| ||||||||||||||||||||||||||||||||||||
Скачать ГОСТ Р 51431-99 Продукция соковая. Метод определения относительной плотностиДата актуализации: 10.08.2017
|
| Обозначение: | ГОСТ Р 51431-99 |
| Обозначение англ: | GOST R 51431-99 |
| Статус: | отменен |
| Название рус.: | Продукция соковая. Метод определения относительной плотности |
| Название англ.: | Juice products. Method for determination of relative density |
| Дата добавления в базу: | 01.09.2013 |
| Дата актуализации: | 05.05.2017 |
| Дата введения: | 01.01.2017 |
| Область применения: | Стандарт распространяется на соковую продукцию. |
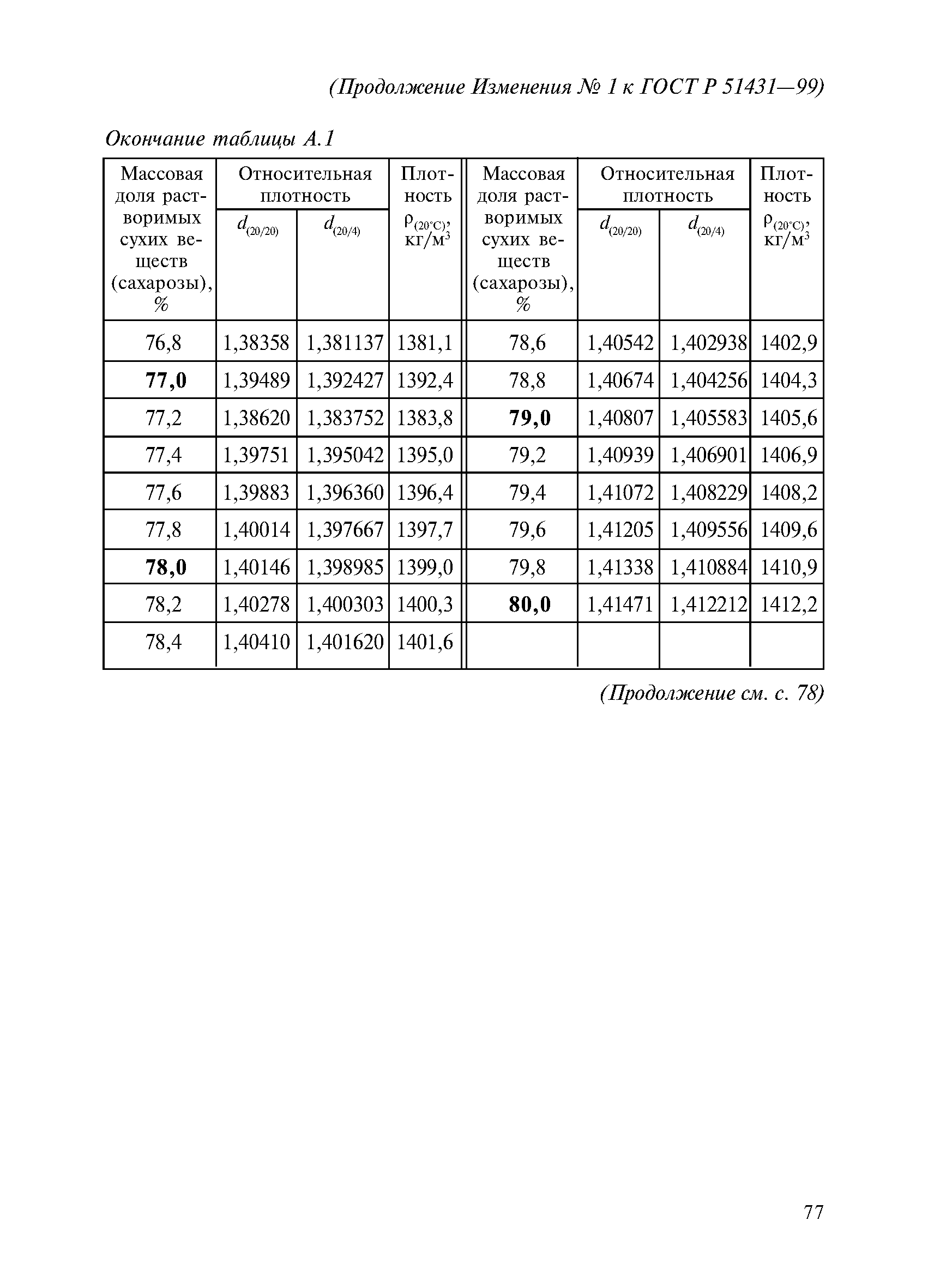
| Оглавление: | 1 Область применения 2 Нормативные ссылки 3 Определения 4 Сущность метода 5 Средства измерений, лабораторное оборудование, реактивы и материалы 6 Отбор и подготовка проб 7 Подготовка к проведению испытаний 8 Проведение испытаний 9 Обработка и оформление результатов Приложение А (справочное) |
| Разработан: | ВНИИКОП |
| Утверждён: | 22.12.1999 Госстандарт России (Russian Federation Gosstandart 586-ст) |
| Издан: | ИПК Издательство стандартов (2000 г. ) ИПК Издательство стандартов (2002 г. ) |
| Расположен в: | |
| Список изменений: |
|
| Нормативные ссылки: |
|


















Текстовое изменение № 1 от 01.07.2011












