Информационная система
«Ёшкин Кот»

Скачать базу одним архивом
Скачать обновления
История создания базы
Карта сайта

Скачать Р 50.1.030-2001 Информационные технологии поддержки жизненного цикла продукции. Интерактивные электронные технические руководства. Требования к логической структуре базы данных

Дата актуализации: 10.08.2017

Р 50.1.030-2001

Информационные технологии поддержки жизненного цикла продукции. Интерактивные электронные технические руководства. Требования к логической структуре базы данных

Обозначение: Р 50.1.030-2001
Обозначение англ: R 50.1.030-2001
Статус:действует
Название рус.:Информационные технологии поддержки жизненного цикла продукции. Интерактивные электронные технические руководства. Требования к логической структуре базы данных
Название англ.:Continuous acquisition and life-cycle support. Interactive electronic technical manuals. Requirements for data base logical structure
Дата добавления в базу:01.09.2013
Дата актуализации:05.05.2017
Дата введения:01.07.2002
Область применения:Рекомендации по стандартизации определяют требования к логической структуре баз данных, используемых для разработки и сопровождения интерактивных электронных технических руководств (ИЭТР) на промышленные изделия, а также баз данных, входящих в состав ИТЭР.
Оглавление:1. Область применения
2. Нормативные ссылки
3. Определения
4. Сокращения
5. Общие положения
   5.1. Интерактивные электронные технические руководства
   5.2. Классификация интерактивных электронных технических руководств
6. Общие принципы организации баз данных ИЭТР
   6.1. Назначение баз данных ИЭТР
   6.2. Методика описания структуры базы данных ИЭТР
7. Общие требования к структуре баз данных ИЭТР
   7.1. Основные понятия
   7.2. Требования к базе данных в части обмена данными
   7.3. Сопровождение данных
   7.4. Переносимость данных
   7.5. Обмен информацией с системой управления данными об изделиями (PDM)
8. Шаблоны
   8.1. Простой шаблон
   8.2. Шаблон последовательности
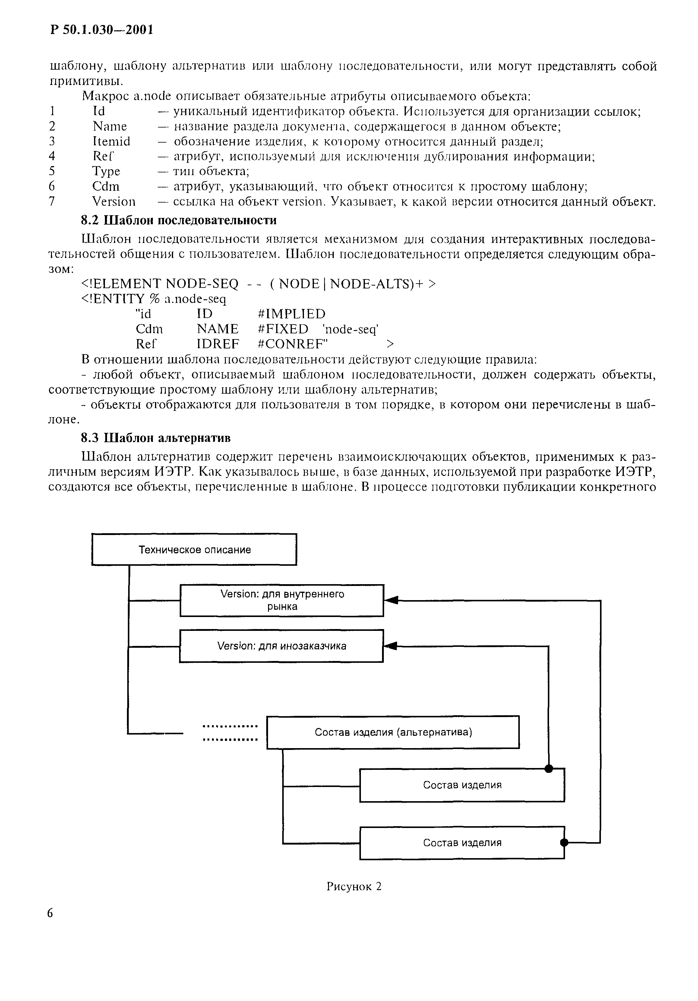
   8.3. Шаблон альтернатив
9. Примитивы общего типа
   9.1. Служебные объекты
   9.2. Визуализируемые объекты
   9.3. Объекты диалога
Приложение А. (Справочное). Краткое описание языка SGML (ИОС 8879)
   А.1. Общие сведения о языках разметки
   А.2. DTD - описание логической структуры документа
   А.3. Размеченный документ SGML
   А.4. Комментарии
Приложение Б. (Справочное). Набор объектов для представления математических формул
Приложение В. (Справочное). DTD общего типа
Приложение Г. (Рекомендуемое). Методика разработки DTD контекстного типа
   Г.1. Представление модели содержания в виде дерева
   Г.2. Пример DTD контекстного типа
Приложение Д. (Справочное). Библиография
Разработан: ВНИИстандарт Госстандарта России
НИЦ CALS Прикладная логистика
Утверждён:02.07.2001 Госстандарт России (Russian Federation Gosstandart 256-ст)
Издан: ИПК Издательство стандартов (2001 г. )
Расположен в:Техническая документация Экология ИНФОРМАЦИОННЫЕ ТЕХНОЛОГИИ. МАШИНЫ КОНТОРСКИЕ Применение информационных технологий Применение информационных технологий в области информации, документации и в издательском деле МАШИНОСТРОЕНИЕ Промышленные автоматизированные системы Измерение и контроль производственного процесса ОХРАНА ОКРУЖАЮЩЕЙ СРЕДЫ, ЗАЩИТА ЧЕЛОВЕКА ОТ ВОЗДЕЙСТВИЯ ОКРУЖАЮЩЕЙ СРЕДЫ. БЕЗОПАСНОСТЬ Охрана окружающей среды Жизненный цикл продукции Строительство Нормативные документы Нормативные документы органов надзора Нормативные документы Комитета Российской Федерации по стандартизации, метрологии и сертификации
Р 50.1.030-2001Р 50.1.030-2001Р 50.1.030-2001Р 50.1.030-2001Р 50.1.030-2001Р 50.1.030-2001Р 50.1.030-2001Р 50.1.030-2001Р 50.1.030-2001Р 50.1.030-2001Р 50.1.030-2001Р 50.1.030-2001Р 50.1.030-2001Р 50.1.030-2001Р 50.1.030-2001Р 50.1.030-2001Р 50.1.030-2001Р 50.1.030-2001Р 50.1.030-2001Р 50.1.030-2001Р 50.1.030-2001Р 50.1.030-2001Р 50.1.030-2001Р 50.1.030-2001Р 50.1.030-2001Р 50.1.030-2001Р 50.1.030-2001Р 50.1.030-2001Р 50.1.030-2001Р 50.1.030-2001Р 50.1.030-2001Р 50.1.030-2001Р 50.1.030-2001Р 50.1.030-2001Р 50.1.030-2001

© 2013 Ёшкин Кот :-) Карта сайта