Информационная система
«Ёшкин Кот»

Скачать базу одним архивом
Скачать обновления
История создания базы
Карта сайта

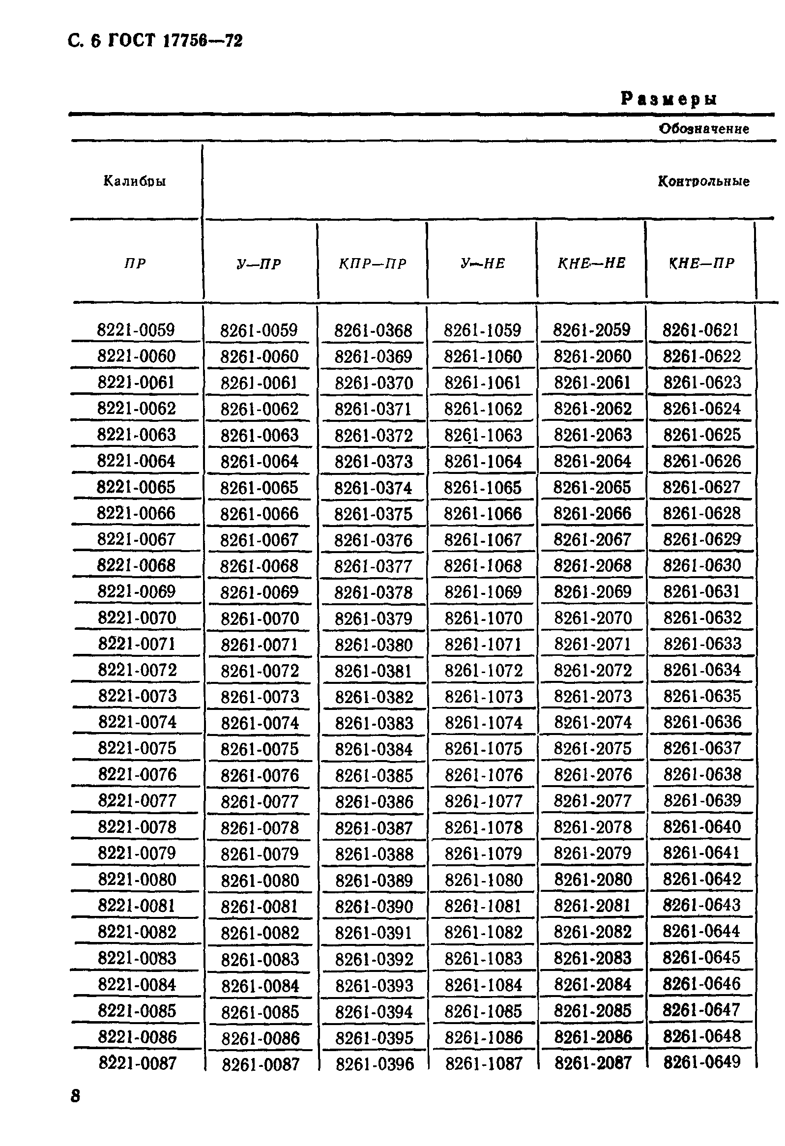
Скачать ГОСТ 17756-72 Пробки резьбовые со вставками с полным профилем резьбы диаметром от 1 до 100 мм. Конструкция и основные размеры

Дата актуализации: 10.08.2017

ГОСТ 17756-72

Пробки резьбовые со вставками с полным профилем резьбы диаметром от 1 до 100 мм. Конструкция и основные размеры

Обозначение: ГОСТ 17756-72
Обозначение англ: GOST 17756-72
Статус:действует
Название рус.:Пробки резьбовые со вставками с полным профилем резьбы диаметром от 1 до 100 мм. Конструкция и основные размеры
Название англ.:Thread plug-gauges with inserts with full-form of thread of diameters from 1 to 100 mm. Construktion and basic dimensions
Дата добавления в базу:01.09.2013
Дата актуализации:05.05.2017
Дата введения:01.07.1973
Утверждён:30.05.1972 Госстандарт СССР (USSR Gosstandart 1101)
Расположен в:Техническая документация Электроэнергия МЕТРОЛОГИЯ И ИЗМЕРЕНИЯ. ФИЗИЧЕСКИЕ ЯВЛЕНИЯ Линейные и угловые измерения Измерительные приборы Экология МЕТРОЛОГИЯ И ИЗМЕРЕНИЯ. ФИЗИЧЕСКИЕ ЯВЛЕНИЯ Линейные и угловые измерения Измерительные приборы
Заменяет собой:
  • МН 564-62 (Сведения из перечня "Указатель государственных стандартов СССР 1980 г.", Издательство стандартов 1980)
ГОСТ 17756-72ГОСТ 17756-72ГОСТ 17756-72ГОСТ 17756-72ГОСТ 17756-72ГОСТ 17756-72ГОСТ 17756-72ГОСТ 17756-72ГОСТ 17756-72ГОСТ 17756-72ГОСТ 17756-72ГОСТ 17756-72ГОСТ 17756-72ГОСТ 17756-72ГОСТ 17756-72ГОСТ 17756-72ГОСТ 17756-72ГОСТ 17756-72ГОСТ 17756-72ГОСТ 17756-72ГОСТ 17756-72ГОСТ 17756-72ГОСТ 17756-72ГОСТ 17756-72ГОСТ 17756-72ГОСТ 17756-72ГОСТ 17756-72ГОСТ 17756-72ГОСТ 17756-72ГОСТ 17756-72ГОСТ 17756-72ГОСТ 17756-72ГОСТ 17756-72ГОСТ 17756-72ГОСТ 17756-72ГОСТ 17756-72ГОСТ 17756-72ГОСТ 17756-72ГОСТ 17756-72ГОСТ 17756-72ГОСТ 17756-72

© 2013 Ёшкин Кот :-) Карта сайта