Информационная система
«Ёшкин Кот»

Скачать базу одним архивом
Скачать обновления
История создания базы
Карта сайта

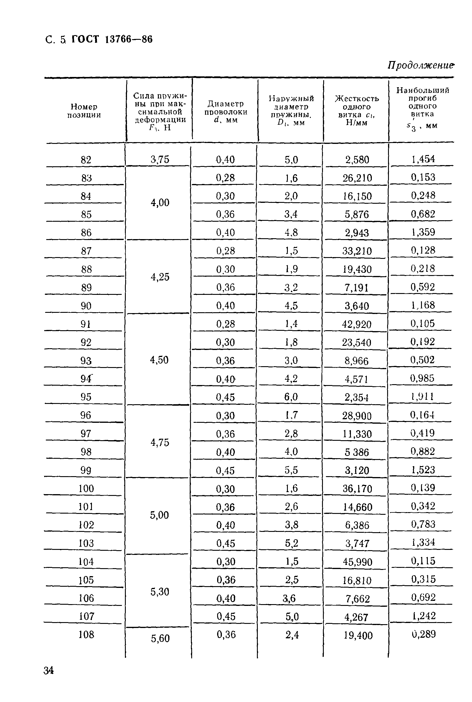
Скачать ГОСТ 13766-86 Пружины винтовые цилиндрические сжатия и растяжения I класса, разряда 1 из стали круглого сечения. Основные параметры витков

Дата актуализации: 10.08.2017

ГОСТ 13766-86

Пружины винтовые цилиндрические сжатия и растяжения I класса, разряда 1 из стали круглого сечения. Основные параметры витков

Обозначение: ГОСТ 13766-86
Обозначение англ: GOST 13766-86
Статус:действует
Название рус.:Пружины винтовые цилиндрические сжатия и растяжения I класса, разряда 1 из стали круглого сечения. Основные параметры витков
Название англ.:Cylindrical helical compression (tension) springs of I class and of 1 category made of round steel. Main parameters of coils
Дата добавления в базу:01.09.2013
Дата актуализации:05.05.2017
Дата введения:01.07.1988
Область применения:Стандарт распространяется на пружины сжатия и растяжения 1 класса, разряда 1 с силами при максимальной деформации пружин от 1,00 до 850 Н.
Утверждён:19.12.1986 Госстандарт СССР (USSR Gosstandart 4009)
Расположен в:Техническая документация Электроэнергия МЕХАНИЧЕСКИЕ СИСТЕМЫ И УСТРОЙСТВА ОБЩЕГО НАЗНАЧЕНИЯ Пружины Экология МЕХАНИЧЕСКИЕ СИСТЕМЫ И УСТРОЙСТВА ОБЩЕГО НАЗНАЧЕНИЯ Пружины
Заменяет собой:
  • ГОСТ 13766-68 «Пружины винтовые цилиндрические сжатия и растяжения I класса, разряда 1 из стали круглого сечения. Основные параметры витков»
Нормативные ссылки:
ГОСТ 13766-86ГОСТ 13766-86ГОСТ 13766-86ГОСТ 13766-86ГОСТ 13766-86ГОСТ 13766-86ГОСТ 13766-86ГОСТ 13766-86ГОСТ 13766-86ГОСТ 13766-86ГОСТ 13766-86ГОСТ 13766-86ГОСТ 13766-86ГОСТ 13766-86ГОСТ 13766-86ГОСТ 13766-86ГОСТ 13766-86ГОСТ 13766-86ГОСТ 13766-86ГОСТ 13766-86ГОСТ 13766-86

© 2013 Ёшкин Кот :-) Карта сайта