Информационная система
«Ёшкин Кот»

Скачать базу одним архивом
Скачать обновления
История создания базы
Карта сайта

Скачать ГОСТ 23544-84 Жгуты проводов для автотракторного электрооборудования. Общие технические условия

Дата актуализации: 10.08.2017

ГОСТ 23544-84

Жгуты проводов для автотракторного электрооборудования. Общие технические условия

Обозначение: ГОСТ 23544-84
Обозначение англ: GOST 23544-84
Статус:взамен
Название рус.:Жгуты проводов для автотракторного электрооборудования. Общие технические условия
Название англ.:Ropes of wires for autotractors electrical equipment. General specifications
Дата добавления в базу:01.09.2013
Дата актуализации:05.05.2017
Дата введения:01.01.1987
Область применения:Стандарт распространяется на жгуты проводов, предназначенные для соединения электрических схем изделий автотракторного электрооборудования.
Оглавление:1 Размеры
2 Технические требования
3 Правила приемки
4 Методы испытаний
5 Упаковка, маркировка, транспортирование и хранение
6 Гарантии изготовителя
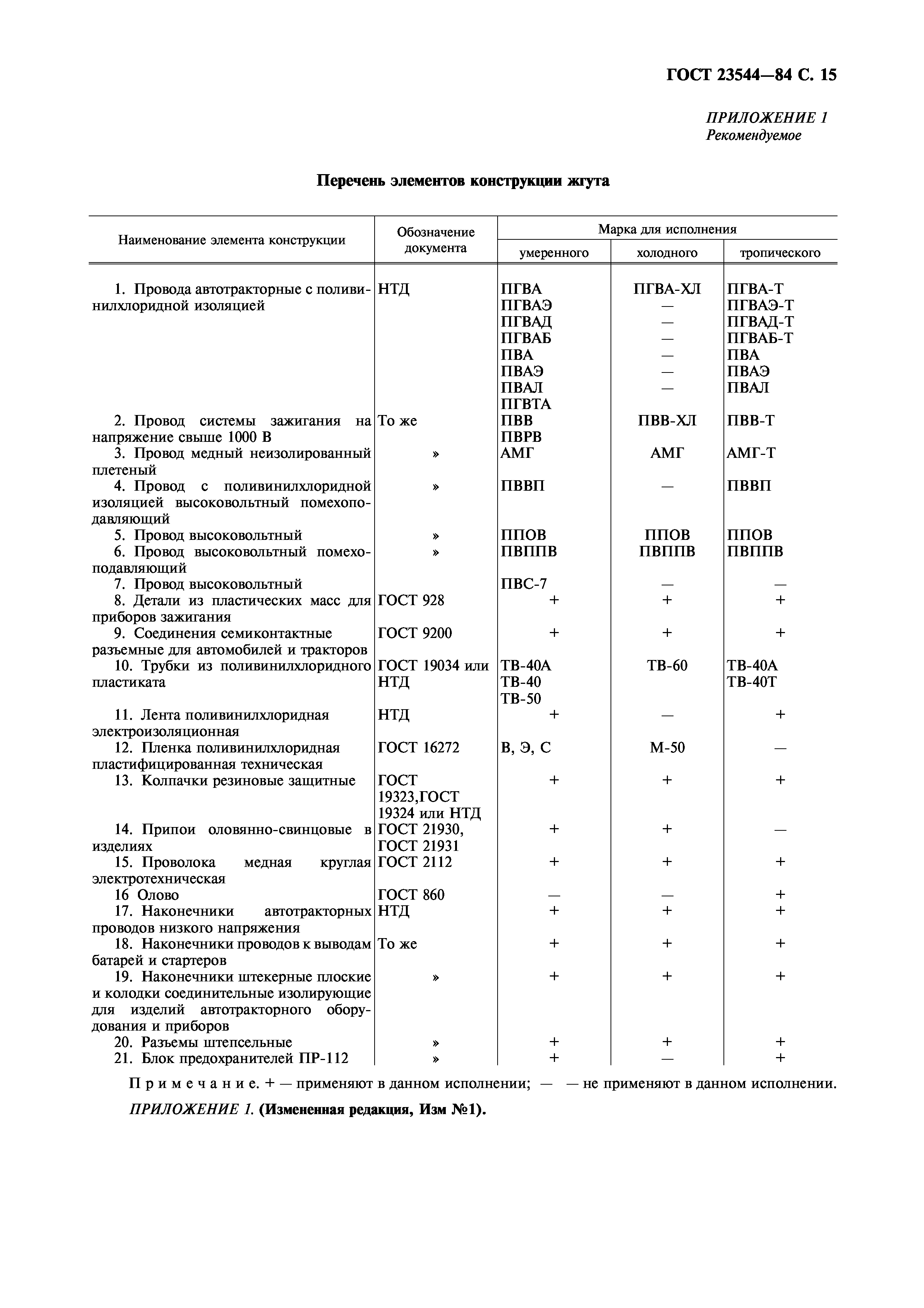
Приложение 1 Перечень элементов конструкции жгута
Приложение 2 Перечень машин, на которых устанавливают жгуты
Приложение 3 Термины, применяемые в стандарте, и их пояснения
Разработан: Министерство электротехнической промышленности
Утверждён:30.11.1984 Государственный комитет СССР по стандартам (USSR National Committee on Standards 4075)
Издан: ИПК Издательство стандартов (2002 г. )
Расположен в:Техническая документация Электроэнергия ЭЛЕКТРОТЕХНИКА Электрические провода и кабели Провода Экология ЭЛЕКТРОТЕХНИКА Электрические провода и кабели Провода
Список изменений:
Заменяет собой:
  • ГОСТ 23544-79 «Жгуты проводов для автотракторного оборудования. Технические условия»
Нормативные ссылки:
ГОСТ 23544-84ГОСТ 23544-84ГОСТ 23544-84ГОСТ 23544-84ГОСТ 23544-84ГОСТ 23544-84ГОСТ 23544-84ГОСТ 23544-84ГОСТ 23544-84ГОСТ 23544-84ГОСТ 23544-84ГОСТ 23544-84ГОСТ 23544-84ГОСТ 23544-84ГОСТ 23544-84ГОСТ 23544-84ГОСТ 23544-84ГОСТ 23544-84ГОСТ 23544-84

Текстовое изменение № 1 от 01.10.1988

№ 1№ 1

© 2013 Ёшкин Кот :-) Карта сайта