Информационная система
«Ёшкин Кот»

Скачать базу одним архивом
Скачать обновления
История создания базы
Карта сайта

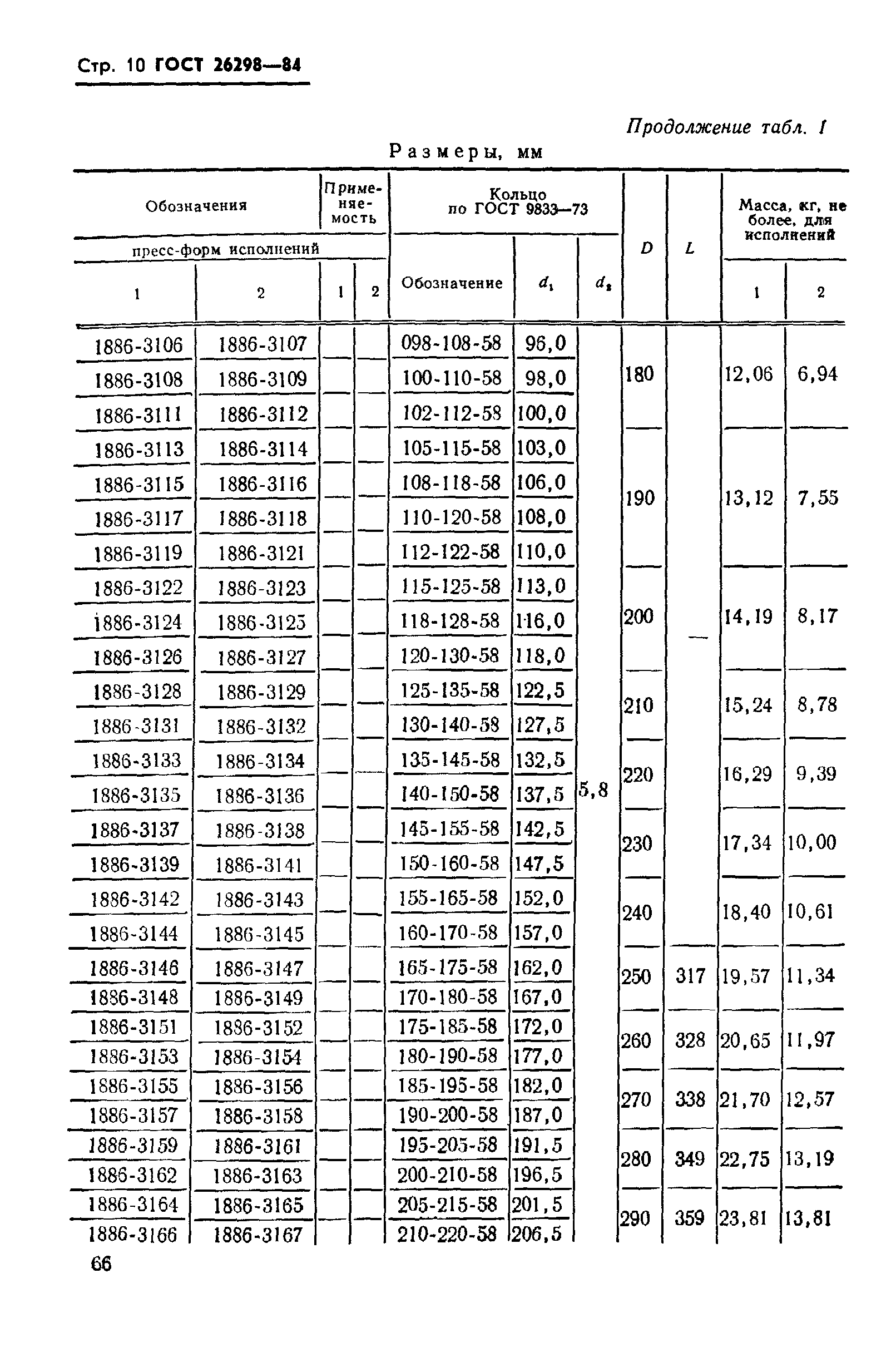
Скачать ГОСТ 26298-84 Пресс-формы съемные этажные с коническим разъемом для изготовления резиновых колец круглого сечения. Конструкция и размеры

Дата актуализации: 10.08.2017

ГОСТ 26298-84

Пресс-формы съемные этажные с коническим разъемом для изготовления резиновых колец круглого сечения. Конструкция и размеры

Обозначение: ГОСТ 26298-84
Обозначение англ: GOST 26298-84
Статус:действует
Название рус.:Пресс-формы съемные этажные с коническим разъемом для изготовления резиновых колец круглого сечения. Конструкция и размеры
Название англ.:Portable ream press moulds with conical break for manufacturing of rubber o-rings section. Designs and dimensions
Дата добавления в базу:01.09.2013
Дата актуализации:05.05.2017
Дата введения:01.01.1986
Область применения:Стандарт распространяется на съемные этажные пресс-формы с коническим разъемом для изготовления резиновых колец круглого сечения внутренним диаметром от 61 до 299,5 мм из резиновых смесей с усадкой.
Утверждён:28.09.1984 Государственный комитет СССР по стандартам (USSR National Committee on Standards 3443)
Расположен в:Техническая документация Электроэнергия РЕЗИНОВАЯ, РЕЗИНОТЕХНИЧЕСКАЯ, АСБЕСТОТЕХНИЧЕСКАЯ И ПЛАСТМАССОВАЯ ПРОМЫШЛЕННОСТЬ Оборудование для производства резины и пластмасс Экология РЕЗИНОВАЯ, РЕЗИНОТЕХНИЧЕСКАЯ, АСБЕСТОТЕХНИЧЕСКАЯ И ПЛАСТМАССОВАЯ ПРОМЫШЛЕННОСТЬ Оборудование для производства резины и пластмасс
Список изменений:
Заменяет собой:
  • ГОСТ 20078-74 «Станки для бурения взрывных скважин на открытых горных работах. Типы и основные параметры»
Нормативные ссылки:
ГОСТ 26298-84ГОСТ 26298-84ГОСТ 26298-84ГОСТ 26298-84ГОСТ 26298-84ГОСТ 26298-84ГОСТ 26298-84ГОСТ 26298-84ГОСТ 26298-84ГОСТ 26298-84ГОСТ 26298-84ГОСТ 26298-84ГОСТ 26298-84ГОСТ 26298-84ГОСТ 26298-84ГОСТ 26298-84ГОСТ 26298-84ГОСТ 26298-84ГОСТ 26298-84ГОСТ 26298-84ГОСТ 26298-84ГОСТ 26298-84ГОСТ 26298-84ГОСТ 26298-84ГОСТ 26298-84ГОСТ 26298-84ГОСТ 26298-84ГОСТ 26298-84ГОСТ 26298-84ГОСТ 26298-84ГОСТ 26298-84ГОСТ 26298-84ГОСТ 26298-84ГОСТ 26298-84ГОСТ 26298-84ГОСТ 26298-84ГОСТ 26298-84ГОСТ 26298-84ГОСТ 26298-84ГОСТ 26298-84ГОСТ 26298-84ГОСТ 26298-84ГОСТ 26298-84ГОСТ 26298-84ГОСТ 26298-84ГОСТ 26298-84

Текстовое изменение поправка от 01.10.1986

поправка

Текстовое изменение поправка от 01.06.1988

поправка

© 2013 Ёшкин Кот :-) Карта сайта