| ||||||||||||||||||||||||||||||||||||||
Скачать ГОСТ Р МЭК 60064-99 Лампы накаливания вольфрамовые для бытового и аналогичного общего освещения. Эксплуатационные требованияДата актуализации: 10.08.2017
|
| Обозначение: | ГОСТ Р МЭК 60064-99 |
| Обозначение англ: | GOST R IEC 60064-99 |
| Статус: | не действует |
| Название рус.: | Лампы накаливания вольфрамовые для бытового и аналогичного общего освещения. Эксплуатационные требования |
| Название англ.: | Tungsten filament lamps for domestic and similar general lighting purposes. Performance requirements |
| Дата добавления в базу: | 01.09.2013 |
| Дата актуализации: | 05.05.2017 |
| Дата введения: | 01.01.2001 |
| Дата окончания срока действия: | 01.01.2008 |
| Область применения: | Стандарт распространяется на вольфрамовые лампы накаливания для общего освещения, удовлетворяющие требованиям безопасности по МЭК 60432-1 и имеющие: - расчетную мощность от 25 до 200 Вт включ.; - расчетное напряжение от 100 до 250 В включ.; если маркируется диапазон напряжения, то предельные значения диапазона не должны отличаться от среднего значения более чем на ±2,5 %*; - колбы формы А или PS; - колбы прозрачные, матированные или с эквивалентным покрытием, или с белым покрытием; - цоколи B22d, E26 или Е27. |
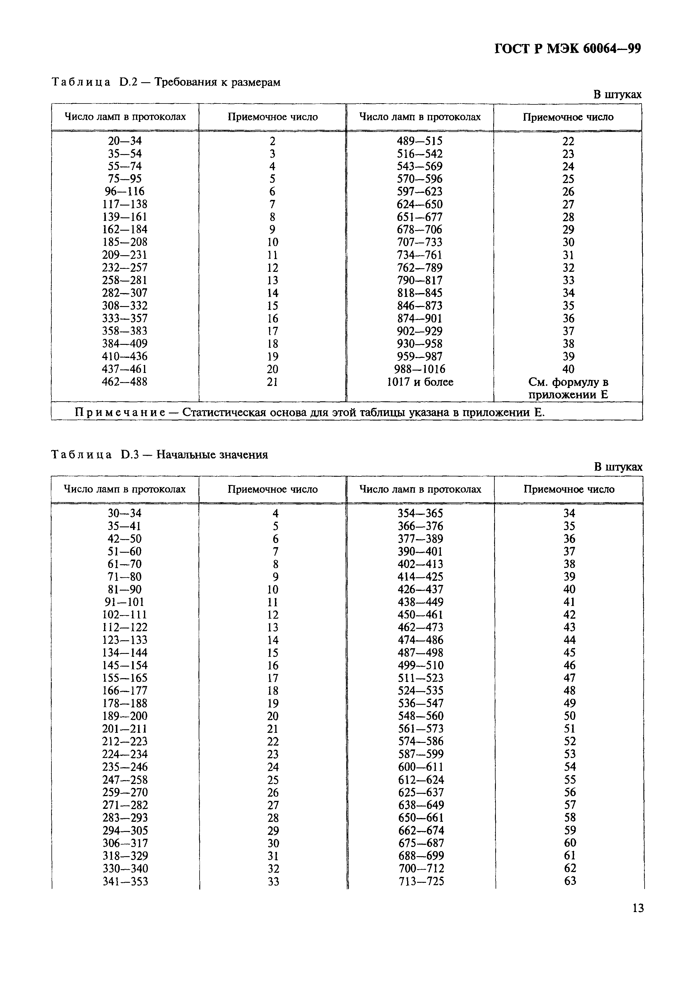
| Оглавление: | 1 Общие положения 1.1 Область применения 1.2 Нормативные ссылки 1.3 Общая структура 1.4 Форма колбы 1.5 Определения 2 Параметры и характеристики 3 Общие положения, требования к размерам, электрическим, световым параметрам и продолжительности горения 3.1 Общие положения 3.2 Маркировка 3.3 Размеры 3.4 Параметры и допуски на начальные значения 3.5 Стабильность световог опотока 3.6 Требования к испытанию на продолжительность горения 4 Правила приемки 4.1 Вся продукция изготовителя 4.2 Соответствие отдельных партий 5 Выборка 5.1 Принципы отбора выборки 5.2 Выборка для испытаний всей продукции 5.3 Выборка для испытания партии 6 Принципы нанесения размеров 6.1 Лампы накаливания с колбой формы А или PS и цоколем B22d 6.2 Лампы накаливания с колбой формы А или PS и резьбовым цоколем Эдисона Приложение А Методика испытаний Приложение В Подсчет продолжительности горения и ее ограничение Приложение С Испытания на предварительную оценку ламп для целей сертификации Приложение D Статистические таблицы соответствия Приложение Е Статистические понятия и основа настоящего стандарта Приложение F Характеристики схемы испытательного стенда Приложение G Соответствие стандартов МЭК государственным стандартам 8 Листы с параметрами ламп 8.1 Группирование листов |
| Разработан: | ОАО Лисма-ВНИИИС им. А.Н. Лодыгина |
| Утверждён: | 30.09.1999 Госстандарт России (Russian Federation Gosstandart 317-ст) |
| Издан: | ИПК Издательство стандартов (2000 г. ) |
| Расположен в: | |
| Чем заменён: | |
| Нормативные ссылки: |








































































