Информационная система
«Ёшкин Кот»

Скачать базу одним архивом
Скачать обновления
История создания базы
Карта сайта

Скачать ГОСТ Р ИСО/МЭК 10166-2-2001 Информационная технология. Текстовые и учрежденческие системы. Сохранение и получение документов. Часть 2. Спецификация протокола

Дата актуализации: 10.08.2017

ГОСТ Р ИСО/МЭК 10166-2-2001

Информационная технология. Текстовые и учрежденческие системы. Сохранение и получение документов. Часть 2. Спецификация протокола

Обозначение: ГОСТ Р ИСО/МЭК 10166-2-2001
Обозначение англ: GOST R ISO/IEC 10166-2-2001
Статус:действует
Название рус.:Информационная технология. Текстовые и учрежденческие системы. Сохранение и получение документов. Часть 2. Спецификация протокола
Название англ.:Information technology. Text and office systems. Document filing and retrieval (DFR). Part 2. Protocol specification
Дата добавления в базу:01.09.2013
Дата актуализации:05.05.2017
Дата введения:01.01.2002
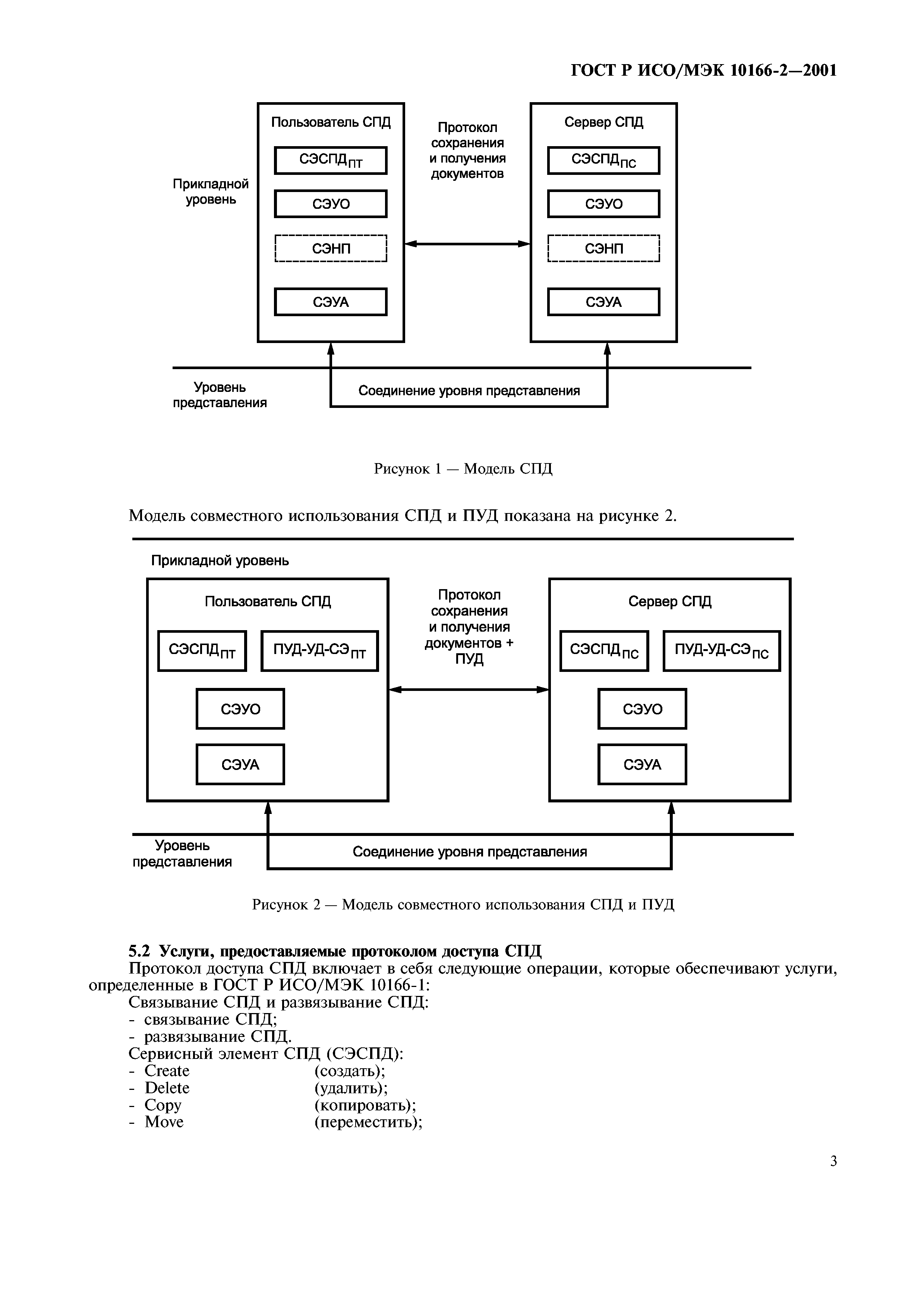
Область применения:В стандарте определен протокол доступа сохранения и получения документов.
Оглавление:Часть 1 Общие положения
1 Область применения
2 Нормативные ссылки
3 Определения
4 Сокращения
Часть 2 Спецификации протокола доступа СПД
5 Общее описание протокола
6 Определение абстрактного синтаксиса протокола доступа СПД
7 Соответствие
Приложение А Формальное присвоение идентификаторов объектов
Разработан: Государственный научно-исследовательский и конструкторско-технологический институт ТЕСТ Государственного Комитета Российской Федерации по телекоммуникациям
Утверждён:22.02.2001 Госстандарт России (Russian Federation Gosstandart 86-ст)
Издан: ИПК Издательство стандартов (2001 г. )
Расположен в:Техническая документация Электроэнергия ИНФОРМАЦИОННЫЕ ТЕХНОЛОГИИ. МАШИНЫ КОНТОРСКИЕ Взаимосвязь открытых систем Прикладной уровень Экология ИНФОРМАЦИОННЫЕ ТЕХНОЛОГИИ. МАШИНЫ КОНТОРСКИЕ Взаимосвязь открытых систем Прикладной уровень
Нормативные ссылки:
ГОСТ Р ИСО/МЭК 10166-2-2001ГОСТ Р ИСО/МЭК 10166-2-2001ГОСТ Р ИСО/МЭК 10166-2-2001ГОСТ Р ИСО/МЭК 10166-2-2001ГОСТ Р ИСО/МЭК 10166-2-2001ГОСТ Р ИСО/МЭК 10166-2-2001ГОСТ Р ИСО/МЭК 10166-2-2001ГОСТ Р ИСО/МЭК 10166-2-2001ГОСТ Р ИСО/МЭК 10166-2-2001ГОСТ Р ИСО/МЭК 10166-2-2001ГОСТ Р ИСО/МЭК 10166-2-2001

© 2013 Ёшкин Кот :-) Карта сайта