Информационная система
«Ёшкин Кот»

Скачать базу одним архивом
Скачать обновления
История создания базы
Карта сайта

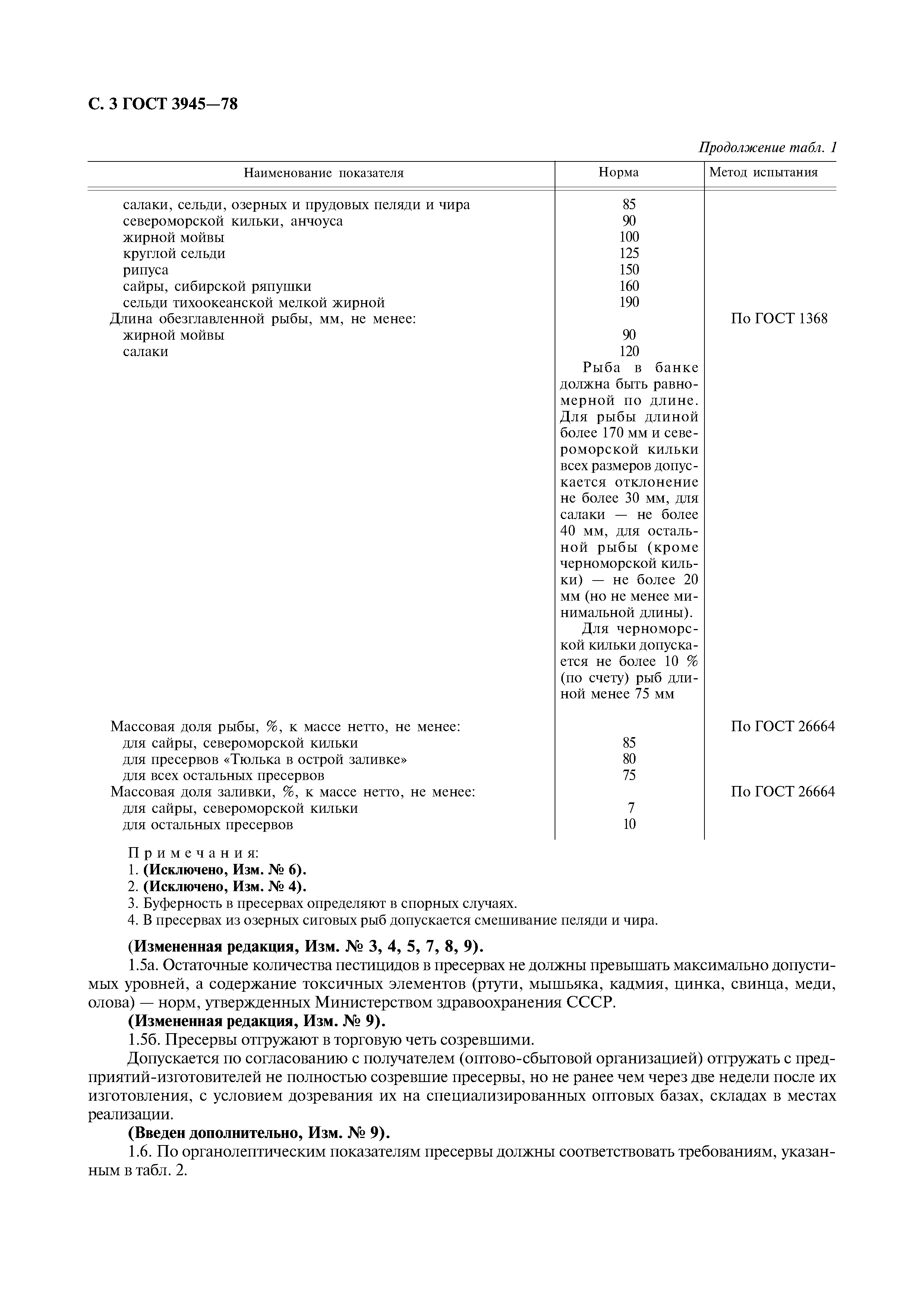
Скачать ГОСТ 3945-78 Пресервы рыбные. Рыба пряного посола. Технические условия

Дата актуализации: 10.08.2017

ГОСТ 3945-78

Пресервы рыбные. Рыба пряного посола. Технические условия

Обозначение: ГОСТ 3945-78
Обозначение англ: GOST 3945-78
Статус:взамен
Название рус.:Пресервы рыбные. Рыба пряного посола. Технические условия
Название англ.:Fish preserves. Whole fish in spice brine. Specification
Дата добавления в базу:01.09.2013
Дата актуализации:05.05.2017
Дата введения:01.01.1979
Область применения:Стандарт распространяется на пресервы, приготовленные из неразделанной рыбы следующих видов: каспийской, балтийской и североморской кильки; салаки; анчоуса; тюльки; хамсы; атлантической, тихоокеанской мелкой, тихоокеанской мелкой (озерной), беломорской, азово-черноморской (мелкой и средней), тугуна и круглой сельди; жирной мойвы; озерных и прудовых пеляди и чира; кильки черноморской; сайры; ряпушки и рипуса, а также из обезглавленной жирной мойвы и салаки.
Оглавление:1 Технические требования
2 Правила приемки
3 Методы испытаний
4 Упаковка, маркировка, транспортирование и хранение
Приложение (обязательное) Коды по общесоюзному классификатору
Разработан: Министерство рыбного хозяйства СССР
Утверждён:13.01.1978 Госстандарт СССР (USSR Gosstandart 71)
Издан: Издательство стандартов (1978 г. )
Стандартинформ (2007 г. )
Стандартинформ (2008 г. )
Расположен в:Техническая документация Электроэнергия ПРОИЗВОДСТВО ПИЩЕВЫХ ПРОДУКТОВ Мясо, мясные продукты и другие животные продукты Рыба и рыбные продукты Экология ПРОИЗВОДСТВО ПИЩЕВЫХ ПРОДУКТОВ Мясо, мясные продукты и другие животные продукты Рыба и рыбные продукты
Список изменений:
Заменяет собой:
  • ГОСТ 10980-64 «Пресервы рыбные. Сайра пряного баночного посола. Технические требования»
  • ГОСТ 3945-68 «Пресервы рыбные. Рыба неразделанная пряного посола»
Нормативные ссылки:
ГОСТ 3945-78ГОСТ 3945-78ГОСТ 3945-78ГОСТ 3945-78ГОСТ 3945-78ГОСТ 3945-78ГОСТ 3945-78ГОСТ 3945-78

Текстовое изменение № 8 от 01.07.1989

№ 8№ 8№ 8№ 8№ 8

© 2013 Ёшкин Кот :-) Карта сайта