Информационная система
«Ёшкин Кот»

Скачать базу одним архивом
Скачать обновления
История создания базы
Карта сайта

Скачать ГОСТ 6533-78 Днища эллиптические отбортованные стальные для сосудов, аппаратов и котлов. Основные размеры

Дата актуализации: 10.08.2017

ГОСТ 6533-78

Днища эллиптические отбортованные стальные для сосудов, аппаратов и котлов. Основные размеры

Обозначение: ГОСТ 6533-78
Обозначение англ: GOST 6533-78
Статус:действует
Название рус.:Днища эллиптические отбортованные стальные для сосудов, аппаратов и котлов. Основные размеры
Название англ.:Ellipsoidaldished hedes, flanged made of steel for vessels apparatus and boilers. Basic dimensions
Дата добавления в базу:01.09.2013
Дата актуализации:05.05.2017
Дата введения:01.01.1980
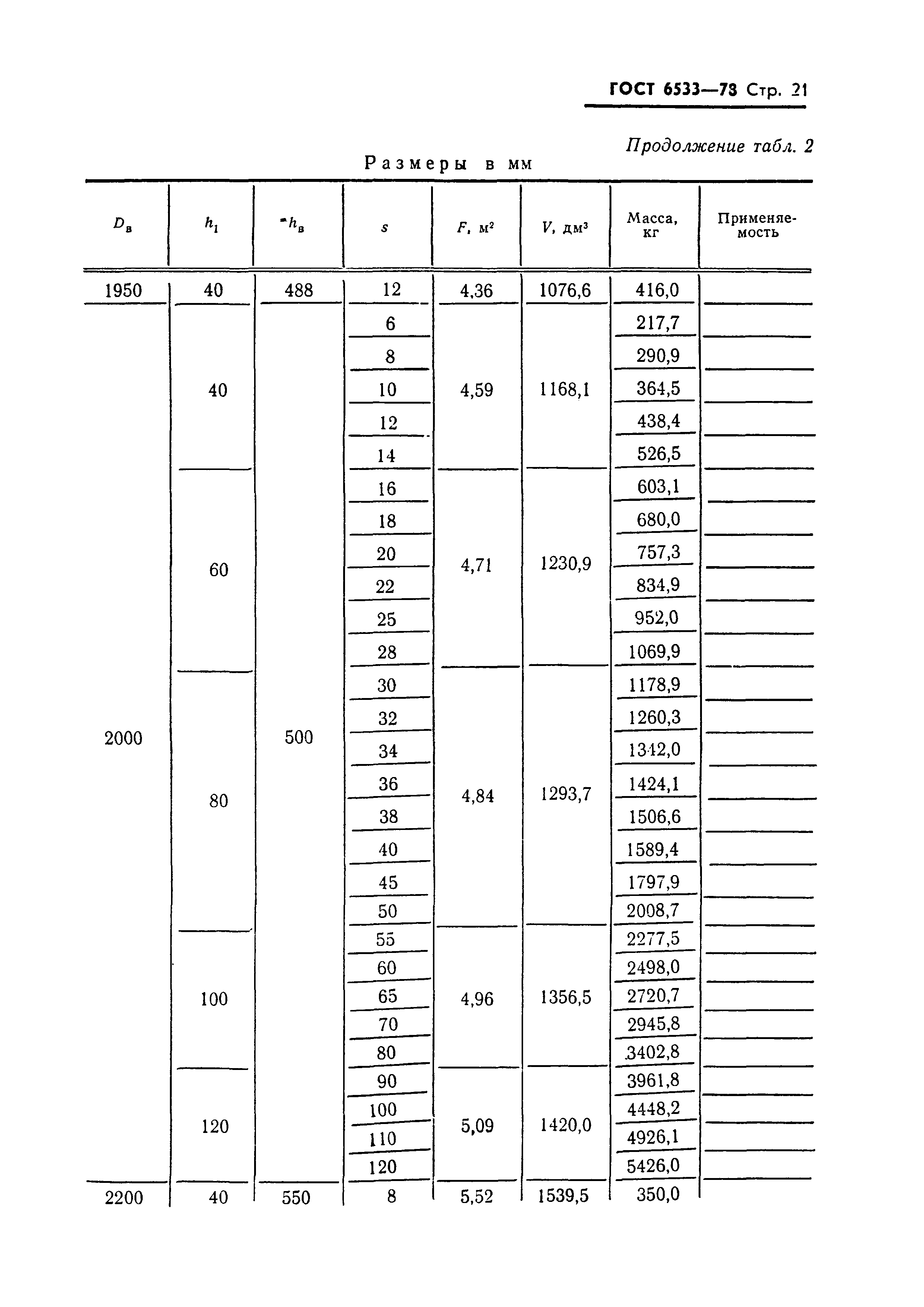
Область применения:Стандарт распространяется на эллиптические отбортованные днища из углеродистых, легированных и двухслойных сталей с толщиной стенки от 4 до 120 мм для сосудов, аппаратов и котлов диаметром от 133 до 4500 мм.
Оглавление:Приложение 1 Формула для расчета внутренней поверхности F, теоретического диаметра заготовки D, массы Q и объема V днищ
Утверждён:26.10.1978 Госстандарт СССР (USSR Gosstandart 2771)
Издан: Издательство стандартов (1985 г. )
Расположен в:Техническая документация Электроэнергия ГИДРАВЛИЧЕСКИЕ И ПНЕВМАТИЧЕСКИЕ СИСТЕМЫ И КОМПОНЕНТЫ ОБЩЕГО НАЗНАЧЕНИЯ Резервуары для хранения жидкостей и газов Резервуары для хранения жидкостей и газов в целом Экология ГИДРАВЛИЧЕСКИЕ И ПНЕВМАТИЧЕСКИЕ СИСТЕМЫ И КОМПОНЕНТЫ ОБЩЕГО НАЗНАЧЕНИЯ Резервуары для хранения жидкостей и газов Резервуары для хранения жидкостей и газов в целом Строительство Стандарты Другие государственные стандарты, применяемые в строительстве Гидравлические и пневматические системы и компоненты общего назначения
Список изменений:
Заменяет собой:
  • ГОСТ 6533-68 «Днища эллиптические отбортованные стальные для сосудов, аппаратов и котлов. Основные размеры»
Нормативные ссылки:
ГОСТ 6533-78ГОСТ 6533-78ГОСТ 6533-78ГОСТ 6533-78ГОСТ 6533-78ГОСТ 6533-78ГОСТ 6533-78ГОСТ 6533-78ГОСТ 6533-78ГОСТ 6533-78ГОСТ 6533-78ГОСТ 6533-78ГОСТ 6533-78ГОСТ 6533-78ГОСТ 6533-78ГОСТ 6533-78ГОСТ 6533-78ГОСТ 6533-78ГОСТ 6533-78ГОСТ 6533-78ГОСТ 6533-78ГОСТ 6533-78ГОСТ 6533-78ГОСТ 6533-78ГОСТ 6533-78ГОСТ 6533-78ГОСТ 6533-78ГОСТ 6533-78ГОСТ 6533-78ГОСТ 6533-78ГОСТ 6533-78ГОСТ 6533-78ГОСТ 6533-78ГОСТ 6533-78ГОСТ 6533-78ГОСТ 6533-78ГОСТ 6533-78ГОСТ 6533-78ГОСТ 6533-78

Текстовое изменение № 2 от 01.09.1989

№ 2

© 2013 Ёшкин Кот :-) Карта сайта