Информационная система
«Ёшкин Кот»

Скачать базу одним архивом
Скачать обновления
История создания базы
Карта сайта

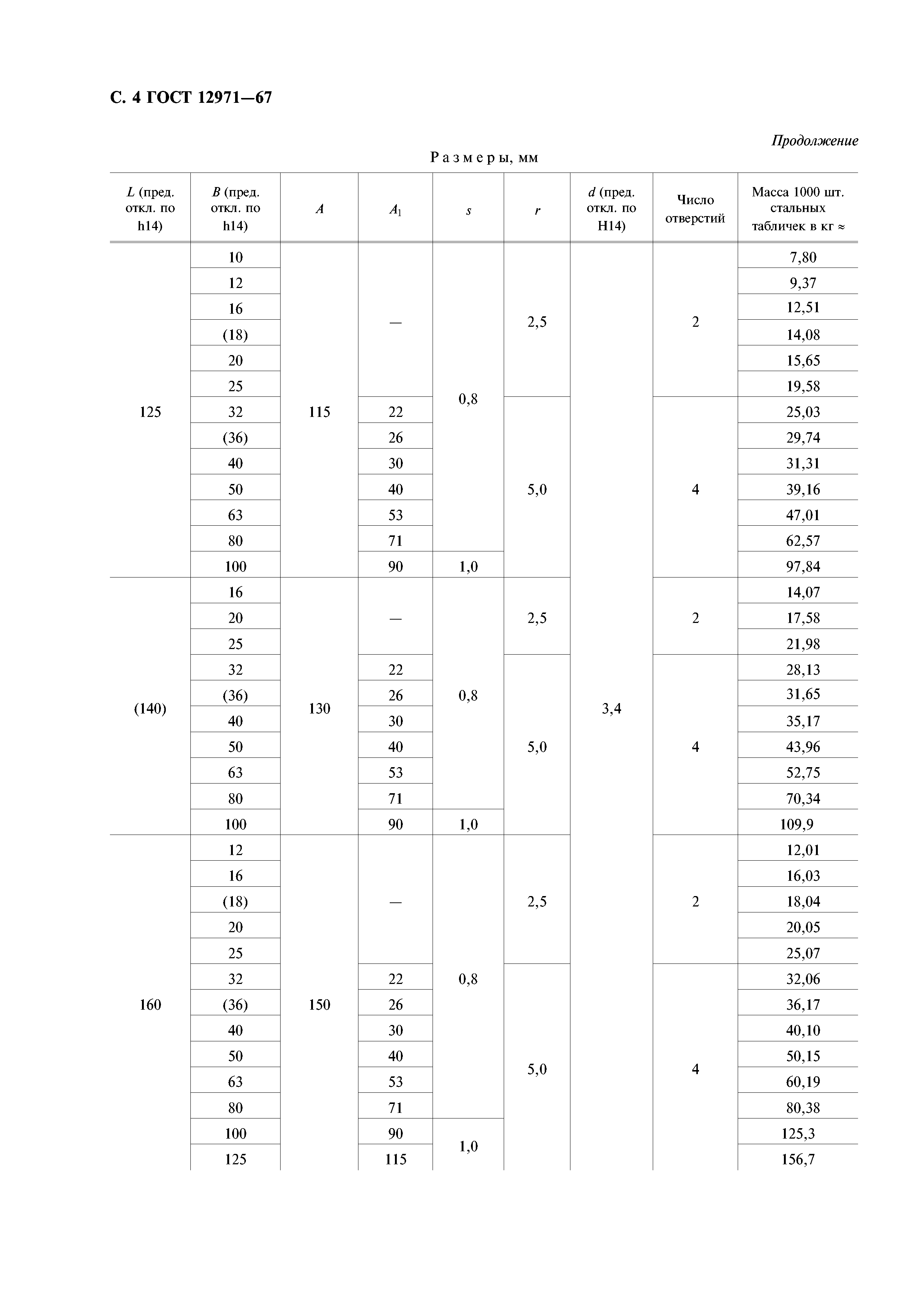
Скачать ГОСТ 12971-67 Таблички прямоугольные для машин и приборов. Размеры

Дата актуализации: 10.08.2017

ГОСТ 12971-67

Таблички прямоугольные для машин и приборов. Размеры

Обозначение: ГОСТ 12971-67
Обозначение англ: GOST 12971-67
Статус:действует
Название рус.:Таблички прямоугольные для машин и приборов. Размеры
Название англ.:Rectangular plates for machines and devices. Dimensions
Дата добавления в базу:01.09.2013
Дата актуализации:05.05.2017
Дата введения:01.01.1969
Область применения:Стандарт устанавливает размеры табличек прямоугольных для машин и приборов.
Утверждён:23.05.1967 Комитет стандартов, мер и измерительных приборов при Совете Министров Союза ССР
Издан: Издательство стандартов (1985 г. )
Стандартинформ (2006 г. )
Расположен в:Техническая документация Электроэнергия МЕХАНИЧЕСКИЕ СИСТЕМЫ И УСТРОЙСТВА ОБЩЕГО НАЗНАЧЕНИЯ Характеристика и конструкция механизмов, приборов и оборудования Экология МЕХАНИЧЕСКИЕ СИСТЕМЫ И УСТРОЙСТВА ОБЩЕГО НАЗНАЧЕНИЯ Характеристика и конструкция механизмов, приборов и оборудования Строительство Стандарты Другие государственные стандарты, применяемые в строительстве Механические системы и устройства общего назначения
Нормативные ссылки:
ГОСТ 12971-67ГОСТ 12971-67ГОСТ 12971-67ГОСТ 12971-67ГОСТ 12971-67ГОСТ 12971-67ГОСТ 12971-67

© 2013 Ёшкин Кот :-) Карта сайта