Информационная система
«Ёшкин Кот»

Скачать базу одним архивом
Скачать обновления
История создания базы
Карта сайта

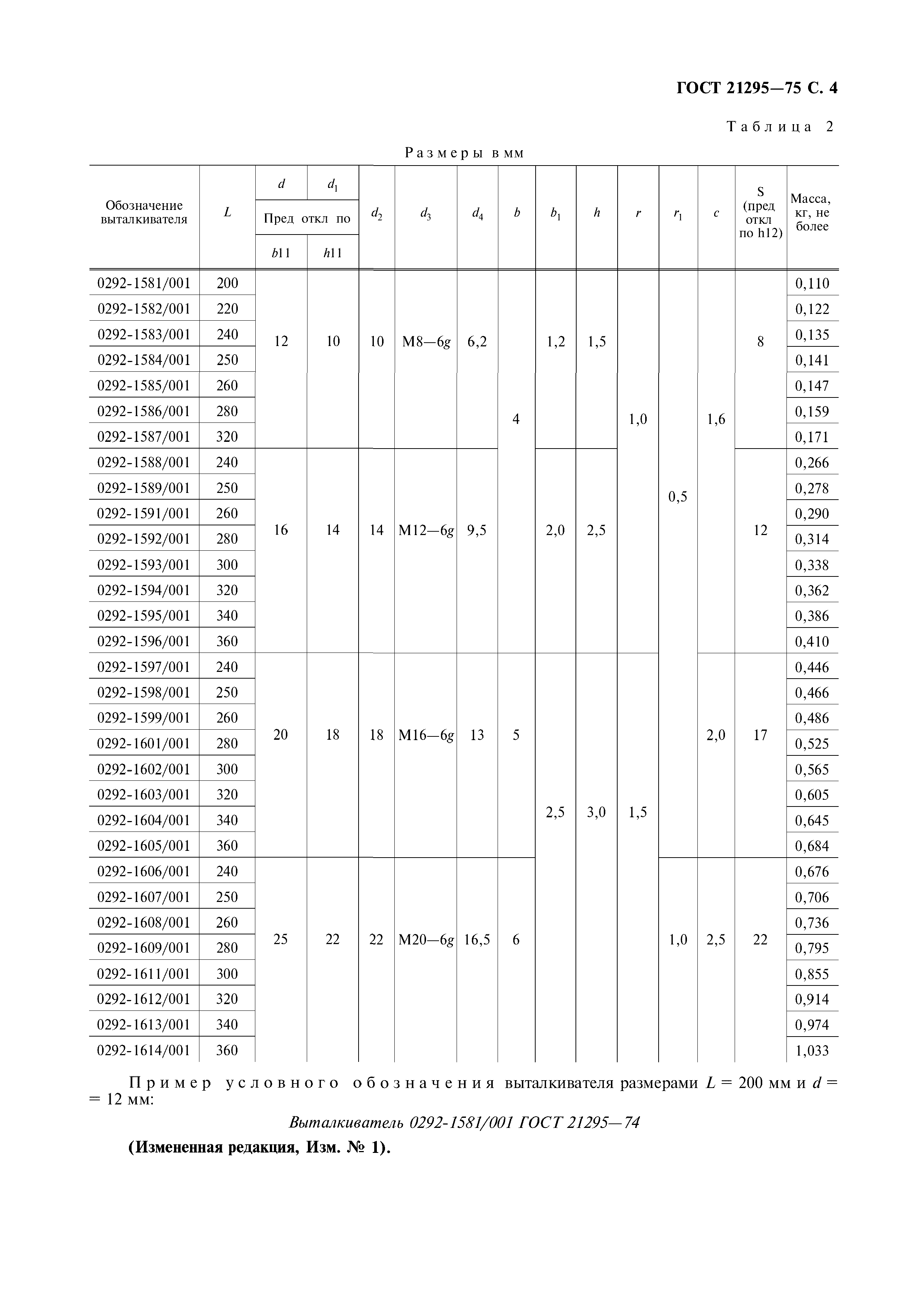
Скачать ГОСТ 21295-75 Выталкиватели регулируемые для нагреваемых стержневых ящиков. Конструкция и размеры

Дата актуализации: 10.08.2017

ГОСТ 21295-75

Выталкиватели регулируемые для нагреваемых стержневых ящиков. Конструкция и размеры

Обозначение: ГОСТ 21295-75
Обозначение англ: GOST 21295-75
Статус:действует
Название рус.:Выталкиватели регулируемые для нагреваемых стержневых ящиков. Конструкция и размеры
Название англ.:Regulable ejectors for heated core boxes. Design and dimensions
Дата добавления в базу:01.09.2013
Дата актуализации:05.05.2017
Дата введения:01.01.1977
Оглавление:1 Конструкция и размеры регулируемых выталкивателей
2 Конструкция и размеры выталкивателей (поз. 1)
3 Конструкция и размеры втулок (поз. 2)
Приложение Пример установки регулируемых выталкивателей
Утверждён:28.11.1975 Госстандарт СССР (USSR Gosstandart 3726)
Расположен в:Техническая документация Электроэнергия МАШИНОСТРОЕНИЕ Оборудование для бесстружечной обработки Оборудование для литья Экология МАШИНОСТРОЕНИЕ Оборудование для бесстружечной обработки Оборудование для литья
ГОСТ 21295-75ГОСТ 21295-75ГОСТ 21295-75ГОСТ 21295-75ГОСТ 21295-75ГОСТ 21295-75ГОСТ 21295-75ГОСТ 21295-75

© 2013 Ёшкин Кот :-) Карта сайта