Информационная система
«Ёшкин Кот»

Скачать базу одним архивом
Скачать обновления
История создания базы
Карта сайта

Скачать ГОСТ 25645.146-89 Ионосфера Земли. Модель глобального распределения концентрации, температуры и эффективной частоты соударений электронов

Дата актуализации: 10.08.2017

ГОСТ 25645.146-89

Ионосфера Земли. Модель глобального распределения концентрации, температуры и эффективной частоты соударений электронов

Обозначение: ГОСТ 25645.146-89
Обозначение англ: GOST 25645.146-89
Статус:взамен
Название рус.:Ионосфера Земли. Модель глобального распределения концентрации, температуры и эффективной частоты соударений электронов
Название англ.:Earth's ionosphere. Model of global distribution of concentration, temperature and effective collision frequency of electrons
Дата добавления в базу:01.09.2013
Дата актуализации:05.05.2017
Дата введения:01.01.1991
Область применения:Стандарт устанавливает модель глобального распределения средних значений концентрации, температуры и эффективной частоты соударений электронов в ионосфере Земли в интервале высот от 65 до 1000 км без учета тонких спорадических слоев E для любого времени суток, различных дней года и уровней солнечной активности, а для концентрации электронов на высоких широтах - и для различных уровней геомагнитной активности. Стандарт не распространяется на периоды ионосферных бурь.
Оглавление:1 Общие положения
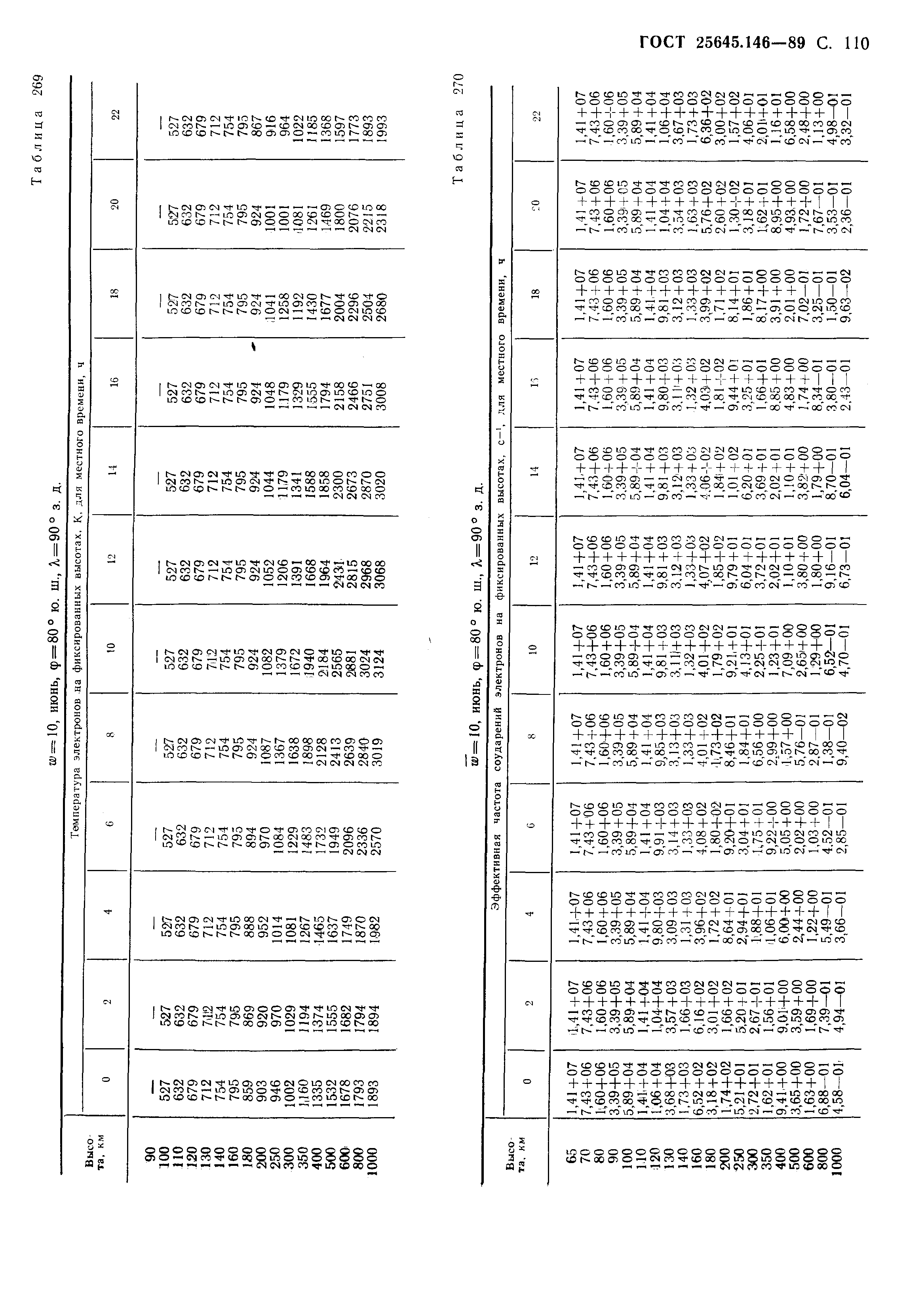
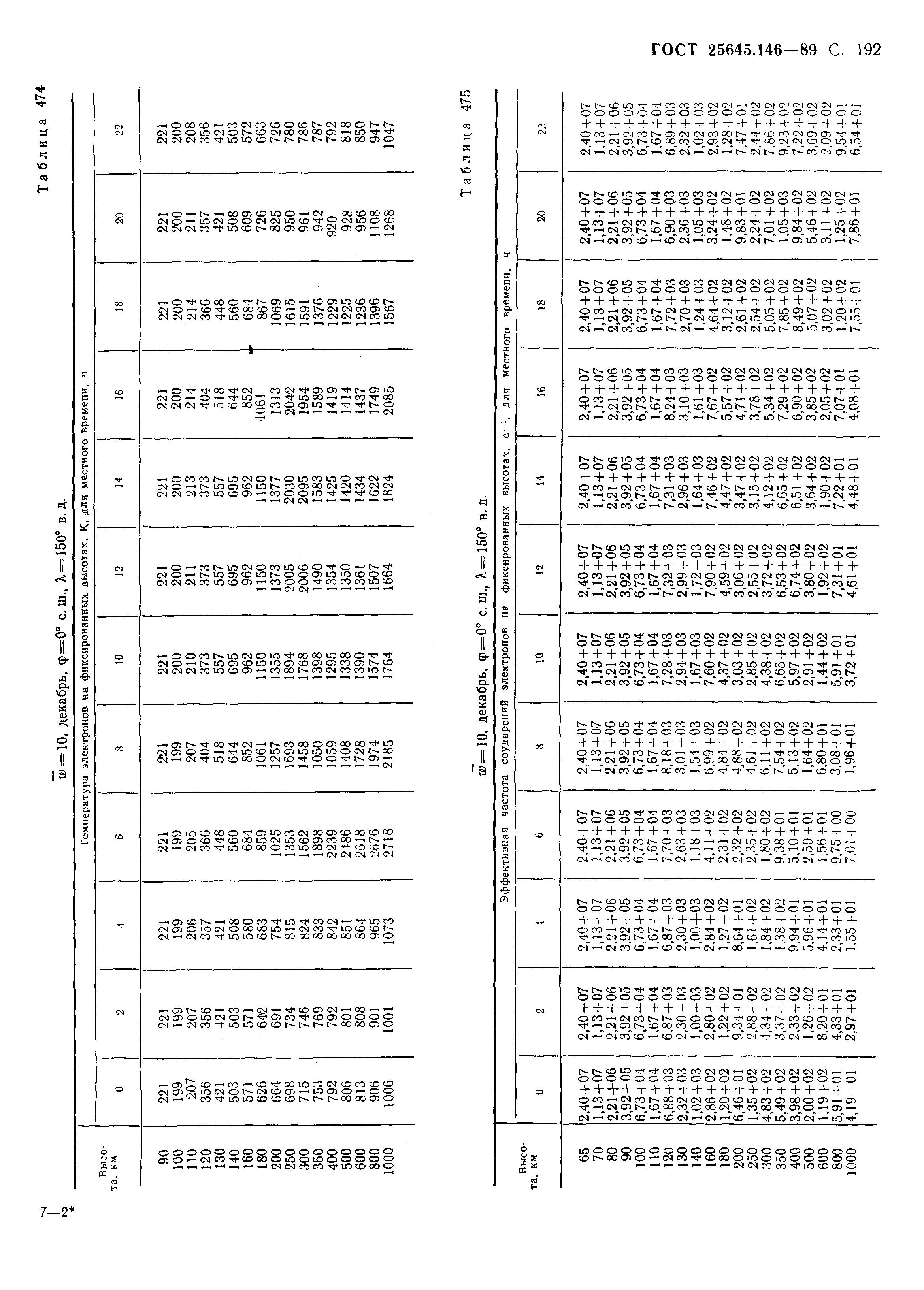
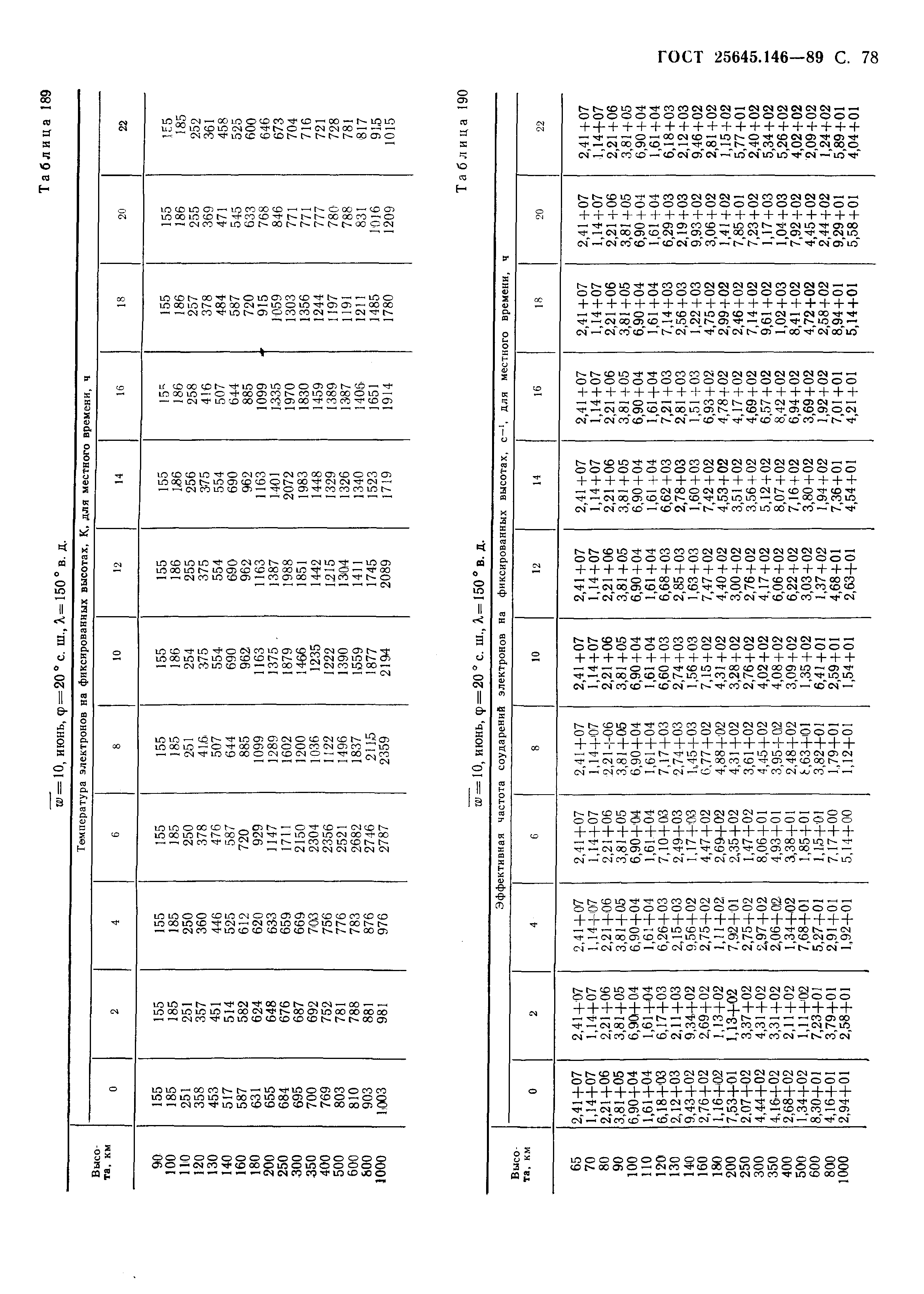
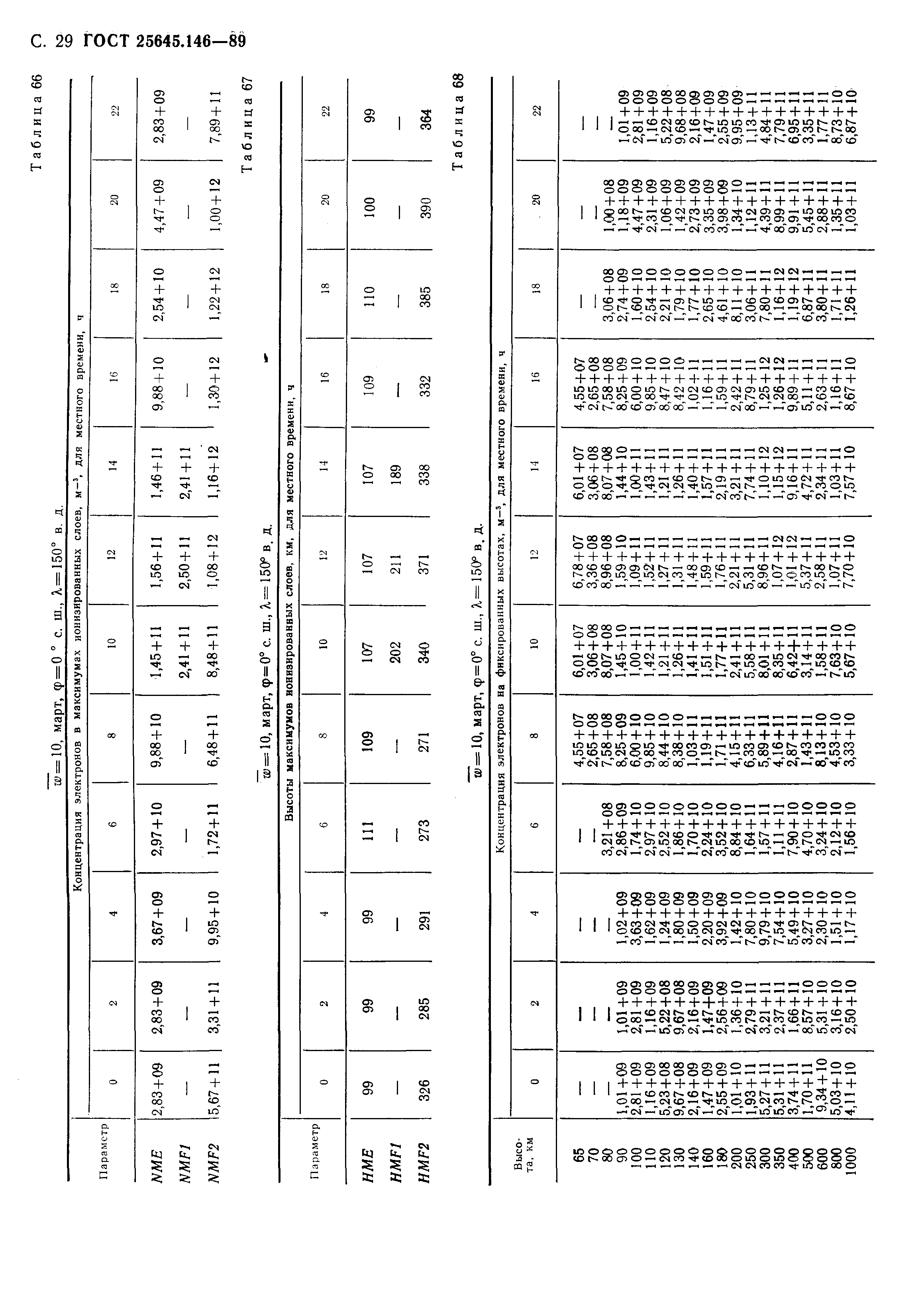
2 Таблицы концентрации, температуры и эффективной частоты соударений электронов
3 Карты изолиний концентрации электронов для высоких широт
Приложение 1 Термины, применяемые в настоящем стандарте, и пояснения к ним
Приложение 2 Формулы для расчета мирового и местного геомагнитного времени и таблица перевода географических координат в исправленные геомагнитные координаты
Разработан: Государственный комитет СССР по гидрометеорологии
Утверждён:21.11.1989 Госстандарт СССР (USSR Gosstandart 3416)
Расположен в:Техническая документация Электроэнергия МАТЕМАТИКА. ЕСТЕСТВЕННЫЕ НАУКИ Астрономия. Геодезия. География Экология МАТЕМАТИКА. ЕСТЕСТВЕННЫЕ НАУКИ Астрономия. Геодезия. География
Заменяет собой:
  • ГОСТ 25645.141-86 «Ионосфера Земли. Динамическая модель электронной концентрации на средних и низких широтах»
  • ГОСТ 25645.140-86 «Ионосфера Земли. Динамическая модель электронной концентрации на высоких широтах»
  • ГОСТ 25645.142-86 «Ионосфера Земли. Модель глобального распределения электронной концентрации»
Нормативные ссылки:
ГОСТ 25645.146-89ГОСТ 25645.146-89ГОСТ 25645.146-89ГОСТ 25645.146-89ГОСТ 25645.146-89ГОСТ 25645.146-89ГОСТ 25645.146-89ГОСТ 25645.146-89ГОСТ 25645.146-89ГОСТ 25645.146-89ГОСТ 25645.146-89ГОСТ 25645.146-89ГОСТ 25645.146-89ГОСТ 25645.146-89ГОСТ 25645.146-89ГОСТ 25645.146-89ГОСТ 25645.146-89ГОСТ 25645.146-89ГОСТ 25645.146-89ГОСТ 25645.146-89ГОСТ 25645.146-89ГОСТ 25645.146-89ГОСТ 25645.146-89ГОСТ 25645.146-89ГОСТ 25645.146-89ГОСТ 25645.146-89ГОСТ 25645.146-89ГОСТ 25645.146-89ГОСТ 25645.146-89ГОСТ 25645.146-89ГОСТ 25645.146-89ГОСТ 25645.146-89ГОСТ 25645.146-89ГОСТ 25645.146-89ГОСТ 25645.146-89ГОСТ 25645.146-89ГОСТ 25645.146-89ГОСТ 25645.146-89ГОСТ 25645.146-89ГОСТ 25645.146-89ГОСТ 25645.146-89ГОСТ 25645.146-89ГОСТ 25645.146-89ГОСТ 25645.146-89ГОСТ 25645.146-89ГОСТ 25645.146-89ГОСТ 25645.146-89ГОСТ 25645.146-89ГОСТ 25645.146-89ГОСТ 25645.146-89ГОСТ 25645.146-89ГОСТ 25645.146-89ГОСТ 25645.146-89ГОСТ 25645.146-89ГОСТ 25645.146-89ГОСТ 25645.146-89ГОСТ 25645.146-89ГОСТ 25645.146-89ГОСТ 25645.146-89ГОСТ 25645.146-89ГОСТ 25645.146-89ГОСТ 25645.146-89ГОСТ 25645.146-89ГОСТ 25645.146-89ГОСТ 25645.146-89ГОСТ 25645.146-89ГОСТ 25645.146-89ГОСТ 25645.146-89ГОСТ 25645.146-89ГОСТ 25645.146-89ГОСТ 25645.146-89ГОСТ 25645.146-89ГОСТ 25645.146-89ГОСТ 25645.146-89ГОСТ 25645.146-89ГОСТ 25645.146-89ГОСТ 25645.146-89ГОСТ 25645.146-89ГОСТ 25645.146-89ГОСТ 25645.146-89ГОСТ 25645.146-89ГОСТ 25645.146-89ГОСТ 25645.146-89ГОСТ 25645.146-89ГОСТ 25645.146-89ГОСТ 25645.146-89ГОСТ 25645.146-89ГОСТ 25645.146-89ГОСТ 25645.146-89ГОСТ 25645.146-89ГОСТ 25645.146-89ГОСТ 25645.146-89ГОСТ 25645.146-89ГОСТ 25645.146-89ГОСТ 25645.146-89ГОСТ 25645.146-89ГОСТ 25645.146-89ГОСТ 25645.146-89ГОСТ 25645.146-89ГОСТ 25645.146-89ГОСТ 25645.146-89ГОСТ 25645.146-89ГОСТ 25645.146-89ГОСТ 25645.146-89ГОСТ 25645.146-89ГОСТ 25645.146-89ГОСТ 25645.146-89ГОСТ 25645.146-89ГОСТ 25645.146-89ГОСТ 25645.146-89ГОСТ 25645.146-89ГОСТ 25645.146-89ГОСТ 25645.146-89ГОСТ 25645.146-89ГОСТ 25645.146-89ГОСТ 25645.146-89ГОСТ 25645.146-89ГОСТ 25645.146-89ГОСТ 25645.146-89ГОСТ 25645.146-89ГОСТ 25645.146-89ГОСТ 25645.146-89ГОСТ 25645.146-89ГОСТ 25645.146-89ГОСТ 25645.146-89ГОСТ 25645.146-89ГОСТ 25645.146-89ГОСТ 25645.146-89ГОСТ 25645.146-89ГОСТ 25645.146-89ГОСТ 25645.146-89ГОСТ 25645.146-89ГОСТ 25645.146-89ГОСТ 25645.146-89ГОСТ 25645.146-89ГОСТ 25645.146-89ГОСТ 25645.146-89ГОСТ 25645.146-89ГОСТ 25645.146-89ГОСТ 25645.146-89ГОСТ 25645.146-89ГОСТ 25645.146-89ГОСТ 25645.146-89ГОСТ 25645.146-89ГОСТ 25645.146-89ГОСТ 25645.146-89ГОСТ 25645.146-89ГОСТ 25645.146-89ГОСТ 25645.146-89ГОСТ 25645.146-89ГОСТ 25645.146-89ГОСТ 25645.146-89ГОСТ 25645.146-89ГОСТ 25645.146-89ГОСТ 25645.146-89ГОСТ 25645.146-89ГОСТ 25645.146-89ГОСТ 25645.146-89ГОСТ 25645.146-89ГОСТ 25645.146-89ГОСТ 25645.146-89ГОСТ 25645.146-89ГОСТ 25645.146-89ГОСТ 25645.146-89ГОСТ 25645.146-89ГОСТ 25645.146-89ГОСТ 25645.146-89ГОСТ 25645.146-89ГОСТ 25645.146-89ГОСТ 25645.146-89ГОСТ 25645.146-89ГОСТ 25645.146-89ГОСТ 25645.146-89ГОСТ 25645.146-89ГОСТ 25645.146-89ГОСТ 25645.146-89ГОСТ 25645.146-89ГОСТ 25645.146-89ГОСТ 25645.146-89ГОСТ 25645.146-89ГОСТ 25645.146-89ГОСТ 25645.146-89ГОСТ 25645.146-89ГОСТ 25645.146-89ГОСТ 25645.146-89ГОСТ 25645.146-89ГОСТ 25645.146-89ГОСТ 25645.146-89ГОСТ 25645.146-89ГОСТ 25645.146-89ГОСТ 25645.146-89ГОСТ 25645.146-89ГОСТ 25645.146-89ГОСТ 25645.146-89ГОСТ 25645.146-89ГОСТ 25645.146-89ГОСТ 25645.146-89ГОСТ 25645.146-89ГОСТ 25645.146-89ГОСТ 25645.146-89ГОСТ 25645.146-89ГОСТ 25645.146-89ГОСТ 25645.146-89ГОСТ 25645.146-89ГОСТ 25645.146-89ГОСТ 25645.146-89ГОСТ 25645.146-89ГОСТ 25645.146-89ГОСТ 25645.146-89ГОСТ 25645.146-89ГОСТ 25645.146-89ГОСТ 25645.146-89ГОСТ 25645.146-89ГОСТ 25645.146-89ГОСТ 25645.146-89ГОСТ 25645.146-89ГОСТ 25645.146-89ГОСТ 25645.146-89ГОСТ 25645.146-89ГОСТ 25645.146-89ГОСТ 25645.146-89ГОСТ 25645.146-89ГОСТ 25645.146-89ГОСТ 25645.146-89ГОСТ 25645.146-89ГОСТ 25645.146-89ГОСТ 25645.146-89ГОСТ 25645.146-89ГОСТ 25645.146-89ГОСТ 25645.146-89ГОСТ 25645.146-89ГОСТ 25645.146-89ГОСТ 25645.146-89ГОСТ 25645.146-89ГОСТ 25645.146-89ГОСТ 25645.146-89ГОСТ 25645.146-89ГОСТ 25645.146-89ГОСТ 25645.146-89ГОСТ 25645.146-89ГОСТ 25645.146-89ГОСТ 25645.146-89ГОСТ 25645.146-89ГОСТ 25645.146-89ГОСТ 25645.146-89ГОСТ 25645.146-89ГОСТ 25645.146-89ГОСТ 25645.146-89ГОСТ 25645.146-89ГОСТ 25645.146-89ГОСТ 25645.146-89ГОСТ 25645.146-89ГОСТ 25645.146-89ГОСТ 25645.146-89ГОСТ 25645.146-89ГОСТ 25645.146-89ГОСТ 25645.146-89ГОСТ 25645.146-89ГОСТ 25645.146-89ГОСТ 25645.146-89ГОСТ 25645.146-89ГОСТ 25645.146-89ГОСТ 25645.146-89ГОСТ 25645.146-89ГОСТ 25645.146-89ГОСТ 25645.146-89ГОСТ 25645.146-89ГОСТ 25645.146-89ГОСТ 25645.146-89ГОСТ 25645.146-89ГОСТ 25645.146-89ГОСТ 25645.146-89ГОСТ 25645.146-89ГОСТ 25645.146-89ГОСТ 25645.146-89ГОСТ 25645.146-89ГОСТ 25645.146-89ГОСТ 25645.146-89ГОСТ 25645.146-89ГОСТ 25645.146-89ГОСТ 25645.146-89ГОСТ 25645.146-89ГОСТ 25645.146-89ГОСТ 25645.146-89ГОСТ 25645.146-89ГОСТ 25645.146-89ГОСТ 25645.146-89ГОСТ 25645.146-89ГОСТ 25645.146-89ГОСТ 25645.146-89ГОСТ 25645.146-89ГОСТ 25645.146-89ГОСТ 25645.146-89ГОСТ 25645.146-89ГОСТ 25645.146-89ГОСТ 25645.146-89ГОСТ 25645.146-89ГОСТ 25645.146-89ГОСТ 25645.146-89ГОСТ 25645.146-89ГОСТ 25645.146-89ГОСТ 25645.146-89ГОСТ 25645.146-89ГОСТ 25645.146-89ГОСТ 25645.146-89ГОСТ 25645.146-89ГОСТ 25645.146-89ГОСТ 25645.146-89ГОСТ 25645.146-89ГОСТ 25645.146-89ГОСТ 25645.146-89ГОСТ 25645.146-89ГОСТ 25645.146-89ГОСТ 25645.146-89ГОСТ 25645.146-89ГОСТ 25645.146-89ГОСТ 25645.146-89ГОСТ 25645.146-89ГОСТ 25645.146-89ГОСТ 25645.146-89ГОСТ 25645.146-89ГОСТ 25645.146-89ГОСТ 25645.146-89ГОСТ 25645.146-89ГОСТ 25645.146-89ГОСТ 25645.146-89ГОСТ 25645.146-89ГОСТ 25645.146-89ГОСТ 25645.146-89ГОСТ 25645.146-89ГОСТ 25645.146-89ГОСТ 25645.146-89ГОСТ 25645.146-89ГОСТ 25645.146-89ГОСТ 25645.146-89ГОСТ 25645.146-89ГОСТ 25645.146-89ГОСТ 25645.146-89ГОСТ 25645.146-89ГОСТ 25645.146-89ГОСТ 25645.146-89ГОСТ 25645.146-89ГОСТ 25645.146-89ГОСТ 25645.146-89ГОСТ 25645.146-89ГОСТ 25645.146-89ГОСТ 25645.146-89ГОСТ 25645.146-89ГОСТ 25645.146-89ГОСТ 25645.146-89ГОСТ 25645.146-89ГОСТ 25645.146-89ГОСТ 25645.146-89ГОСТ 25645.146-89ГОСТ 25645.146-89ГОСТ 25645.146-89ГОСТ 25645.146-89ГОСТ 25645.146-89ГОСТ 25645.146-89ГОСТ 25645.146-89ГОСТ 25645.146-89ГОСТ 25645.146-89ГОСТ 25645.146-89ГОСТ 25645.146-89ГОСТ 25645.146-89ГОСТ 25645.146-89ГОСТ 25645.146-89ГОСТ 25645.146-89ГОСТ 25645.146-89ГОСТ 25645.146-89ГОСТ 25645.146-89ГОСТ 25645.146-89ГОСТ 25645.146-89ГОСТ 25645.146-89ГОСТ 25645.146-89ГОСТ 25645.146-89ГОСТ 25645.146-89ГОСТ 25645.146-89ГОСТ 25645.146-89ГОСТ 25645.146-89ГОСТ 25645.146-89ГОСТ 25645.146-89ГОСТ 25645.146-89ГОСТ 25645.146-89ГОСТ 25645.146-89ГОСТ 25645.146-89ГОСТ 25645.146-89ГОСТ 25645.146-89ГОСТ 25645.146-89ГОСТ 25645.146-89ГОСТ 25645.146-89ГОСТ 25645.146-89ГОСТ 25645.146-89ГОСТ 25645.146-89ГОСТ 25645.146-89ГОСТ 25645.146-89ГОСТ 25645.146-89ГОСТ 25645.146-89ГОСТ 25645.146-89ГОСТ 25645.146-89ГОСТ 25645.146-89ГОСТ 25645.146-89ГОСТ 25645.146-89ГОСТ 25645.146-89ГОСТ 25645.146-89ГОСТ 25645.146-89ГОСТ 25645.146-89ГОСТ 25645.146-89ГОСТ 25645.146-89ГОСТ 25645.146-89ГОСТ 25645.146-89ГОСТ 25645.146-89ГОСТ 25645.146-89ГОСТ 25645.146-89ГОСТ 25645.146-89ГОСТ 25645.146-89ГОСТ 25645.146-89ГОСТ 25645.146-89ГОСТ 25645.146-89ГОСТ 25645.146-89ГОСТ 25645.146-89ГОСТ 25645.146-89ГОСТ 25645.146-89ГОСТ 25645.146-89ГОСТ 25645.146-89ГОСТ 25645.146-89ГОСТ 25645.146-89ГОСТ 25645.146-89ГОСТ 25645.146-89ГОСТ 25645.146-89ГОСТ 25645.146-89ГОСТ 25645.146-89ГОСТ 25645.146-89ГОСТ 25645.146-89ГОСТ 25645.146-89ГОСТ 25645.146-89ГОСТ 25645.146-89ГОСТ 25645.146-89ГОСТ 25645.146-89ГОСТ 25645.146-89ГОСТ 25645.146-89ГОСТ 25645.146-89ГОСТ 25645.146-89ГОСТ 25645.146-89ГОСТ 25645.146-89ГОСТ 25645.146-89ГОСТ 25645.146-89ГОСТ 25645.146-89ГОСТ 25645.146-89ГОСТ 25645.146-89ГОСТ 25645.146-89ГОСТ 25645.146-89ГОСТ 25645.146-89ГОСТ 25645.146-89ГОСТ 25645.146-89ГОСТ 25645.146-89ГОСТ 25645.146-89ГОСТ 25645.146-89ГОСТ 25645.146-89ГОСТ 25645.146-89ГОСТ 25645.146-89ГОСТ 25645.146-89ГОСТ 25645.146-89ГОСТ 25645.146-89ГОСТ 25645.146-89ГОСТ 25645.146-89ГОСТ 25645.146-89ГОСТ 25645.146-89ГОСТ 25645.146-89ГОСТ 25645.146-89ГОСТ 25645.146-89ГОСТ 25645.146-89ГОСТ 25645.146-89ГОСТ 25645.146-89ГОСТ 25645.146-89ГОСТ 25645.146-89ГОСТ 25645.146-89ГОСТ 25645.146-89ГОСТ 25645.146-89ГОСТ 25645.146-89ГОСТ 25645.146-89ГОСТ 25645.146-89ГОСТ 25645.146-89ГОСТ 25645.146-89ГОСТ 25645.146-89ГОСТ 25645.146-89ГОСТ 25645.146-89ГОСТ 25645.146-89ГОСТ 25645.146-89ГОСТ 25645.146-89ГОСТ 25645.146-89ГОСТ 25645.146-89ГОСТ 25645.146-89ГОСТ 25645.146-89ГОСТ 25645.146-89ГОСТ 25645.146-89ГОСТ 25645.146-89ГОСТ 25645.146-89ГОСТ 25645.146-89ГОСТ 25645.146-89ГОСТ 25645.146-89ГОСТ 25645.146-89ГОСТ 25645.146-89ГОСТ 25645.146-89ГОСТ 25645.146-89ГОСТ 25645.146-89ГОСТ 25645.146-89ГОСТ 25645.146-89ГОСТ 25645.146-89ГОСТ 25645.146-89ГОСТ 25645.146-89ГОСТ 25645.146-89ГОСТ 25645.146-89ГОСТ 25645.146-89ГОСТ 25645.146-89ГОСТ 25645.146-89ГОСТ 25645.146-89ГОСТ 25645.146-89ГОСТ 25645.146-89ГОСТ 25645.146-89ГОСТ 25645.146-89ГОСТ 25645.146-89ГОСТ 25645.146-89ГОСТ 25645.146-89ГОСТ 25645.146-89ГОСТ 25645.146-89ГОСТ 25645.146-89ГОСТ 25645.146-89ГОСТ 25645.146-89ГОСТ 25645.146-89ГОСТ 25645.146-89ГОСТ 25645.146-89ГОСТ 25645.146-89ГОСТ 25645.146-89ГОСТ 25645.146-89ГОСТ 25645.146-89ГОСТ 25645.146-89ГОСТ 25645.146-89ГОСТ 25645.146-89ГОСТ 25645.146-89ГОСТ 25645.146-89ГОСТ 25645.146-89ГОСТ 25645.146-89ГОСТ 25645.146-89ГОСТ 25645.146-89ГОСТ 25645.146-89ГОСТ 25645.146-89ГОСТ 25645.146-89ГОСТ 25645.146-89ГОСТ 25645.146-89ГОСТ 25645.146-89ГОСТ 25645.146-89ГОСТ 25645.146-89ГОСТ 25645.146-89ГОСТ 25645.146-89ГОСТ 25645.146-89ГОСТ 25645.146-89ГОСТ 25645.146-89ГОСТ 25645.146-89ГОСТ 25645.146-89ГОСТ 25645.146-89ГОСТ 25645.146-89ГОСТ 25645.146-89ГОСТ 25645.146-89ГОСТ 25645.146-89ГОСТ 25645.146-89ГОСТ 25645.146-89ГОСТ 25645.146-89ГОСТ 25645.146-89ГОСТ 25645.146-89ГОСТ 25645.146-89ГОСТ 25645.146-89ГОСТ 25645.146-89ГОСТ 25645.146-89ГОСТ 25645.146-89ГОСТ 25645.146-89ГОСТ 25645.146-89ГОСТ 25645.146-89ГОСТ 25645.146-89ГОСТ 25645.146-89ГОСТ 25645.146-89ГОСТ 25645.146-89ГОСТ 25645.146-89ГОСТ 25645.146-89ГОСТ 25645.146-89ГОСТ 25645.146-89ГОСТ 25645.146-89ГОСТ 25645.146-89ГОСТ 25645.146-89ГОСТ 25645.146-89ГОСТ 25645.146-89ГОСТ 25645.146-89ГОСТ 25645.146-89ГОСТ 25645.146-89ГОСТ 25645.146-89ГОСТ 25645.146-89ГОСТ 25645.146-89ГОСТ 25645.146-89ГОСТ 25645.146-89ГОСТ 25645.146-89ГОСТ 25645.146-89ГОСТ 25645.146-89ГОСТ 25645.146-89ГОСТ 25645.146-89ГОСТ 25645.146-89ГОСТ 25645.146-89ГОСТ 25645.146-89ГОСТ 25645.146-89ГОСТ 25645.146-89ГОСТ 25645.146-89ГОСТ 25645.146-89ГОСТ 25645.146-89ГОСТ 25645.146-89ГОСТ 25645.146-89ГОСТ 25645.146-89ГОСТ 25645.146-89ГОСТ 25645.146-89ГОСТ 25645.146-89ГОСТ 25645.146-89ГОСТ 25645.146-89ГОСТ 25645.146-89ГОСТ 25645.146-89ГОСТ 25645.146-89ГОСТ 25645.146-89ГОСТ 25645.146-89ГОСТ 25645.146-89ГОСТ 25645.146-89ГОСТ 25645.146-89ГОСТ 25645.146-89ГОСТ 25645.146-89ГОСТ 25645.146-89ГОСТ 25645.146-89ГОСТ 25645.146-89ГОСТ 25645.146-89ГОСТ 25645.146-89ГОСТ 25645.146-89ГОСТ 25645.146-89ГОСТ 25645.146-89ГОСТ 25645.146-89ГОСТ 25645.146-89ГОСТ 25645.146-89ГОСТ 25645.146-89ГОСТ 25645.146-89ГОСТ 25645.146-89ГОСТ 25645.146-89ГОСТ 25645.146-89ГОСТ 25645.146-89ГОСТ 25645.146-89ГОСТ 25645.146-89ГОСТ 25645.146-89ГОСТ 25645.146-89ГОСТ 25645.146-89ГОСТ 25645.146-89ГОСТ 25645.146-89ГОСТ 25645.146-89ГОСТ 25645.146-89ГОСТ 25645.146-89ГОСТ 25645.146-89ГОСТ 25645.146-89ГОСТ 25645.146-89ГОСТ 25645.146-89ГОСТ 25645.146-89ГОСТ 25645.146-89ГОСТ 25645.146-89ГОСТ 25645.146-89ГОСТ 25645.146-89ГОСТ 25645.146-89ГОСТ 25645.146-89ГОСТ 25645.146-89ГОСТ 25645.146-89ГОСТ 25645.146-89ГОСТ 25645.146-89ГОСТ 25645.146-89ГОСТ 25645.146-89ГОСТ 25645.146-89ГОСТ 25645.146-89ГОСТ 25645.146-89ГОСТ 25645.146-89ГОСТ 25645.146-89ГОСТ 25645.146-89ГОСТ 25645.146-89ГОСТ 25645.146-89ГОСТ 25645.146-89ГОСТ 25645.146-89ГОСТ 25645.146-89ГОСТ 25645.146-89ГОСТ 25645.146-89ГОСТ 25645.146-89ГОСТ 25645.146-89ГОСТ 25645.146-89ГОСТ 25645.146-89ГОСТ 25645.146-89ГОСТ 25645.146-89ГОСТ 25645.146-89ГОСТ 25645.146-89ГОСТ 25645.146-89ГОСТ 25645.146-89ГОСТ 25645.146-89ГОСТ 25645.146-89ГОСТ 25645.146-89ГОСТ 25645.146-89ГОСТ 25645.146-89ГОСТ 25645.146-89ГОСТ 25645.146-89ГОСТ 25645.146-89ГОСТ 25645.146-89ГОСТ 25645.146-89ГОСТ 25645.146-89ГОСТ 25645.146-89ГОСТ 25645.146-89ГОСТ 25645.146-89ГОСТ 25645.146-89ГОСТ 25645.146-89ГОСТ 25645.146-89ГОСТ 25645.146-89ГОСТ 25645.146-89ГОСТ 25645.146-89ГОСТ 25645.146-89ГОСТ 25645.146-89ГОСТ 25645.146-89ГОСТ 25645.146-89ГОСТ 25645.146-89ГОСТ 25645.146-89ГОСТ 25645.146-89ГОСТ 25645.146-89ГОСТ 25645.146-89ГОСТ 25645.146-89ГОСТ 25645.146-89ГОСТ 25645.146-89ГОСТ 25645.146-89ГОСТ 25645.146-89ГОСТ 25645.146-89ГОСТ 25645.146-89ГОСТ 25645.146-89ГОСТ 25645.146-89ГОСТ 25645.146-89ГОСТ 25645.146-89ГОСТ 25645.146-89ГОСТ 25645.146-89ГОСТ 25645.146-89ГОСТ 25645.146-89ГОСТ 25645.146-89ГОСТ 25645.146-89ГОСТ 25645.146-89ГОСТ 25645.146-89ГОСТ 25645.146-89ГОСТ 25645.146-89ГОСТ 25645.146-89ГОСТ 25645.146-89ГОСТ 25645.146-89ГОСТ 25645.146-89ГОСТ 25645.146-89ГОСТ 25645.146-89ГОСТ 25645.146-89ГОСТ 25645.146-89ГОСТ 25645.146-89ГОСТ 25645.146-89ГОСТ 25645.146-89ГОСТ 25645.146-89ГОСТ 25645.146-89ГОСТ 25645.146-89ГОСТ 25645.146-89ГОСТ 25645.146-89ГОСТ 25645.146-89ГОСТ 25645.146-89ГОСТ 25645.146-89ГОСТ 25645.146-89ГОСТ 25645.146-89ГОСТ 25645.146-89ГОСТ 25645.146-89ГОСТ 25645.146-89ГОСТ 25645.146-89ГОСТ 25645.146-89ГОСТ 25645.146-89ГОСТ 25645.146-89ГОСТ 25645.146-89ГОСТ 25645.146-89ГОСТ 25645.146-89ГОСТ 25645.146-89ГОСТ 25645.146-89ГОСТ 25645.146-89ГОСТ 25645.146-89ГОСТ 25645.146-89ГОСТ 25645.146-89ГОСТ 25645.146-89ГОСТ 25645.146-89ГОСТ 25645.146-89ГОСТ 25645.146-89ГОСТ 25645.146-89ГОСТ 25645.146-89ГОСТ 25645.146-89ГОСТ 25645.146-89ГОСТ 25645.146-89ГОСТ 25645.146-89ГОСТ 25645.146-89ГОСТ 25645.146-89ГОСТ 25645.146-89ГОСТ 25645.146-89ГОСТ 25645.146-89ГОСТ 25645.146-89ГОСТ 25645.146-89ГОСТ 25645.146-89ГОСТ 25645.146-89ГОСТ 25645.146-89ГОСТ 25645.146-89ГОСТ 25645.146-89ГОСТ 25645.146-89ГОСТ 25645.146-89ГОСТ 25645.146-89ГОСТ 25645.146-89ГОСТ 25645.146-89ГОСТ 25645.146-89ГОСТ 25645.146-89ГОСТ 25645.146-89ГОСТ 25645.146-89ГОСТ 25645.146-89ГОСТ 25645.146-89ГОСТ 25645.146-89ГОСТ 25645.146-89ГОСТ 25645.146-89ГОСТ 25645.146-89ГОСТ 25645.146-89ГОСТ 25645.146-89ГОСТ 25645.146-89ГОСТ 25645.146-89

© 2013 Ёшкин Кот :-) Карта сайта