Скачать МУК 4.1.0.422-96 Газохроматографическое измерение концентраций диглицидилового эфира 1,4-бутандиола в воздухе рабочей зоныДата актуализации: 10.08.2017 МУК 4.1.0.422-96
Газохроматографическое измерение концентраций диглицидилового эфира 1,4-бутандиола в воздухе рабочей зоныОбозначение: | МУК 4.1.0.422-96 | Обозначение англ: | MUK 4.1.0.422-96 | Статус: | введен впервые | Название рус.: | Газохроматографическое измерение концентраций диглицидилового эфира 1,4-бутандиола в воздухе рабочей зоны | Дата добавления в базу: | 01.09.2013 | Дата актуализации: | 05.05.2017 | Дата введения: | 08.06.1996 | Область применения: | Методические указания разработаны с целью обеспечения контроля соответствия фактических концентраций вредных веществ их предельно допустимым концентрациям и ориентировочно безопасным уровням воздействия санитарно-гигиеническим нормативам и являются обязательными при осуществлении санитарного контроля.
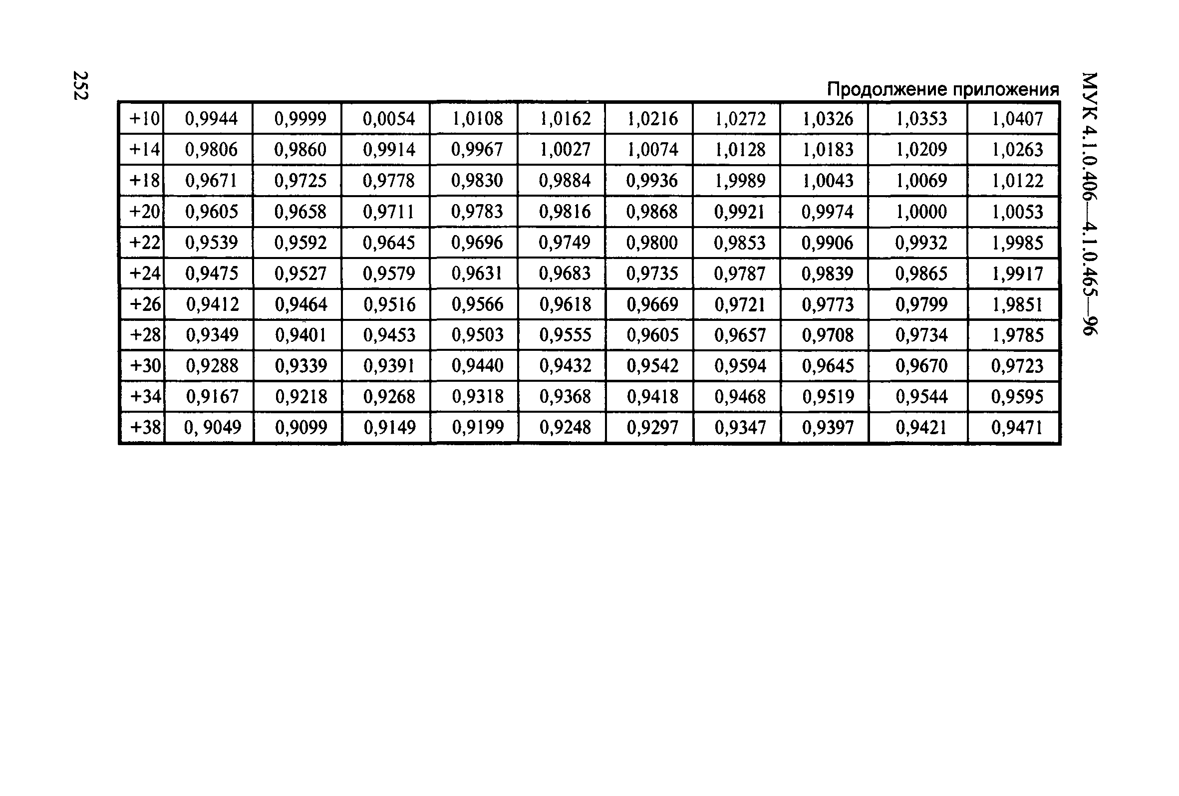
Методические указания предназначены для центров госсанэпиднадзора, санитарных лабораторий промышленных предприятий при осуществлении контроля за содержанием вредных веществ в воздухе рабочей зоны, а также заинтересованных министерств и ведомств. | Оглавление: | Характеристика метода Приборы, аппаратура, посуда Реактивы, растворы, материалы Отбор пробы воздуха Подготовка к измерению Проведение измерения Расчет концентрации Приложение 1. Приведение объема воздуха к стандартным условиям Приложение 2. Коэффициенты для приведения объема воздуха к стандартным условиям Приложение 3 Приложение 4. Вещества, определяемые по ранее утвержденным методическим указаниям | Разработан: | НИИмедицины труда РАМН
| Утверждён: | 08.06.1996 Главный государственный санитарный врач РФ (Russian Federation Chief Public Health Officer )
| Издан: | Федеральный центр Госсанэпиднадзора Минздрава России (2000 г. )
| Расположен в: |
| Нормативные ссылки: | |
                
|