Белгородской области Полы. Территориальные единичные расценки для определения стоимости строительства в Белгородской области (редакция 2003 года). Территориальные единичные расценки на строительные и специальные строительные работыДата актуализации: 10.08.2017
|
| Обозначение: | ТЕР 2001-11 Белгородской области |
| Обозначение англ: | TER 2001-11 Белгородской области |
| Статус: | действует |
| Название рус.: | Полы. Территориальные единичные расценки для определения стоимости строительства в Белгородской области (редакция 2003 года). Территориальные единичные расценки на строительные и специальные строительные работы |
| Дата добавления в базу: | 01.09.2013 |
| Дата актуализации: | 05.05.2017 |
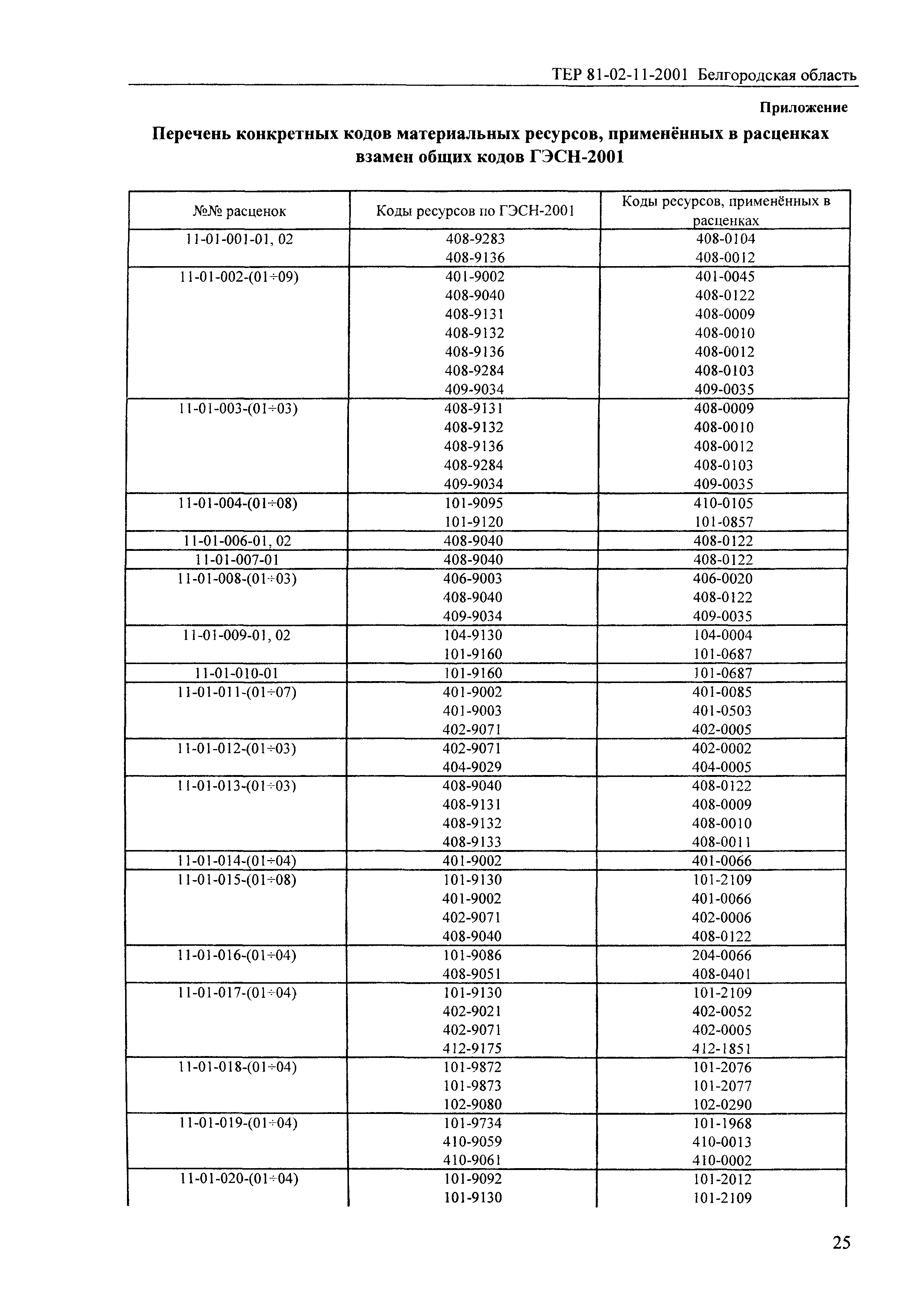
| Оглавление: | Техническая часть 1. Общие указания 2. Правила исчисления объемов работ 3. Коэффициенты к единичным расценкам Приложение Сборник сметных расценок на эксплуатацию строительных машин и сметных цен на материалы, изделия и конструкции Приложение Перечень конкретных кодов материальных ресурсов, примененных в расценках взамен общих кодов ГЭСН-2001 |
| Разработан: | Департамент строительства и транспорта правительства администрации Белгородской области |
| Утверждён: | 21.06.2003 Администрация Белгородской области (17) |
| Издан: | Администрация Белгородской области (2003 г. ) |
| Расположен в: | |
| Заменяет собой: |
|


























