Информационная система
«Ёшкин Кот»

Скачать базу одним архивом
Скачать обновления
История создания базы
Карта сайта

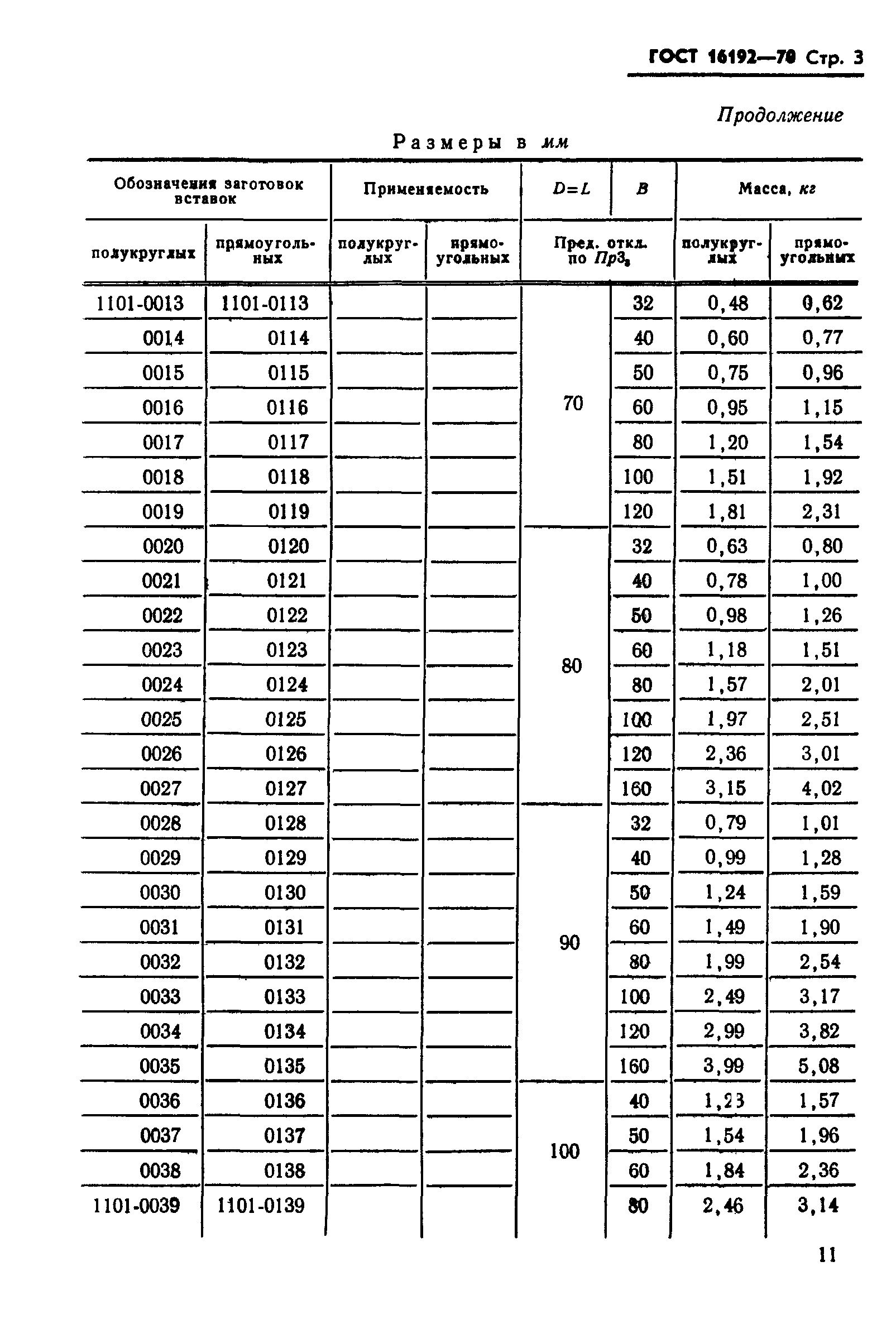
Скачать ГОСТ 16192-70 Заготовки вставок матриц штампов горизонтально-ковочных машин. Конструкция и размеры

Дата актуализации: 10.08.2017

ГОСТ 16192-70

Заготовки вставок матриц штампов горизонтально-ковочных машин. Конструкция и размеры

Обозначение: ГОСТ 16192-70
Обозначение англ: GOST 16192-70
Статус:действует
Название рус.:Заготовки вставок матриц штампов горизонтально-ковочных машин. Конструкция и размеры
Название англ.:Blanks of female dies inserts of horizontal forging machines. Construction and dimensions
Дата добавления в базу:01.09.2013
Дата актуализации:05.05.2017
Дата введения:01.01.1971
Утверждён:15.07.1970 Госстандарт СССР (USSR Gosstandart 1093)
Расположен в:Техническая документация Электроэнергия МАШИНОСТРОЕНИЕ Оборудование для бесстружечной обработки Ковочное оборудование. Прессы. Ножницы Экология МАШИНОСТРОЕНИЕ Оборудование для бесстружечной обработки Ковочное оборудование. Прессы. Ножницы
Заменяет собой:
  • МН 1278-60 (Сведения из перечня "Указатель государственных стандартов СССР 1971 г.", Издательство стандартов 1971)
ГОСТ 16192-70ГОСТ 16192-70ГОСТ 16192-70ГОСТ 16192-70ГОСТ 16192-70ГОСТ 16192-70

© 2013 Ёшкин Кот :-) Карта сайта