| ||||||||||||||||||||||||||||
Скачать ГОСТ 26996-86 Полипропилен и сополимеры пропилена. Технические условияДата актуализации: 10.08.2017
|
| Обозначение: | ГОСТ 26996-86 |
| Обозначение англ: | GOST 26996-86 |
| Статус: | действует |
| Название рус.: | Полипропилен и сополимеры пропилена. Технические условия |
| Название англ.: | Polypropylene and copolymers of propylene. Specifications |
| Дата добавления в базу: | 01.09.2013 |
| Дата актуализации: | 05.05.2017 |
| Дата введения: | 01.01.1988 |
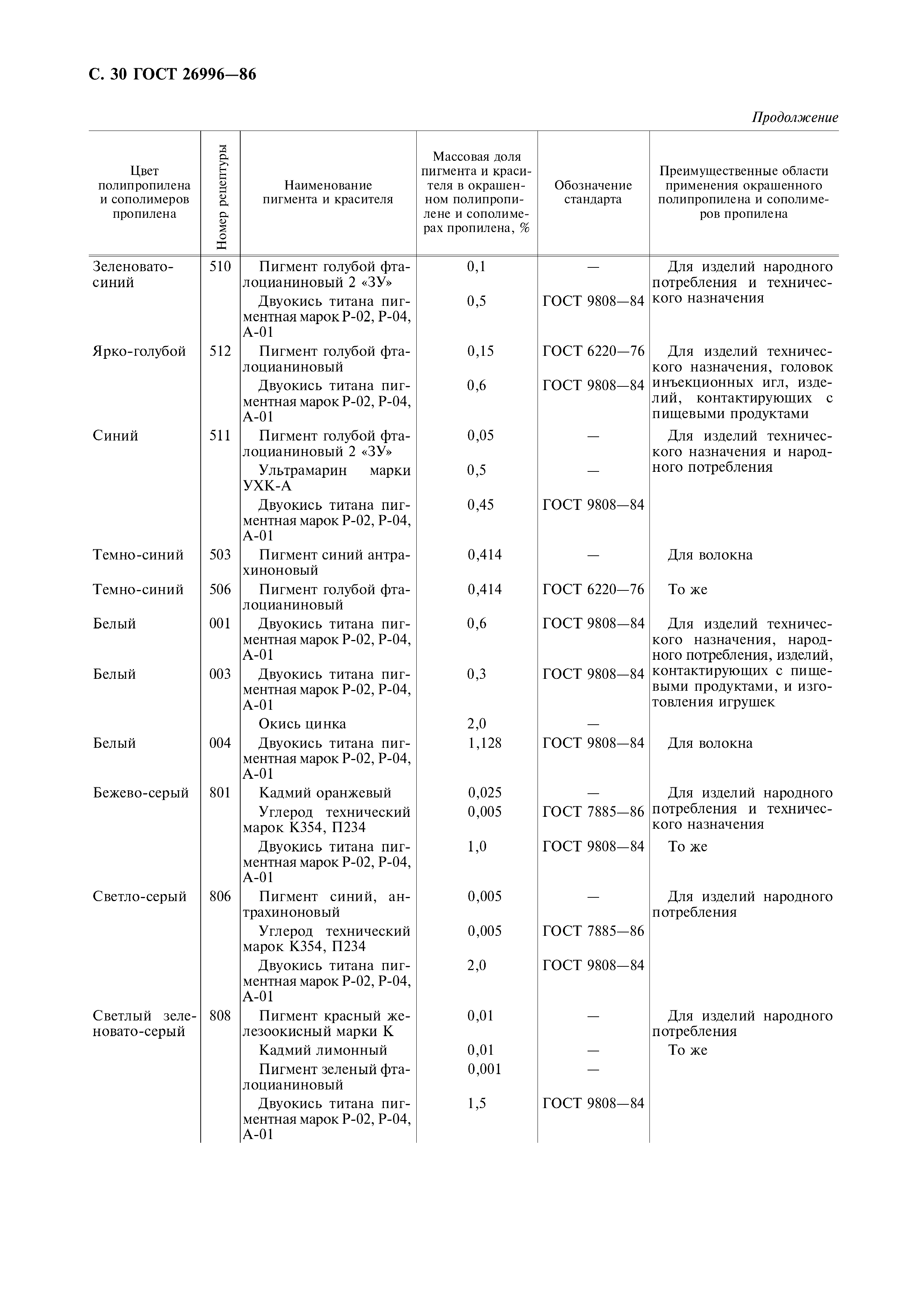
| Оглавление: | 1 Марки 2 Технические требования 3 Требования безопасности 4 Правила приемки 5 Методы испытаний 6 Упаковка, маркировка, транспортирование и хранение 7 Гарантии изготовителя Приложение 1 Марки полипропилена и рецептуры стабилизации и окрашивания, разрешенные для контакта с пищевыми продуктами, изготовления игрушек и медицинских изделий Приложение 2 Методы переработки и назначение различных марок полипропилена и сополимеров пропилена Приложение 3 Цветовой ассортимент и рецептуры окрашивания полипропилена и сополимеров пропилена Приложение 4 Коды ОКП марок полипропилена и сополимеров пропилена Приложение 5 Свойства полипропилена и сополимеров пропилена |
| Утверждён: | 23.09.1986 Госстандарт СССР (USSR Gosstandart 2749) |
| Издан: | Издательство стандартов (1986 г. ) ИПК Издательство стандартов (2002 г. ) |
| Расположен в: |



































