Информационная система
«Ёшкин Кот»

Скачать базу одним архивом
Скачать обновления
История создания базы
Карта сайта

Скачать ГОСТ 9539-72 Ролики резьбонакатные. Технические условия

Дата актуализации: 10.08.2017

ГОСТ 9539-72

Ролики резьбонакатные. Технические условия

Обозначение: ГОСТ 9539-72
Обозначение англ: GOST 9539-72
Статус:взамен
Название рус.:Ролики резьбонакатные. Технические условия
Название англ.:Thread rolls. Specifications
Дата добавления в базу:01.09.2013
Дата актуализации:05.05.2017
Дата введения:01.01.1974
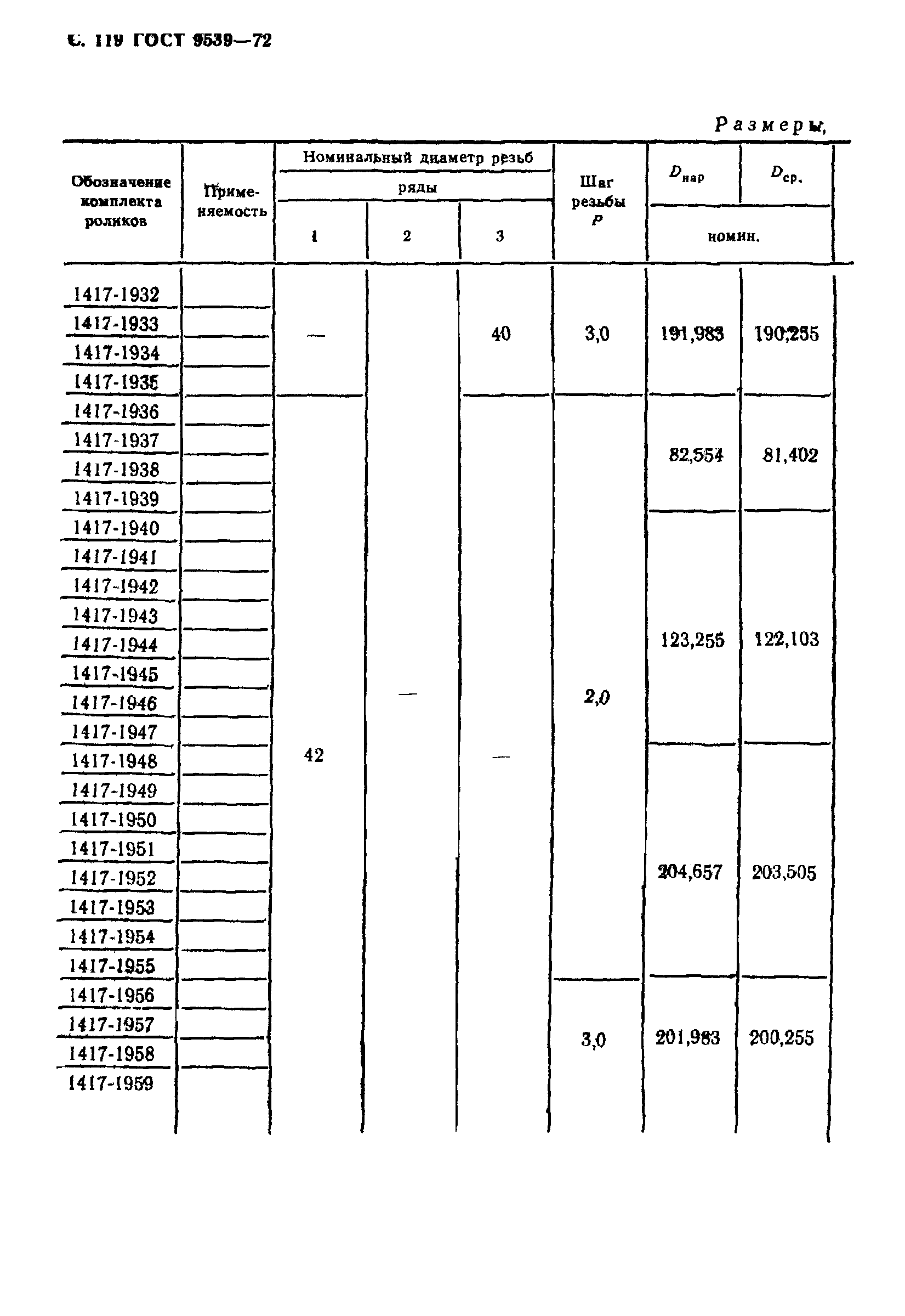
Область применения:Стандарт распространяется на резьбонакатные ролики классов точности 1, 2 и 3 в комплекте из 2-х шт., предназначенные для изготовления резьб диаметром от 3 до 68 мм с шагом от 0,5 до 6,0 мм по ГОСТ 24705.
Оглавление:1. Размеры
2. Технические требования
3. Приемка
4. Методы контроля
5. Транспортирование и хранение
Разработан: Министерство станкостроительной и инструментальной промышленности
Утверждён:16.10.1972 Государственный комитет стандартов Совета Министров СССР (USSR National Committee on Standards at the Cabinet of Ministers 1887)
Издан: Издательство стандартов (1994 г. )
Расположен в:Техническая документация Электроэнергия МАШИНОСТРОЕНИЕ Режущие инструменты Метчики, резьбонарезные плашки Экология МАШИНОСТРОЕНИЕ Режущие инструменты Метчики, резьбонарезные плашки
Список изменений:
Заменяет собой:
  • ГОСТ 9539-60 «Ролики резьбонакатные» (Сведения из перечня "Указатель государственных стандартов СССР 1980 г.", Издательство стандартов 1980)
Нормативные ссылки:
ГОСТ 9539-72ГОСТ 9539-72ГОСТ 9539-72ГОСТ 9539-72ГОСТ 9539-72ГОСТ 9539-72ГОСТ 9539-72ГОСТ 9539-72ГОСТ 9539-72ГОСТ 9539-72ГОСТ 9539-72ГОСТ 9539-72ГОСТ 9539-72ГОСТ 9539-72ГОСТ 9539-72ГОСТ 9539-72ГОСТ 9539-72ГОСТ 9539-72ГОСТ 9539-72ГОСТ 9539-72ГОСТ 9539-72ГОСТ 9539-72ГОСТ 9539-72ГОСТ 9539-72ГОСТ 9539-72ГОСТ 9539-72ГОСТ 9539-72ГОСТ 9539-72ГОСТ 9539-72ГОСТ 9539-72ГОСТ 9539-72ГОСТ 9539-72ГОСТ 9539-72ГОСТ 9539-72ГОСТ 9539-72ГОСТ 9539-72ГОСТ 9539-72ГОСТ 9539-72ГОСТ 9539-72ГОСТ 9539-72ГОСТ 9539-72ГОСТ 9539-72ГОСТ 9539-72ГОСТ 9539-72ГОСТ 9539-72ГОСТ 9539-72ГОСТ 9539-72ГОСТ 9539-72ГОСТ 9539-72ГОСТ 9539-72ГОСТ 9539-72ГОСТ 9539-72ГОСТ 9539-72ГОСТ 9539-72ГОСТ 9539-72ГОСТ 9539-72ГОСТ 9539-72ГОСТ 9539-72ГОСТ 9539-72ГОСТ 9539-72ГОСТ 9539-72ГОСТ 9539-72ГОСТ 9539-72ГОСТ 9539-72ГОСТ 9539-72ГОСТ 9539-72ГОСТ 9539-72ГОСТ 9539-72ГОСТ 9539-72ГОСТ 9539-72ГОСТ 9539-72ГОСТ 9539-72ГОСТ 9539-72ГОСТ 9539-72ГОСТ 9539-72ГОСТ 9539-72ГОСТ 9539-72ГОСТ 9539-72ГОСТ 9539-72ГОСТ 9539-72ГОСТ 9539-72ГОСТ 9539-72ГОСТ 9539-72ГОСТ 9539-72ГОСТ 9539-72ГОСТ 9539-72ГОСТ 9539-72ГОСТ 9539-72ГОСТ 9539-72ГОСТ 9539-72ГОСТ 9539-72ГОСТ 9539-72ГОСТ 9539-72ГОСТ 9539-72ГОСТ 9539-72ГОСТ 9539-72ГОСТ 9539-72ГОСТ 9539-72ГОСТ 9539-72ГОСТ 9539-72ГОСТ 9539-72ГОСТ 9539-72ГОСТ 9539-72ГОСТ 9539-72ГОСТ 9539-72ГОСТ 9539-72ГОСТ 9539-72ГОСТ 9539-72ГОСТ 9539-72ГОСТ 9539-72ГОСТ 9539-72ГОСТ 9539-72ГОСТ 9539-72ГОСТ 9539-72ГОСТ 9539-72ГОСТ 9539-72ГОСТ 9539-72ГОСТ 9539-72ГОСТ 9539-72ГОСТ 9539-72ГОСТ 9539-72ГОСТ 9539-72ГОСТ 9539-72ГОСТ 9539-72ГОСТ 9539-72ГОСТ 9539-72ГОСТ 9539-72ГОСТ 9539-72ГОСТ 9539-72ГОСТ 9539-72ГОСТ 9539-72ГОСТ 9539-72ГОСТ 9539-72ГОСТ 9539-72ГОСТ 9539-72ГОСТ 9539-72ГОСТ 9539-72ГОСТ 9539-72ГОСТ 9539-72ГОСТ 9539-72

Текстовое изменение № 1 от 01.11.1980

№ 1№ 1

Текстовое изменение № 2 от 01.05.1987

№ 2№ 2№ 2№ 2

Текстовое изменение № 4 от 01.09.1991

№ 4№ 4

© 2013 Ёшкин Кот :-) Карта сайта