Информационная система
«Ёшкин Кот»

Скачать базу одним архивом
Скачать обновления
История создания базы
Карта сайта

Скачать МУК 4.1.0.454-96 Измерение концентраций сахарина и п-гидроксибензойной кислоты методом высокоэффективной жидкостной хроматографии в воздухе рабочей зоны

Дата актуализации: 10.08.2017

МУК 4.1.0.454-96

Измерение концентраций сахарина и п-гидроксибензойной кислоты методом высокоэффективной жидкостной хроматографии в воздухе рабочей зоны

Обозначение: МУК 4.1.0.454-96
Обозначение англ: MUK 4.1.0.454-96
Статус:введен впервые
Название рус.:Измерение концентраций сахарина и п-гидроксибензойной кислоты методом высокоэффективной жидкостной хроматографии в воздухе рабочей зоны
Дата добавления в базу:01.09.2013
Дата актуализации:05.05.2017
Дата введения:08.06.1996
Область применения:Методические указания разработаны с целью обеспечения контроля соответствия фактических концентраций вредных веществ их предельно допустимым концентрациям и ориентировочно безопасным уровням воздействия санитарно-гигиеническим нормативам и являются обязательными при осуществлении санитарного контроля. Методические указания предназначены для центров госсанэпиднадзора, санитарных лабораторий промышленных предприятий при осуществлении контроля за содержанием вредных веществ в воздухе рабочей зоны, а также заинтересованных министерств и ведомств.
Оглавление:Характеристика метода
Приборы, аппаратура, посуда
Реактивы, растворы, материалы
Отбор пробы воздуха
Подготовка к измерению
Проведение измерения
Расчет концентрации
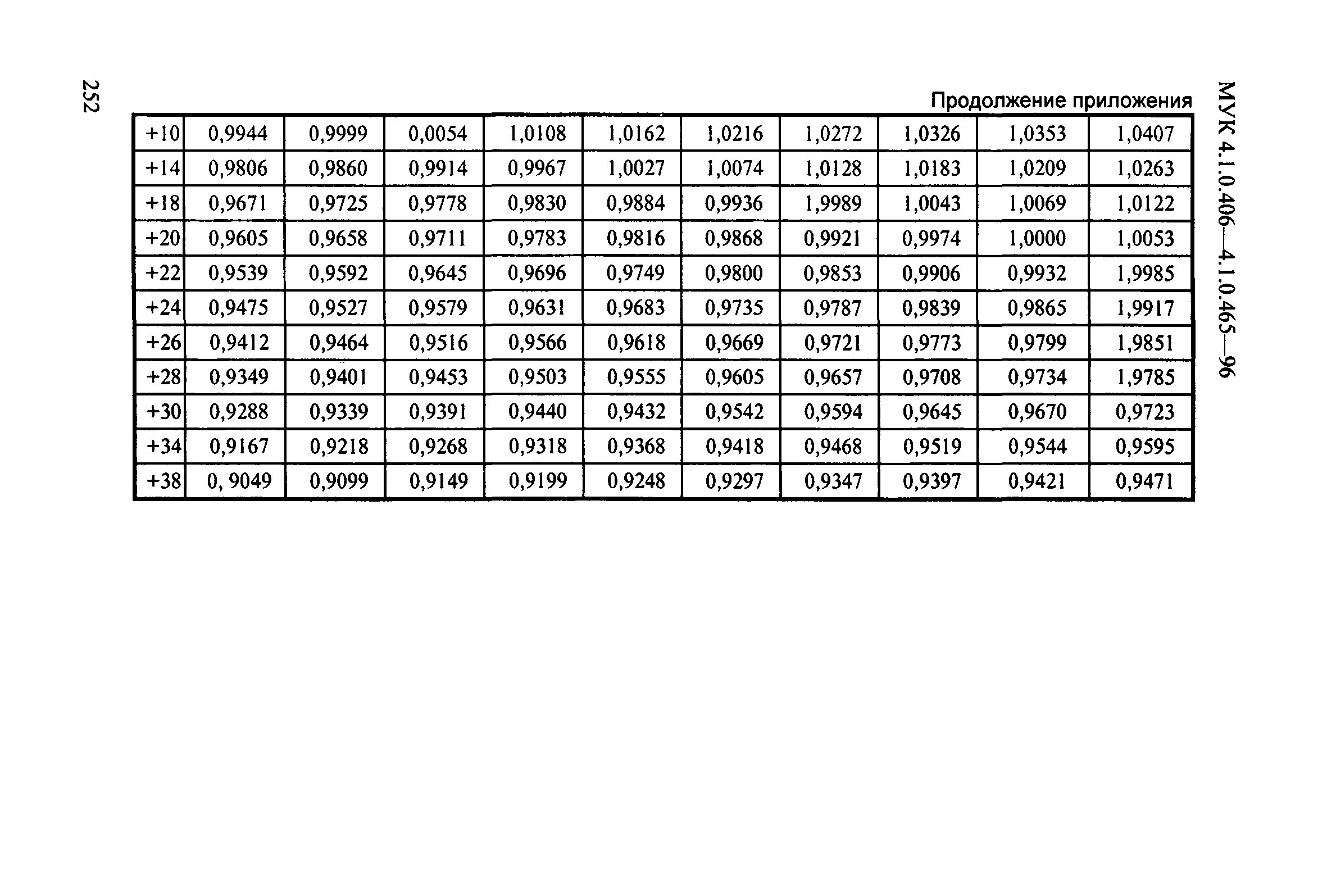
Приложение 1. Приведение объема воздуха к стандартным условиям
Приложение 2. Коэффициенты для приведения объема воздуха к стандартным условиям
Приложение 3
Приложение 4. Вещества, определяемые по ранее утвержденным методическим указаниям
Разработан: НИО Экотокс
Утверждён:08.06.1996 Главный государственный санитарный врач РФ (Russian Federation Chief Public Health Officer )
Издан: Федеральный центр Госсанэпиднадзора Минздрава России (2000 г. )
Расположен в:Техническая документация Экология ОХРАНА ОКРУЖАЮЩЕЙ СРЕДЫ, ЗАЩИТА ЧЕЛОВЕКА ОТ ВОЗДЕЙСТВИЯ ОКРУЖАЮЩЕЙ СРЕДЫ. БЕЗОПАСНОСТЬ Качество воздуха Атмосфера рабочей зоны Автомобильные дороги Экологические разделы проектной документации Реконструкция и строительство Качество воздуха Атмосфера рабочей зоны Строительство Нормативные документы Нормативные документы органов надзора Нормативные документы Госкомсанэпиднадзора и Минздрава Российской Федерации
Нормативные ссылки:
МУК 4.1.0.454-96МУК 4.1.0.454-96МУК 4.1.0.454-96МУК 4.1.0.454-96МУК 4.1.0.454-96МУК 4.1.0.454-96МУК 4.1.0.454-96МУК 4.1.0.454-96МУК 4.1.0.454-96МУК 4.1.0.454-96МУК 4.1.0.454-96МУК 4.1.0.454-96МУК 4.1.0.454-96МУК 4.1.0.454-96МУК 4.1.0.454-96МУК 4.1.0.454-96МУК 4.1.0.454-96МУК 4.1.0.454-96

© 2013 Ёшкин Кот :-) Карта сайта