Информационная система
«Ёшкин Кот»

Скачать базу одним архивом
Скачать обновления
История создания базы
Карта сайта

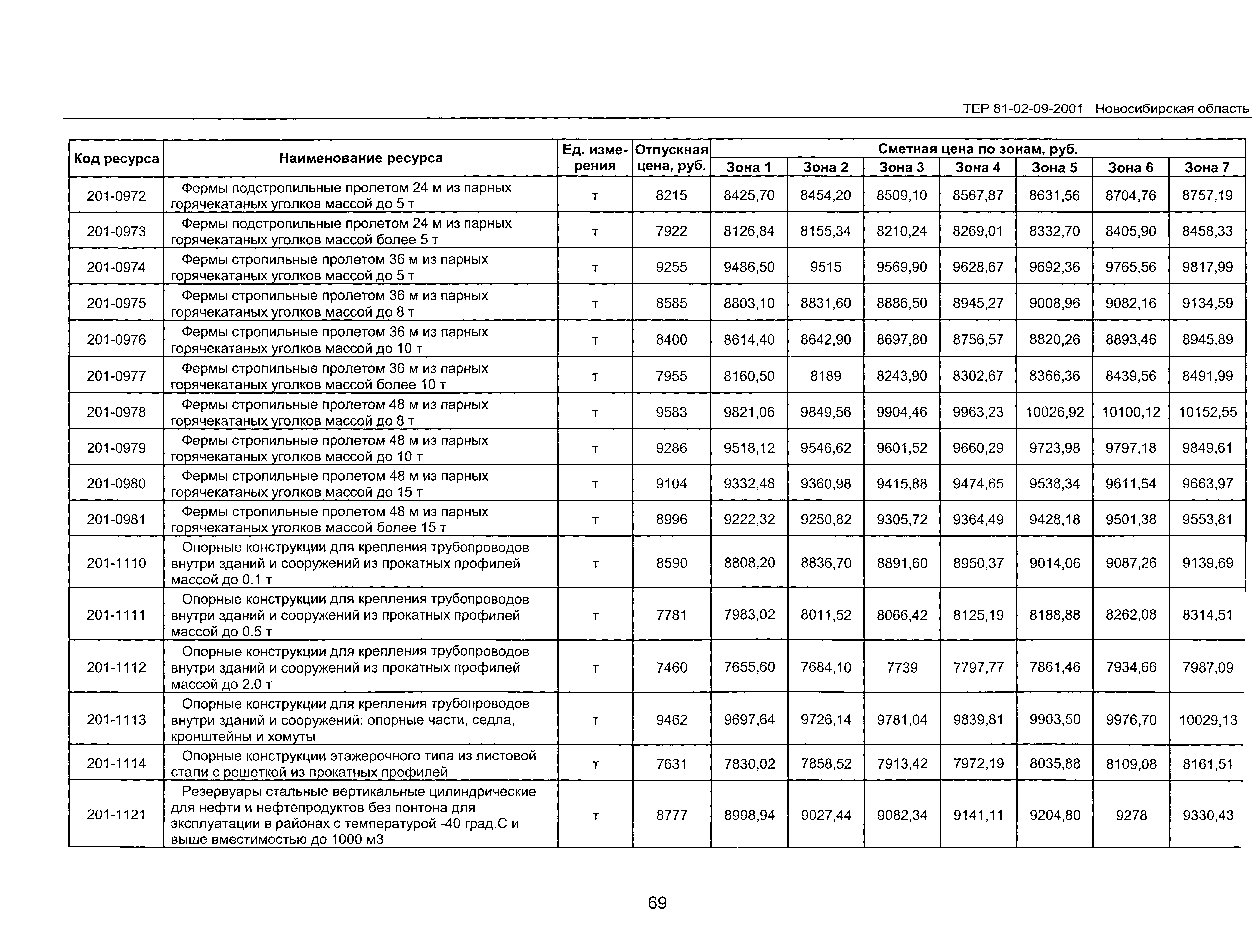
Скачать ТЕР 2001-09 Новосибирской области Строительные металлические конструкции. Территориальные единичные расценки на строительные работы. Новосибирская область

Дата актуализации: 10.08.2017

ТЕР 2001-09 Новосибирской области

Строительные металлические конструкции. Территориальные единичные расценки на строительные работы. Новосибирская область

Обозначение: ТЕР 2001-09 Новосибирской области
Обозначение англ: TER 2001-09 Новосибирской области
Статус:действует
Название рус.:Строительные металлические конструкции. Территориальные единичные расценки на строительные работы. Новосибирская область
Название англ.:Metal Building Components
Дата добавления в базу:01.09.2013
Дата актуализации:05.05.2017
Дата введения:28.07.2003
Область применения:В сборнике содержатся территориальные единичные расценки при выполнении работ по монтажу строительных стальных и алюминиевых конструкций производственных, гражданских зданий и сооружений различного назначения.
Оглавление:Техническая часть
Раздел 01 Здания и каркасы зданий
  1 Каркасы одноэтажных и многоэтажных производственных зданий
   2 Каркасы и здания специального назначения
Раздел 02 Сооружения
   1 Бункеры, силосы, декомпозеры, сгустители
   2 Резервуары, газгольдеры
   3 Галереи, эстакады
   4 Шахтные сооружения
   5 Сооружения комплексов заводов по производству минеральных удобрений
Раздел 03 Конструктивные элементы зданий и сооружений
   1 Опорные плиты, колонны, подкрановые балки, подкраново-подстропильные фермы, подкрановые и подвесные пути
   2 Конструктивные элементы покрытий здания
   3 Конструктивные элементы фонарей
   4 Конструктивные элементы лестниц и площадок
   5 Рамы, арки, опорные конструкции и защитные ограждения
   6 Перегородки, потолки, полы, плинтусы
Раздел 04 Ограждающие конструкции зданий и сооружений
   1 Ограждающие конструкции кровли
   2 Ограждающие конструкции стен
   3 Оконные блоки, виражи, витрины, двери, ворота
Раздел 05 Разные работы
   1 Облицовка поверхности, сварочные работы, постановка болтов и другие работы
Раздел 06 Конструкции специального назначения
   1 Автокоптилки, пароварочные камеры, подвесные пути, лотки, решетки, стеллажи
   2 Конструкции сценических устройств
   3 Конструкции канатных дорог
   4 Конструкции для алюминиевой промышленности
   5 Конструкции коксохимического производства
   6 Каркасы, кожухи, панели и разные конструкции промышленных печей и сушил
   7 Конструкции башенных градирен
   8 Вытяжные, вентиляционные и дымовые трубы, опоры башенного и портального типов
Приложение 1 Таблица замены ресурсов
Приложение 2 Часовые тарифные ставки
Приложение 3 Сметные цены эксплуатации строительных машин
Приложение 4 Сметные цены на материалы, изделия и конструкции по зонам Новосибирской области
Разработан: Департамент строительства, архитектуры и дорожного комплекса Администрации Новосибирской области
Утверждён:28.07.2003 Департамент строительства, архитектуры и дорожного комплекса Администрации Новосибирской области (7-ОВ)
Издан: Администрация Новосибирской области (2003 г. )
Расположен в:Техническая документация Строительство Нормативные документы Нормативные документы субъектов Российской Федерации Нормативные документы Новосибирской области Документы Системы нормативных документов в строительстве Нормативные документы по экономике к.81 Ценообразование и сметы Классификатор ISO Нормативные документы по экономике Ценообразование и сметы
Нормативные ссылки:
ТЕР 2001-09 Новосибирской областиТЕР 2001-09 Новосибирской областиТЕР 2001-09 Новосибирской областиТЕР 2001-09 Новосибирской областиТЕР 2001-09 Новосибирской областиТЕР 2001-09 Новосибирской областиТЕР 2001-09 Новосибирской областиТЕР 2001-09 Новосибирской областиТЕР 2001-09 Новосибирской областиТЕР 2001-09 Новосибирской областиТЕР 2001-09 Новосибирской областиТЕР 2001-09 Новосибирской областиТЕР 2001-09 Новосибирской областиТЕР 2001-09 Новосибирской областиТЕР 2001-09 Новосибирской областиТЕР 2001-09 Новосибирской областиТЕР 2001-09 Новосибирской областиТЕР 2001-09 Новосибирской областиТЕР 2001-09 Новосибирской областиТЕР 2001-09 Новосибирской областиТЕР 2001-09 Новосибирской областиТЕР 2001-09 Новосибирской областиТЕР 2001-09 Новосибирской областиТЕР 2001-09 Новосибирской областиТЕР 2001-09 Новосибирской областиТЕР 2001-09 Новосибирской областиТЕР 2001-09 Новосибирской областиТЕР 2001-09 Новосибирской областиТЕР 2001-09 Новосибирской областиТЕР 2001-09 Новосибирской областиТЕР 2001-09 Новосибирской областиТЕР 2001-09 Новосибирской областиТЕР 2001-09 Новосибирской областиТЕР 2001-09 Новосибирской областиТЕР 2001-09 Новосибирской областиТЕР 2001-09 Новосибирской областиТЕР 2001-09 Новосибирской областиТЕР 2001-09 Новосибирской областиТЕР 2001-09 Новосибирской областиТЕР 2001-09 Новосибирской областиТЕР 2001-09 Новосибирской областиТЕР 2001-09 Новосибирской областиТЕР 2001-09 Новосибирской областиТЕР 2001-09 Новосибирской областиТЕР 2001-09 Новосибирской областиТЕР 2001-09 Новосибирской областиТЕР 2001-09 Новосибирской областиТЕР 2001-09 Новосибирской областиТЕР 2001-09 Новосибирской областиТЕР 2001-09 Новосибирской областиТЕР 2001-09 Новосибирской областиТЕР 2001-09 Новосибирской областиТЕР 2001-09 Новосибирской областиТЕР 2001-09 Новосибирской областиТЕР 2001-09 Новосибирской областиТЕР 2001-09 Новосибирской областиТЕР 2001-09 Новосибирской областиТЕР 2001-09 Новосибирской областиТЕР 2001-09 Новосибирской областиТЕР 2001-09 Новосибирской областиТЕР 2001-09 Новосибирской областиТЕР 2001-09 Новосибирской областиТЕР 2001-09 Новосибирской областиТЕР 2001-09 Новосибирской областиТЕР 2001-09 Новосибирской областиТЕР 2001-09 Новосибирской областиТЕР 2001-09 Новосибирской областиТЕР 2001-09 Новосибирской областиТЕР 2001-09 Новосибирской области

© 2013 Ёшкин Кот :-) Карта сайта