Информационная система
«Ёшкин Кот»

Скачать базу одним архивом
Скачать обновления
История создания базы
Карта сайта

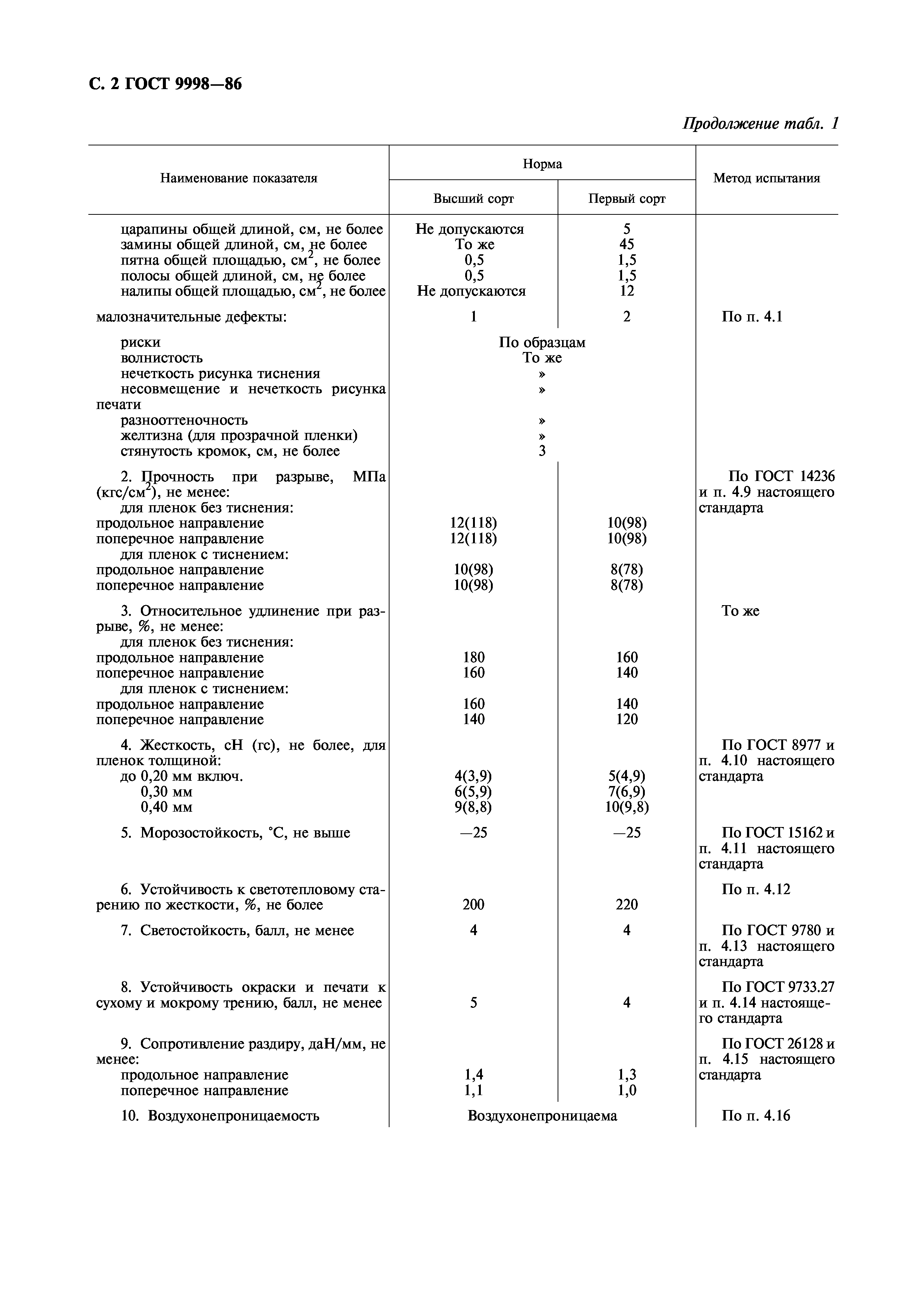
Скачать ГОСТ 9998-86 Пленки поливинилхлоридные пластифицированные бытового назначения. Общие технические условия

Дата актуализации: 10.08.2017

ГОСТ 9998-86

Пленки поливинилхлоридные пластифицированные бытового назначения. Общие технические условия

Обозначение: ГОСТ 9998-86
Обозначение англ: GOST 9998-86
Статус:взамен
Название рус.:Пленки поливинилхлоридные пластифицированные бытового назначения. Общие технические условия
Название англ.:Polyvinylchloride films for household use. General specifications
Дата добавления в базу:01.09.2013
Дата актуализации:05.05.2017
Дата введения:01.01.1988
Область применения:Стандарт распространяется на поливинилхлоридные пластифицированные пленки бытового назначения на основе поливинилхлорида, изготовленные каландровым методом.
Оглавление:1 Технические требования
2 Требования безопасности
3 Правила приемки
4 Методы испытаний
5 (Исключен, Изм. № 1)
6 Указания по эксплуатации
7 Гарантии изготовителя
Приложение обязательное
Утверждён:03.11.1986 Государственный комитет СССР по стандартам (USSR National Committee on Standards 3378)
Издан: Издательство стандартов (1986 г. )
ИПК Издательство стандартов (2002 г. )
Расположен в:Техническая документация Электроэнергия РЕЗИНОВАЯ, РЕЗИНОТЕХНИЧЕСКАЯ, АСБЕСТОТЕХНИЧЕСКАЯ И ПЛАСТМАССОВАЯ ПРОМЫШЛЕННОСТЬ Резиновые и пластмассовые изделия Пленки и листы Экология РЕЗИНОВАЯ, РЕЗИНОТЕХНИЧЕСКАЯ, АСБЕСТОТЕХНИЧЕСКАЯ И ПЛАСТМАССОВАЯ ПРОМЫШЛЕННОСТЬ Резиновые и пластмассовые изделия Пленки и листы
Список изменений:
Заменяет собой:
  • ГОСТ 9998-74 «Пленка поливинилхлоридная пластифицированная для галантерейных изделий»
Нормативные ссылки:
ГОСТ 9998-86ГОСТ 9998-86ГОСТ 9998-86ГОСТ 9998-86ГОСТ 9998-86ГОСТ 9998-86ГОСТ 9998-86ГОСТ 9998-86ГОСТ 9998-86ГОСТ 9998-86ГОСТ 9998-86

Текстовое изменение № 1 от 01.02.1988

№ 1№ 1

© 2013 Ёшкин Кот :-) Карта сайта