| ||||||||||||||||||||||||||||||||||||
Скачать ГОСТ 17228-87 Самолеты пассажирские и транспортные. Допустимые уровни шума, создаваемого на местностиДата актуализации: 10.08.2017
|
| Обозначение: | ГОСТ 17228-87 |
| Обозначение англ: | GOST 17228-87 |
| Статус: | частично действует |
| Название рус.: | Самолеты пассажирские и транспортные. Допустимые уровни шума, создаваемого на местности |
| Название англ.: | Airocraft, passanger and transport. Acceptable noise levels on ground |
| Дата добавления в базу: | 01.09.2013 |
| Дата актуализации: | 05.05.2017 |
| Дата введения: | 01.03.2016 |
| Область применения: | Стандарт устанавливает максимально допустимые уровни шума, создаваемого дозвуковыми пассажирскими и транспортными самолетами с турбореактивными или турбореактивными двухконтурными двигателями всех массовых категорий, с длиной взлетно-посадочной полосы более 610 м, а также самолетами с поршневыми, турбовинтовыми и турбовинтовентиляторными двигателями со взлетной массой более 9000 кг, на местности в контрольных точках при исходных условиях, установленных ГОСТ 17229-85. Стандарт не устанавливает допустимые уровни шума в качестве норм шума для ограничения жилой застройки в окрестностях аэропортов и аэродромов. |
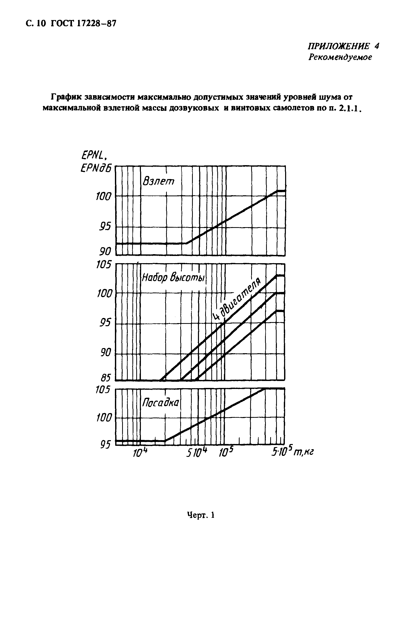
| Оглавление: | 1 Единицы измерения шума и расположение контрольных точек на местности 2 Допустимые уровни шума 3 Допускаемые отклонения и форма представления результатов испытаний Приложение 1 (обязательное) Максимально допустимые значения уровней шума для дозвуковых реактивных и винтовых самолетов, включая их модифицированные варианты, по п. 2.1.1 настоящего стандарта Приложение 2 (обязательное) Максимально допустимые значения уровней шума для дозвуковых реактивных и винтовых самолетов. По пп. 2.1.2 и 2.1.3 настоящего стандарта Приложение 3 (обязательное) Максимально допустимые значения уровней шума для модифицированных вариантов дозвуковых реактивных и винтовых самолетов, по п. 2.1.4 настоящего стандарта Приложение 4 (рекомендуемое) График зависимости максимально допустимых значений уровней шума от максимальной взлетной массы дозвуковых и винтовых самолетов по п. 2.1.1 Приложение 5 (рекомендуемое) График зависимости максимально допустимых значений уровней шума от максимальной взлетной массы для дозвуковых реактивных и винтовых самолетов, включая их модифицированные варианты по пп. 2.1.2 и 2.1.3 настоящего стандарта Приложение 6 (рекомендуемое) График зависимости максимально допустимых значений уровней шума от максимальной взлетной массы для модифицированных вариантов дозвуковых реактивных и винтовых самолетов по п. 2.1.4 настоящего стандарта Приложение 7 (обязательное) Сертификат по шуму на местности Приложение 8 (обязательное) Представление на получение сертификата по шуму на местности Приложение 9 (обязательное) Удостоверение о годности гражданского воздушного судна по шуму на местности Приложение 10 (обязательное) Типовая форма представления информации о конструктивных, летно-технических и акустических характеристиках самолетов с реактивными двигателями Приложение 11 (обязательное) Типовая форма представления информации о конструктивных летно-технических и акустических характеристик винтовых самолетов тяжелой весовой категории |
| Утверждён: | 19.08.1987 Государственный комитет СССР по стандартам (USSR National Committee on Standards 3331) |
| Издан: | Издательство стандартов (1987 г. ) |
| Расположен в: | |
| Заменяет собой: |
|
| Чем заменён: | |
| Нормативные ссылки: |
|


















