Информационная система
«Ёшкин Кот»

Скачать базу одним архивом
Скачать обновления
История создания базы
Карта сайта

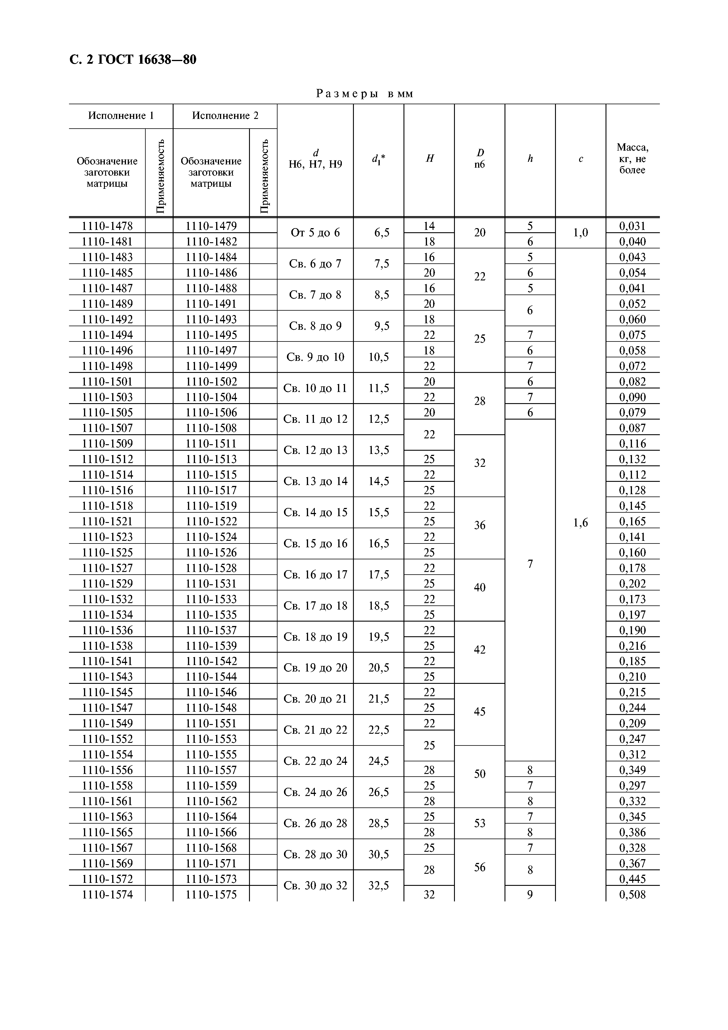
Скачать ГОСТ 16638-80 Матрицы с круглым отверстием усиленные. Конструкция и размеры

Дата актуализации: 10.08.2017

ГОСТ 16638-80

Матрицы с круглым отверстием усиленные. Конструкция и размеры

Обозначение: ГОСТ 16638-80
Обозначение англ: GOST 16638-80
Статус:действует
Название рус.:Матрицы с круглым отверстием усиленные. Конструкция и размеры
Название англ.:Female dies increased with round hole. Design and dimensions
Дата добавления в базу:01.09.2013
Дата актуализации:05.05.2017
Дата введения:01.01.1981
Утверждён:04.03.1980 Госстандарт СССР (USSR Gosstandart 1009)
Издан: Издательство стандартов (1980 г. )
Стандартинформ (2006 г. )
Расположен в:Техническая документация Электроэнергия МАШИНОСТРОЕНИЕ Оборудование для бесстружечной обработки Ковочное оборудование. Прессы. Ножницы Экология МАШИНОСТРОЕНИЕ Оборудование для бесстружечной обработки Ковочное оборудование. Прессы. Ножницы
ГОСТ 16638-80ГОСТ 16638-80ГОСТ 16638-80ГОСТ 16638-80ГОСТ 16638-80ГОСТ 16638-80

© 2013 Ёшкин Кот :-) Карта сайта