Информационная система
«Ёшкин Кот»

Скачать базу одним архивом
Скачать обновления
История создания базы
Карта сайта

Скачать ГОСТ 24829-81 Пакеты трехкассетных пресс-форм для изготовления резиновых уплотнительных манжет. Конструкция и размеры

Дата актуализации: 10.08.2017

ГОСТ 24829-81

Пакеты трехкассетных пресс-форм для изготовления резиновых уплотнительных манжет. Конструкция и размеры

Обозначение: ГОСТ 24829-81
Обозначение англ: GOST 24829-81
Статус:действует
Название рус.:Пакеты трехкассетных пресс-форм для изготовления резиновых уплотнительных манжет. Конструкция и размеры
Название англ.:The sets of three casette press moulds for manufacturing of rubber sealing cups. Design and dimensions
Дата добавления в базу:01.09.2013
Дата актуализации:05.05.2017
Дата введения:01.07.1982
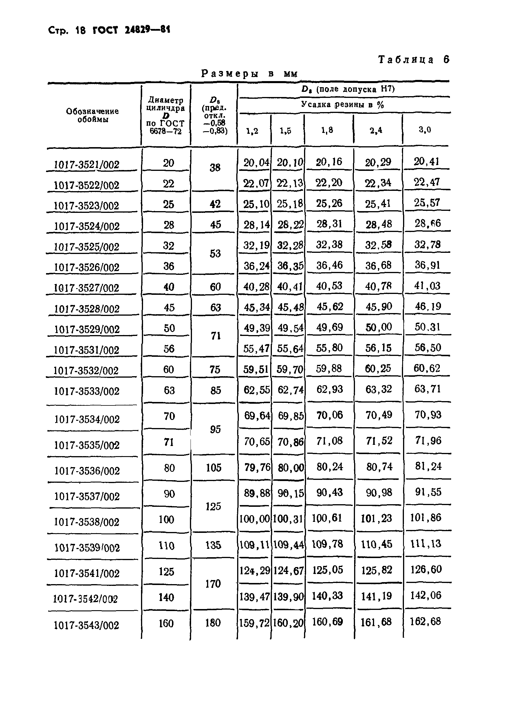
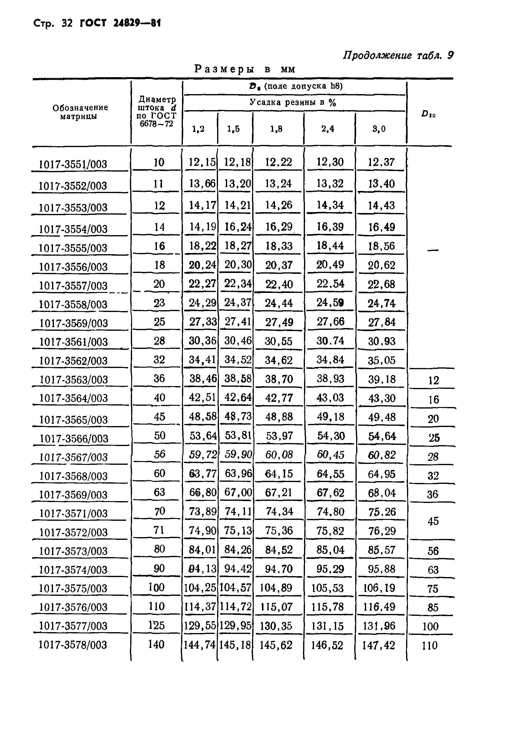
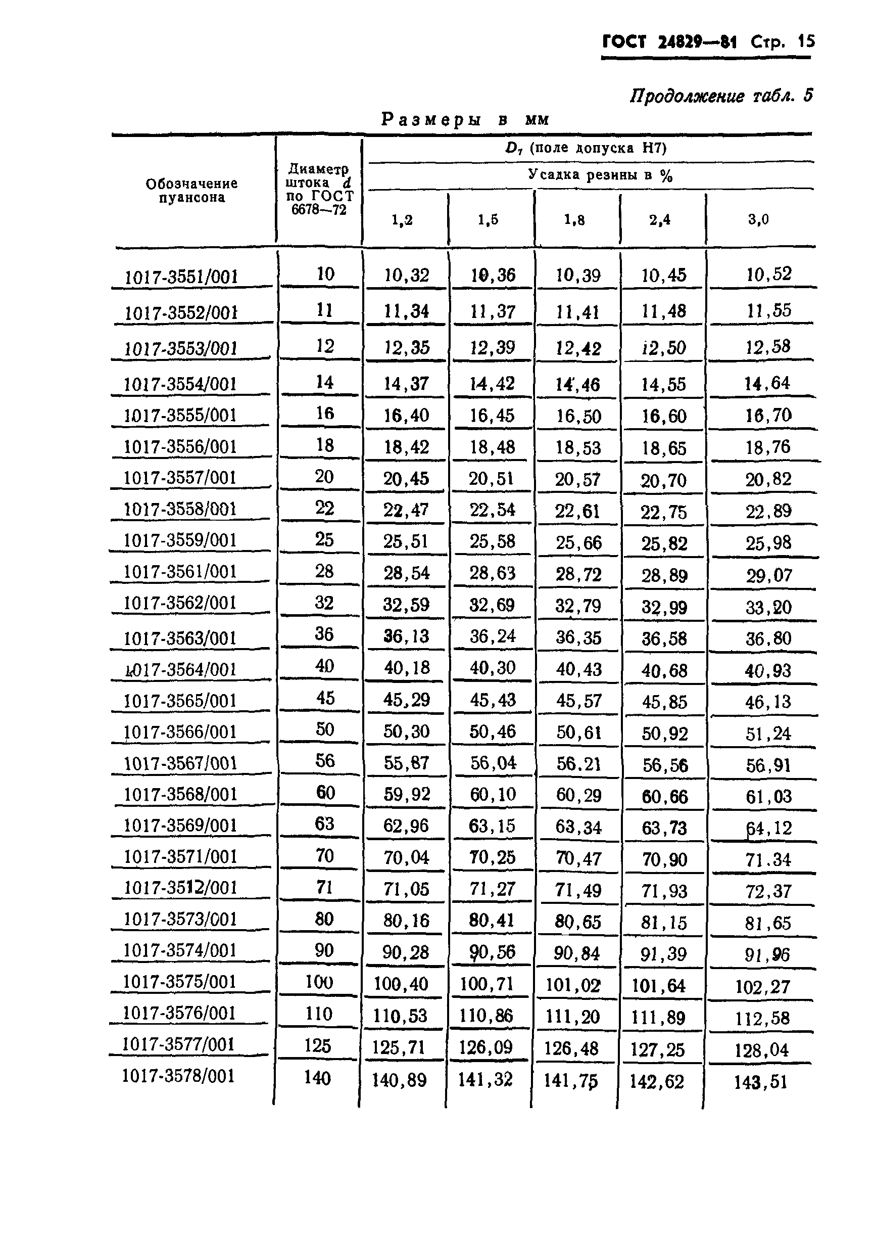
Область применения:Стандарт распространяется на пакеты с исполнительными размерами формообразующих полостей, рассчитанных с учетом усади резины 1,2, 1,5, 1,8, 2,4 3,0 %, устанавливаемые в блоки трехкассетных пресс-форм по ГОСТ 24318—80 для изготовления резиновых манжет типов 1 и 2 по ГОСТ 6678—72 с внутренним диаметром не менее 9,5 мм и наружным диаметром не более 159 мм.
Оглавление:Приложение 1 (справочное) Примеры крепления пакетов в блоках трехкассетных пресс-форм
Приложение 2 (спраочное) Расчет исполнительных размеров формообразующих полостей пакетов трехкассетных пресс-форм для изготовления резиновых манжет по ГОСТ 6678-72
Разработан: Министерство нефтеперерабатывающей и нефтехимической промышленности СССР
Утверждён:09.06.1981 Государственный комитет СССР по стандартам (USSR National Committee on Standards 2882)
Издан: Издательство стандартов (1981 г. )
Расположен в:Техническая документация Электроэнергия РЕЗИНОВАЯ, РЕЗИНОТЕХНИЧЕСКАЯ, АСБЕСТОТЕХНИЧЕСКАЯ И ПЛАСТМАССОВАЯ ПРОМЫШЛЕННОСТЬ Оборудование для производства резины и пластмасс Экология РЕЗИНОВАЯ, РЕЗИНОТЕХНИЧЕСКАЯ, АСБЕСТОТЕХНИЧЕСКАЯ И ПЛАСТМАССОВАЯ ПРОМЫШЛЕННОСТЬ Оборудование для производства резины и пластмасс
Нормативные ссылки:
ГОСТ 24829-81ГОСТ 24829-81ГОСТ 24829-81ГОСТ 24829-81ГОСТ 24829-81ГОСТ 24829-81ГОСТ 24829-81ГОСТ 24829-81ГОСТ 24829-81ГОСТ 24829-81ГОСТ 24829-81ГОСТ 24829-81ГОСТ 24829-81ГОСТ 24829-81ГОСТ 24829-81ГОСТ 24829-81ГОСТ 24829-81ГОСТ 24829-81ГОСТ 24829-81ГОСТ 24829-81ГОСТ 24829-81ГОСТ 24829-81ГОСТ 24829-81ГОСТ 24829-81ГОСТ 24829-81ГОСТ 24829-81ГОСТ 24829-81ГОСТ 24829-81ГОСТ 24829-81ГОСТ 24829-81ГОСТ 24829-81ГОСТ 24829-81ГОСТ 24829-81ГОСТ 24829-81ГОСТ 24829-81ГОСТ 24829-81ГОСТ 24829-81ГОСТ 24829-81ГОСТ 24829-81ГОСТ 24829-81ГОСТ 24829-81ГОСТ 24829-81ГОСТ 24829-81ГОСТ 24829-81ГОСТ 24829-81ГОСТ 24829-81

© 2013 Ёшкин Кот :-) Карта сайта