Информационная система
«Ёшкин Кот»

Скачать базу одним архивом
Скачать обновления
История создания базы
Карта сайта

Скачать ГОСТ 25645.153-90 Излучение атмосферы Земли рассеянное. Модель пространственно-временного распределения

Дата актуализации: 10.08.2017

ГОСТ 25645.153-90

Излучение атмосферы Земли рассеянное. Модель пространственно-временного распределения

Обозначение: ГОСТ 25645.153-90
Обозначение англ: GOST 25645.153-90
Статус:действует
Название рус.:Излучение атмосферы Земли рассеянное. Модель пространственно-временного распределения
Название англ.:Atmospheric diffuse Earth's radiation. Model of spatial-time distribution
Дата добавления в базу:01.09.2013
Дата актуализации:05.05.2017
Дата введения:01.01.1992
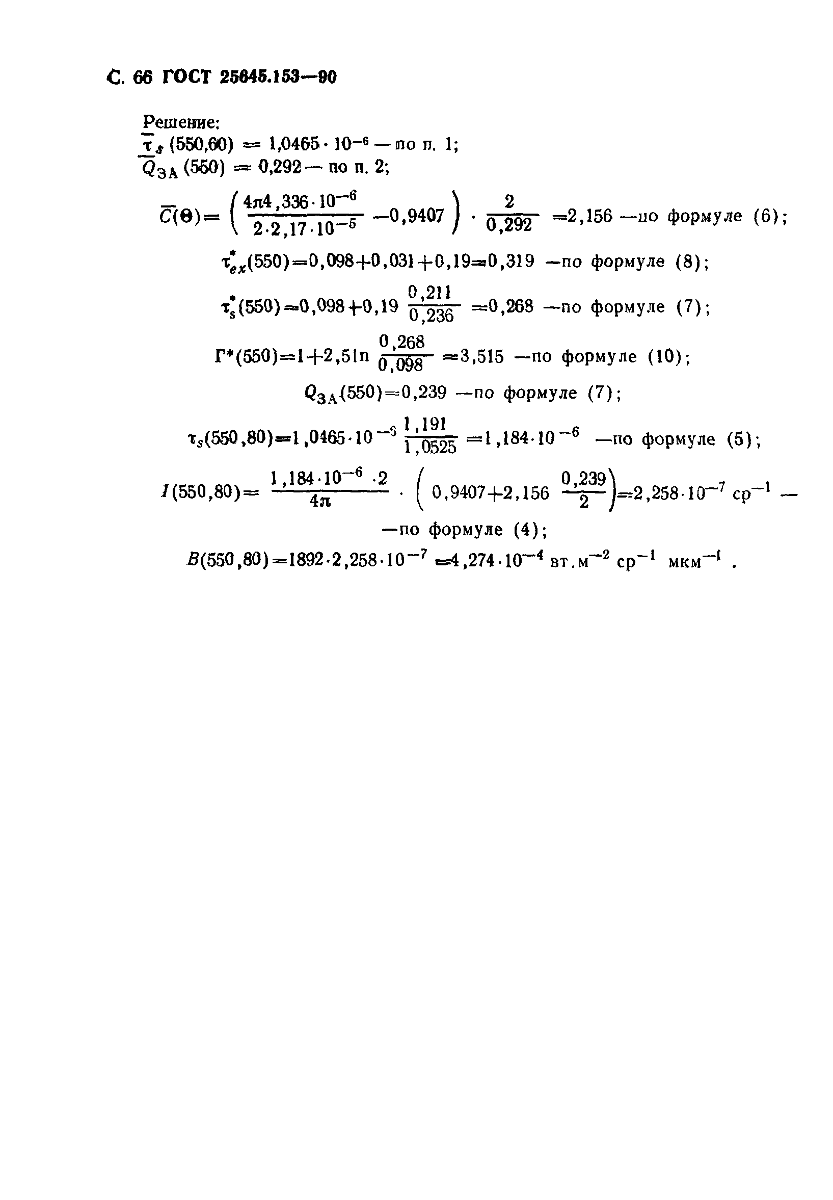
Оглавление:Приложение 1 Методика расчета сезонно-широтных значений спектральной яркости средней атмосферы
Приложение 2
Приложение 3 Сезонно-широтные значения средних и стандартных отклонений спектральной толщины аэрозоля в области спектра 350-1000 нм
Приложение 4 Средние значения спектрального альбедо, % типичных поверхностей Европейской территории Советского Союза
Приложение 5 Средние значения спектрального альбедо, % вод экваториальной и северной части Атлантического океана
Приложение 6 Примеры расчета спектроэнергетических характеристик атмосферы
Разработан: Институт прикладной геофизики имени академика Е. К. Федорова Госкомгидромета
Утверждён:29.12.1990 Государственный комитет СССР по управлению качеством продукции и стандартам (USSR National Committee on Standards and Product Quality Management 3642)
Издан: Издательство стандартов (1991 г. )
Расположен в:Техническая документация Электроэнергия МАТЕМАТИКА. ЕСТЕСТВЕННЫЕ НАУКИ Астрономия. Геодезия. География Экология МАТЕМАТИКА. ЕСТЕСТВЕННЫЕ НАУКИ Астрономия. Геодезия. География
ГОСТ 25645.153-90ГОСТ 25645.153-90ГОСТ 25645.153-90ГОСТ 25645.153-90ГОСТ 25645.153-90ГОСТ 25645.153-90ГОСТ 25645.153-90ГОСТ 25645.153-90ГОСТ 25645.153-90ГОСТ 25645.153-90ГОСТ 25645.153-90ГОСТ 25645.153-90ГОСТ 25645.153-90ГОСТ 25645.153-90ГОСТ 25645.153-90ГОСТ 25645.153-90ГОСТ 25645.153-90ГОСТ 25645.153-90ГОСТ 25645.153-90ГОСТ 25645.153-90ГОСТ 25645.153-90ГОСТ 25645.153-90ГОСТ 25645.153-90ГОСТ 25645.153-90ГОСТ 25645.153-90ГОСТ 25645.153-90ГОСТ 25645.153-90ГОСТ 25645.153-90ГОСТ 25645.153-90ГОСТ 25645.153-90ГОСТ 25645.153-90ГОСТ 25645.153-90ГОСТ 25645.153-90ГОСТ 25645.153-90ГОСТ 25645.153-90ГОСТ 25645.153-90ГОСТ 25645.153-90ГОСТ 25645.153-90ГОСТ 25645.153-90ГОСТ 25645.153-90ГОСТ 25645.153-90ГОСТ 25645.153-90ГОСТ 25645.153-90ГОСТ 25645.153-90ГОСТ 25645.153-90ГОСТ 25645.153-90ГОСТ 25645.153-90ГОСТ 25645.153-90ГОСТ 25645.153-90ГОСТ 25645.153-90ГОСТ 25645.153-90ГОСТ 25645.153-90ГОСТ 25645.153-90ГОСТ 25645.153-90ГОСТ 25645.153-90ГОСТ 25645.153-90ГОСТ 25645.153-90ГОСТ 25645.153-90ГОСТ 25645.153-90ГОСТ 25645.153-90ГОСТ 25645.153-90ГОСТ 25645.153-90ГОСТ 25645.153-90ГОСТ 25645.153-90ГОСТ 25645.153-90ГОСТ 25645.153-90ГОСТ 25645.153-90ГОСТ 25645.153-90ГОСТ 25645.153-90ГОСТ 25645.153-90

© 2013 Ёшкин Кот :-) Карта сайта