| ||||||||||||||||||||||||||||||||||
Скачать ГОСТ Р 51990-2002 Нетрадиционная энергетика. Ветроэнергетика. Установки ветроэнергетические. КлассификацияДата актуализации: 10.08.2017
|
| Обозначение: | ГОСТ Р 51990-2002 |
| Обозначение англ: | GOST R 51990-2002 |
| Статус: | действует |
| Название рус.: | Нетрадиционная энергетика. Ветроэнергетика. Установки ветроэнергетические. Классификация |
| Название англ.: | Nontraditional power engineering. Wind power engineering. Wind turbines. Classification |
| Дата добавления в базу: | 01.09.2013 |
| Дата актуализации: | 05.05.2017 |
| Дата введения: | 01.07.2003 |
| Область применения: | Стандарт распространяется на ветроэнергетические установки (ВЭУ) с горизонтально-осевыми ветродвигателями (ВД), предназначенные для преобразования кинетической энергии ветра в энергию других видов, и устанавливает основные признаки их классификации. |
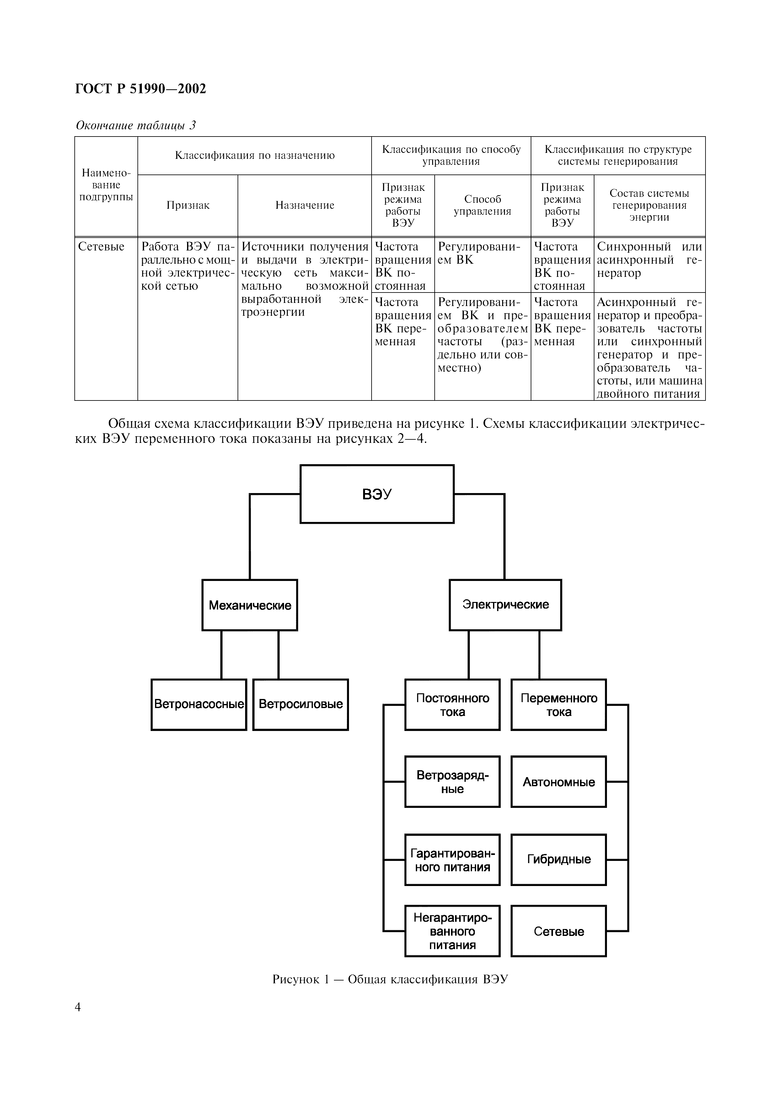
| Оглавление: | 1 Область применения 2 Нормативные ссылки 3 Определения 4 Классификация Приложение А Особенности аэродинамики, регулирования и систем передачи мощности ветродвигателей классифицируемых ВЭУ |
| Разработан: | ВНИИНМАШ ГосНИЦ ЦАГИ АО ВИЭН |
| Утверждён: | 25.12.2002 Госстандарт России (Russian Federation Gosstandart 515-ст) |
| Издан: | ИПК Издательство стандартов (2003 г. ) |
| Расположен в: | |
| Нормативные ссылки: |











