Информационная система
«Ёшкин Кот»

Скачать базу одним архивом
Скачать обновления
История создания базы
Карта сайта

Скачать ГОСТ 17375-83 Детали трубопроводов стальные бесшовные приварные на Ру <= 10 МПа (<= 100 кгс/см2). Отводы крутоизогнутые. Конструкция и размеры

Дата актуализации: 10.08.2017

ГОСТ 17375-83

Детали трубопроводов стальные бесшовные приварные на Ру <= 10 МПа (<= 100 кгс/см2). Отводы крутоизогнутые. Конструкция и размеры

Обозначение: ГОСТ 17375-83
Обозначение англ: GOST 17375-83
Статус:заменен
Название рус.:Детали трубопроводов стальные бесшовные приварные на Ру <= 10 МПа (<= 100 кгс/см2). Отводы крутоизогнутые. Конструкция и размеры
Название англ.:Seamless welded steel pipeline components for Pn<=10 MPa (<=10 kgf/cm2). Sharply curved offsets. Design and dimensions
Дата добавления в базу:01.09.2013
Дата актуализации:05.05.2017
Дата введения:01.01.2003
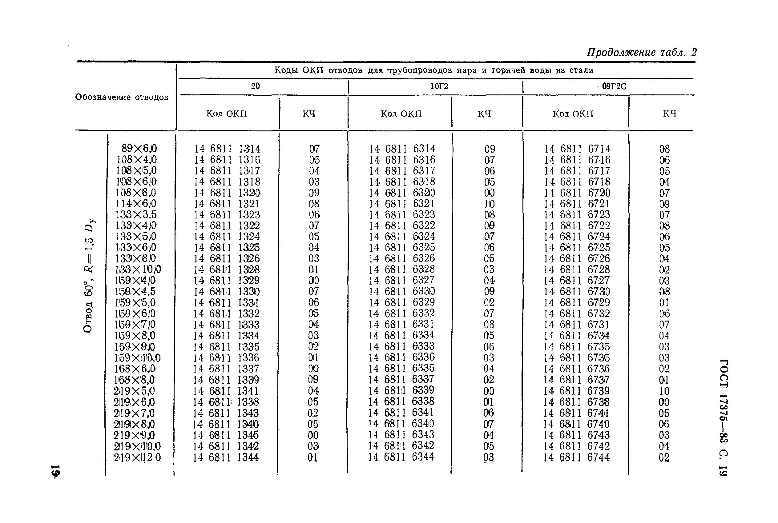
Область применения:Стандарт распространяется на стальные бесшовные приварные отводы с углами 90, 60 и 45° на Ру <=10 МПа (<= 100 кгс/см2.)
Оглавление:Приложение (справочное) Коды ОКП
Разработан: Министерство монтажных и специальных строительных работ СССР
Утверждён:19.12.1983 Государственный комитет СССР по стандартам (USSR National Committee on Standards 6711)
Издан: Издательство стандартов (1987 г. )
Издательство стандартов (1983 г. )
Издательство стандартов (1991 г. )
Расположен в:Техническая документация Электроэнергия ГИДРАВЛИЧЕСКИЕ И ПНЕВМАТИЧЕСКИЕ СИСТЕМЫ И КОМПОНЕНТЫ ОБЩЕГО НАЗНАЧЕНИЯ Трубопроводы и их компоненты Металлические фитинги Экология ГИДРАВЛИЧЕСКИЕ И ПНЕВМАТИЧЕСКИЕ СИСТЕМЫ И КОМПОНЕНТЫ ОБЩЕГО НАЗНАЧЕНИЯ Трубопроводы и их компоненты Металлические фитинги Строительство Стандарты Другие государственные стандарты, применяемые в строительстве Гидравлические и пневматические системы и компоненты общего назначения
Список изменений:
Заменяет собой:
  • ГОСТ 17375-77 «Детали трубопроводов бесшовные приварные из углеродистой стали на Ру меньше или равное 10 МПа (меньше или равное 100 кгс/см2). Отводы крутоизогнутые. Конструкция и размеры»
Чем заменён:
Нормативные ссылки:
ГОСТ 17375-83ГОСТ 17375-83ГОСТ 17375-83ГОСТ 17375-83ГОСТ 17375-83ГОСТ 17375-83ГОСТ 17375-83ГОСТ 17375-83ГОСТ 17375-83ГОСТ 17375-83ГОСТ 17375-83ГОСТ 17375-83ГОСТ 17375-83ГОСТ 17375-83ГОСТ 17375-83ГОСТ 17375-83ГОСТ 17375-83ГОСТ 17375-83ГОСТ 17375-83ГОСТ 17375-83ГОСТ 17375-83ГОСТ 17375-83ГОСТ 17375-83ГОСТ 17375-83ГОСТ 17375-83ГОСТ 17375-83ГОСТ 17375-83

Текстовое изменение № 3 от 01.01.1990

№ 3№ 3

© 2013 Ёшкин Кот :-) Карта сайта