Информационная система
«Ёшкин Кот»

Скачать базу одним архивом
Скачать обновления
История создания базы
Карта сайта

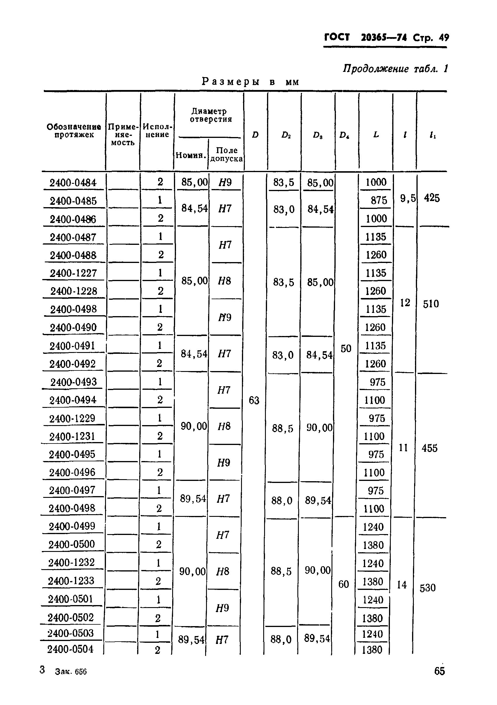
Скачать ГОСТ 20365-74 Протяжки круглые переменного резания диаметром от 14 до 90 мм. Конструкция и размеры

Дата актуализации: 10.08.2017

ГОСТ 20365-74

Протяжки круглые переменного резания диаметром от 14 до 90 мм. Конструкция и размеры

Обозначение: ГОСТ 20365-74
Обозначение англ: GOST 20365-74
Статус:взамен
Название рус.:Протяжки круглые переменного резания диаметром от 14 до 90 мм. Конструкция и размеры
Название англ.:Broaches round of variable cutting of diameters from 14 to 90 mm. Design and dimensions
Дата добавления в базу:01.09.2013
Дата актуализации:05.05.2017
Дата введения:01.01.1976
Область применения:Стандарт распространяется на протяжки универсального назначения переменного резания, равной стойкости черновой и чистовой частей, предназначенных для обработки цилиндрических отверстий диаметром от 14 до 90 мм.
Оглавление:Приложение 1 Группы заточки и форма передней грани зубьев протяжек
Приложение 2 (рекомендуемое) Форма и размеры профиля зубьев протяжек
Приложение 3 (справочное) Группы обрабатываемости протягиваемых материалов
Приложение 4 (справочное)
Приложение 5 (справочное) Типовое оформление чертежа протяжки
Утверждён:17.12.1974 Госстандарт СССР (USSR Gosstandart 2739)
Расположен в:Техническая документация Электроэнергия МАШИНОСТРОЕНИЕ Режущие инструменты Режущие инструменты для строгальных и протяжных станков Экология МАШИНОСТРОЕНИЕ Режущие инструменты Режущие инструменты для строгальных и протяжных станков
Список изменений:
Заменяет собой:
  • МН 4172-62 (Сведения из перечня "Указатель государственных стандартов СССР 1980 г.", Издательство стандартов 1980)
ГОСТ 20365-74ГОСТ 20365-74ГОСТ 20365-74ГОСТ 20365-74ГОСТ 20365-74ГОСТ 20365-74ГОСТ 20365-74ГОСТ 20365-74ГОСТ 20365-74ГОСТ 20365-74ГОСТ 20365-74ГОСТ 20365-74ГОСТ 20365-74ГОСТ 20365-74ГОСТ 20365-74ГОСТ 20365-74ГОСТ 20365-74ГОСТ 20365-74ГОСТ 20365-74ГОСТ 20365-74ГОСТ 20365-74ГОСТ 20365-74ГОСТ 20365-74ГОСТ 20365-74ГОСТ 20365-74ГОСТ 20365-74ГОСТ 20365-74ГОСТ 20365-74ГОСТ 20365-74ГОСТ 20365-74ГОСТ 20365-74ГОСТ 20365-74ГОСТ 20365-74ГОСТ 20365-74ГОСТ 20365-74ГОСТ 20365-74ГОСТ 20365-74ГОСТ 20365-74ГОСТ 20365-74ГОСТ 20365-74ГОСТ 20365-74ГОСТ 20365-74ГОСТ 20365-74ГОСТ 20365-74ГОСТ 20365-74ГОСТ 20365-74ГОСТ 20365-74ГОСТ 20365-74ГОСТ 20365-74ГОСТ 20365-74ГОСТ 20365-74ГОСТ 20365-74ГОСТ 20365-74ГОСТ 20365-74ГОСТ 20365-74ГОСТ 20365-74ГОСТ 20365-74ГОСТ 20365-74ГОСТ 20365-74ГОСТ 20365-74ГОСТ 20365-74ГОСТ 20365-74ГОСТ 20365-74ГОСТ 20365-74ГОСТ 20365-74ГОСТ 20365-74ГОСТ 20365-74ГОСТ 20365-74ГОСТ 20365-74ГОСТ 20365-74ГОСТ 20365-74ГОСТ 20365-74ГОСТ 20365-74ГОСТ 20365-74ГОСТ 20365-74ГОСТ 20365-74ГОСТ 20365-74ГОСТ 20365-74ГОСТ 20365-74ГОСТ 20365-74ГОСТ 20365-74ГОСТ 20365-74ГОСТ 20365-74ГОСТ 20365-74ГОСТ 20365-74ГОСТ 20365-74ГОСТ 20365-74ГОСТ 20365-74ГОСТ 20365-74ГОСТ 20365-74ГОСТ 20365-74ГОСТ 20365-74ГОСТ 20365-74ГОСТ 20365-74ГОСТ 20365-74ГОСТ 20365-74ГОСТ 20365-74ГОСТ 20365-74ГОСТ 20365-74ГОСТ 20365-74ГОСТ 20365-74ГОСТ 20365-74ГОСТ 20365-74ГОСТ 20365-74ГОСТ 20365-74ГОСТ 20365-74ГОСТ 20365-74ГОСТ 20365-74ГОСТ 20365-74ГОСТ 20365-74ГОСТ 20365-74ГОСТ 20365-74ГОСТ 20365-74ГОСТ 20365-74ГОСТ 20365-74ГОСТ 20365-74ГОСТ 20365-74ГОСТ 20365-74ГОСТ 20365-74ГОСТ 20365-74ГОСТ 20365-74ГОСТ 20365-74ГОСТ 20365-74ГОСТ 20365-74ГОСТ 20365-74ГОСТ 20365-74ГОСТ 20365-74ГОСТ 20365-74ГОСТ 20365-74ГОСТ 20365-74ГОСТ 20365-74ГОСТ 20365-74ГОСТ 20365-74ГОСТ 20365-74ГОСТ 20365-74ГОСТ 20365-74ГОСТ 20365-74ГОСТ 20365-74ГОСТ 20365-74ГОСТ 20365-74ГОСТ 20365-74ГОСТ 20365-74ГОСТ 20365-74ГОСТ 20365-74ГОСТ 20365-74ГОСТ 20365-74ГОСТ 20365-74ГОСТ 20365-74ГОСТ 20365-74ГОСТ 20365-74

Текстовое изменение № 4 от 01.02.1988

№ 4№ 4

© 2013 Ёшкин Кот :-) Карта сайта