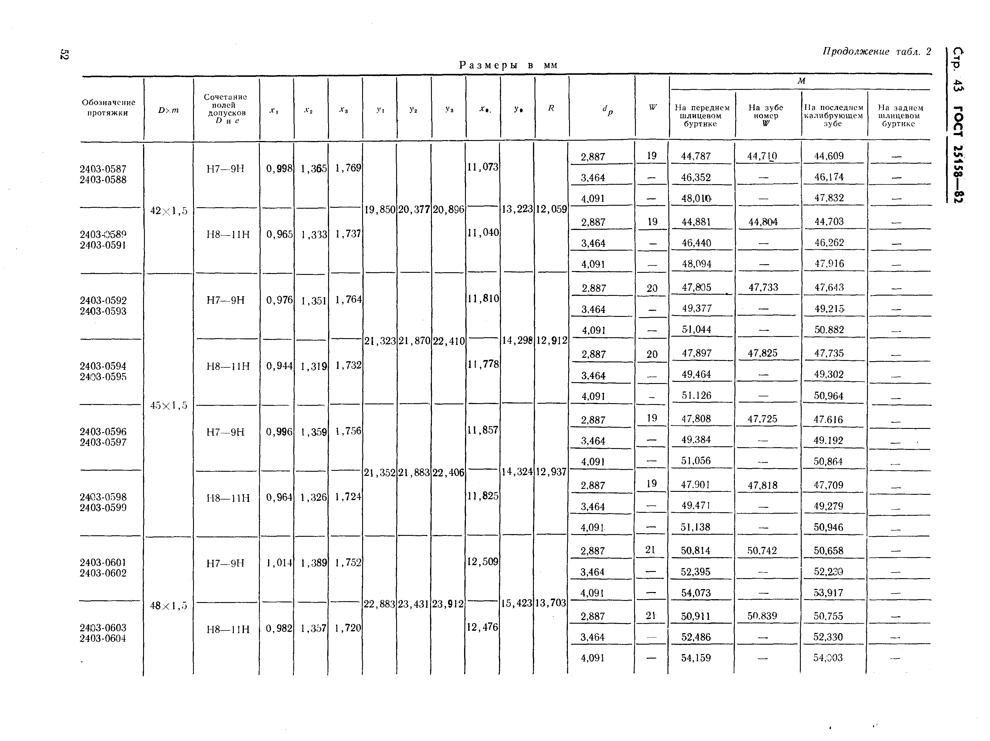
Скачать ГОСТ 25158-82 Протяжки для шлицевых отверстий с эвольвентным профилем диаметром от 15 до 9О мм модулем от 1 до 2,5 мм с центрированием по наружному диаметру. Конструкция и размерыДата актуализации: 10.08.2017 ГОСТ 25158-82
Протяжки для шлицевых отверстий с эвольвентным профилем диаметром от 15 до 9О мм модулем от 1 до 2,5 мм с центрированием по наружному диаметру. Конструкция и размерыОбозначение: | ГОСТ 25158-82 | Обозначение англ: | GOST 25158-82 | Статус: | действует | Название рус.: | Протяжки для шлицевых отверстий с эвольвентным профилем диаметром от 15 до 9О мм модулем от 1 до 2,5 мм с центрированием по наружному диаметру. Конструкция и размеры | Название англ.: | Broaches with diameter from 15 to 90 mm for slitting holes with involute profile and centring at outside diameter with modul from 1 to 2,5 mm. Construction and dimensions | Дата добавления в базу: | 01.09.2013 | Дата актуализации: | 05.05.2017 | Дата введения: | 01.01.1984 | Оглавление: | Приложение Типовое оформление чертежа протяжки | Утверждён: | 03.03.1982 Госстандарт СССР (USSR Gosstandart 936)
| Расположен в: |
| Список изменений: | |
                                                                                                                         
Текстовое изменение № 1 от 01.09.1986
 
Текстовое изменение № 2 от 01.02.1988

|