Информационная система
«Ёшкин Кот»

Скачать базу одним архивом
Скачать обновления
История создания базы
Карта сайта

Скачать ГОСТ 13014-80 Втулки стяжные подшипников качения. Основные размеры

Дата актуализации: 10.08.2017

ГОСТ 13014-80

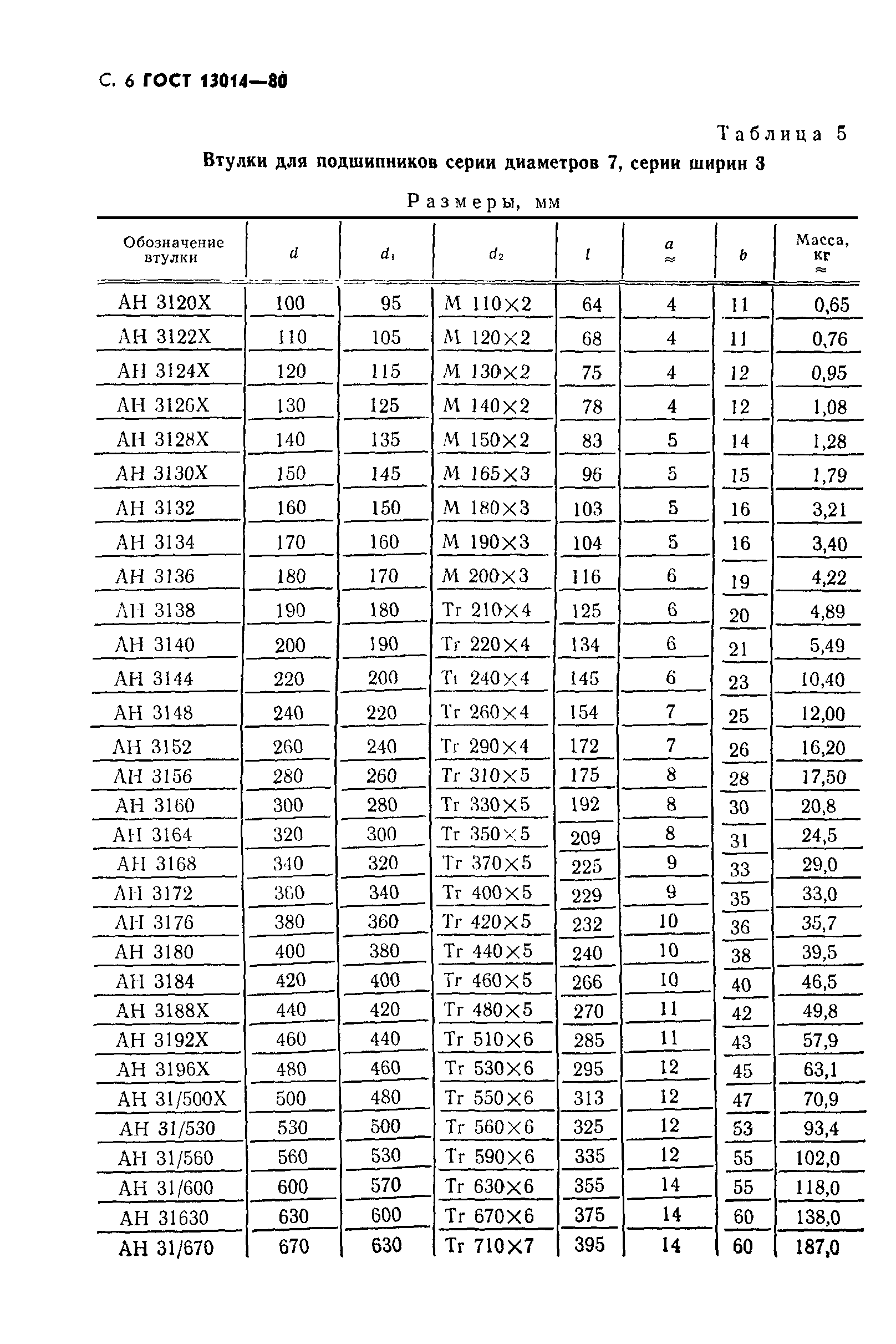
Втулки стяжные подшипников качения. Основные размеры

Обозначение: ГОСТ 13014-80
Обозначение англ: GOST 13014-80
Статус:действует
Название рус.:Втулки стяжные подшипников качения. Основные размеры
Название англ.:Withdrawal sleeves of rolling bearings. Basic dimensions
Дата добавления в базу:01.09.2013
Дата актуализации:05.05.2017
Дата введения:01.01.1981
Область применения:Стандарт распространяется на сяжные втулки, предназначенные для крепления подшипников качения с коническим отверстием конусностью 1 : 12 на цилиндрических шейках валов, и устанавливает их основные размеры.
Утверждён:24.04.1980 Госстандарт СССР (USSR Gosstandart 1860)
Издан: Издательство стандартов (1987 г. )
Расположен в:Техническая документация Электроэнергия МЕХАНИЧЕСКИЕ СИСТЕМЫ И УСТРОЙСТВА ОБЩЕГО НАЗНАЧЕНИЯ Подшипники Подшипники качения Экология МЕХАНИЧЕСКИЕ СИСТЕМЫ И УСТРОЙСТВА ОБЩЕГО НАЗНАЧЕНИЯ Подшипники Подшипники качения
Заменяет собой:
  • ГОСТ 13014-67 «Втулки стяжные подшипников качения. Основные размеры»
Нормативные ссылки:
ГОСТ 13014-80ГОСТ 13014-80ГОСТ 13014-80ГОСТ 13014-80ГОСТ 13014-80ГОСТ 13014-80ГОСТ 13014-80ГОСТ 13014-80ГОСТ 13014-80ГОСТ 13014-80ГОСТ 13014-80

© 2013 Ёшкин Кот :-) Карта сайта