| ||||||||||||||||||||||||||||||||
Скачать ГОСТ 30318-95 Совместимость технических средств электромагнитная. Требования к ширине полосы радиочастот и внеполосным излучениям радиопередатчиков. Методы измерений и контроляДата актуализации: 10.08.2017
|
| Обозначение: | ГОСТ 30318-95 |
| Обозначение англ: | GOST 30318-95 |
| Статус: | действует |
| Название рус.: | Совместимость технических средств электромагнитная. Требования к ширине полосы радиочастот и внеполосным излучениям радиопередатчиков. Методы измерений и контроля |
| Название англ.: | Electromagnetic compatibility of technical means. Frequency bandwidth and off-band emission requirements of radiotransmitters. Test and control methods |
| Дата добавления в базу: | 01.09.2013 |
| Дата актуализации: | 05.05.2017 |
| Дата введения: | 01.07.1996 |
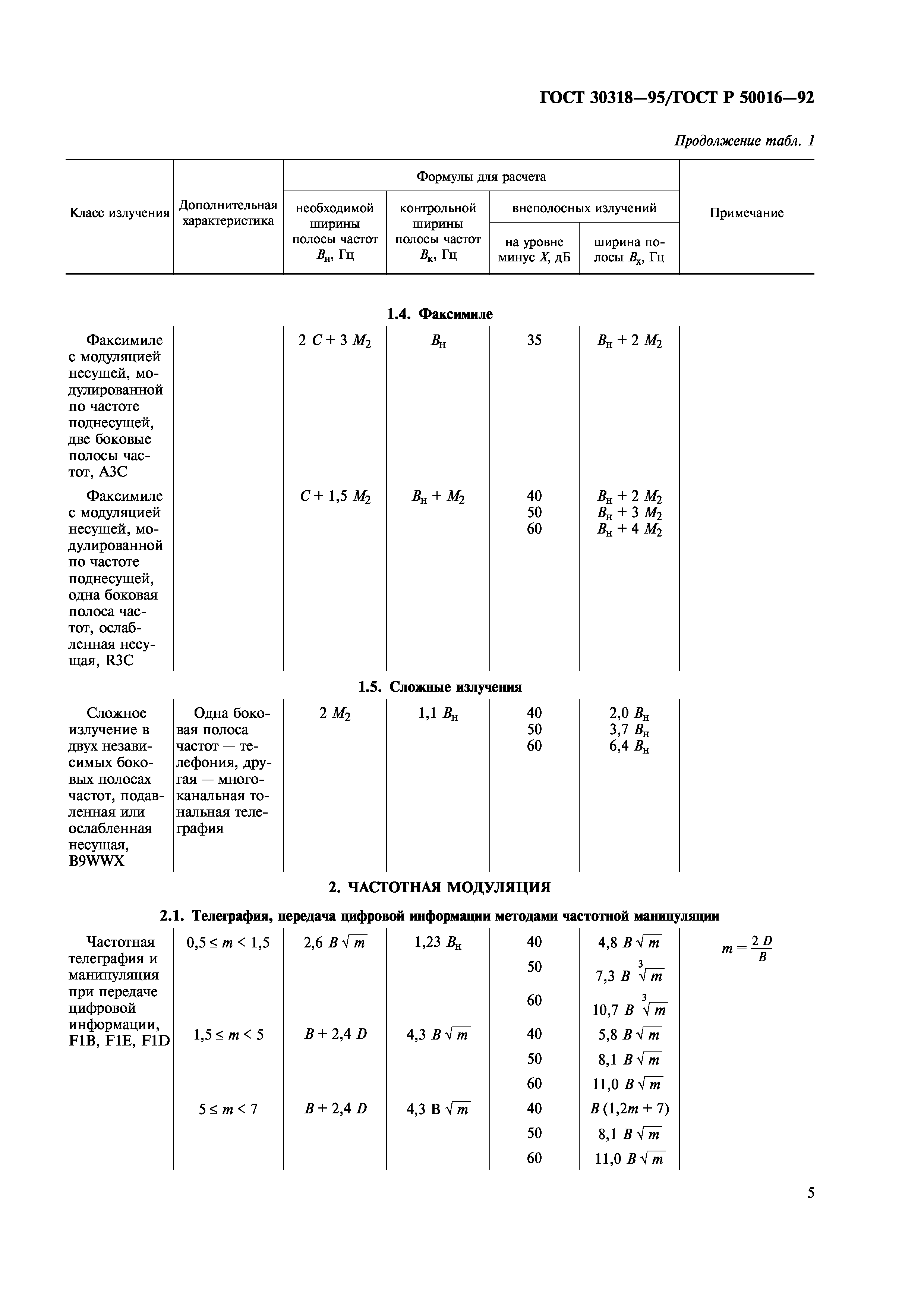
| Область применения: | Стандарт распространяется на действующие, выпускаемые, устанавливаемые и вновь разрабатываемые (модернизируемые) радиопередатчики народнохозяйственного применения и устанавливает следующие основные параметры ширины полоы радиочастот и внеполосных излучений радиопередатчиков: необходимую ширину полосы частот, контрольную ширину полосы частот, ширину полосы частот внеполосного радиоизлучения на уровне Х дБ в полосе частот от 10 кГц до 37,5 ГГц и методы их измерений и контроля. |
| Оглавление: | 1 Требования к ширине полосы радиочастот и внеполосным излучениям радиопередатчиков 2 Методы измерений и контроля ширины полосы частот и внеполосных излучений 2.1 Общие требования к измерениям и контролю 2.2 Испытательные сигналы для проведения измерений и контроля радиопередатчиков 2.3 Установка уровней испытательных сигналов 2.4 Измерения контрольной ширины полосы частот и внеполосных излучений 2.5 Методика измерения и контроля внеполосных излучений радиопередатчиков ВЧ диапазона воздушных судов воздушной подвижной службы, работающих классами излучений H2BBN, H3EJN, J3EJN, J7BCF, JXX 2.6 Методика измерений и контроля внеполосных излучений радиопередатчиков морской подвижной службы, работающих классами излучений R3EJN, H3EJN, H2BBN, J3EJN Приложение 1 Термины, применяемые в настоящем стандарте, и их пояснения Приложение 2 Условные обозначения вличин, применяемых в настоящем стандарте Приложение 3 Пример построения ограничительной линии и контроля внеполосных спектров излучений Приложение 4 Общие требования к средствам измерений и контроля и рекомендуемые к применению радиоизмерительные приборы Приложение 5 Обозначения классов излучений Приложение 6 Сравнительная таблица старого и нового обозначения классов излучений |
| Разработан: | ТК 30 ЭМС Технический комитет по стандартизации в области электромагнитной совместимости технических средств |
| Утверждён: | 12.03.1996 Госстандарт России (Russian Federation Gosstandart 164) 26.04.1995 Межгосударственный Совет по стандартизации, метрологии и сертификации (Inter-Governmental Council on Standardization, Metrology, and Certification ) |
| Расположен в: | |
| Нормативные ссылки: |
|



































