Информационная система
«Ёшкин Кот»

Скачать базу одним архивом
Скачать обновления
История создания базы
Карта сайта

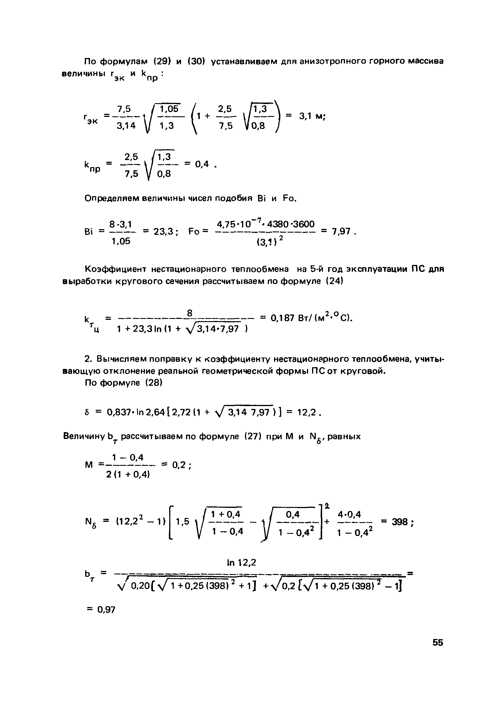
Скачать Пособие к СНиП 2.01.55-85 Теплофизические расчеты объектов народного хозяйства, размещаемых в горных выработках

Дата актуализации: 10.08.2017

Пособие к СНиП 2.01.55-85

Теплофизические расчеты объектов народного хозяйства, размещаемых в горных выработках

Обозначение: Пособие к СНиП 2.01.55-85
Обозначение англ: SNIP Handbook 2.01.55-85
Статус:действует
Название рус.:Теплофизические расчеты объектов народного хозяйства, размещаемых в горных выработках
Название англ.:Thermal Design of Industrial Facilities Located in Mineworks
Дата добавления в базу:01.09.2013
Дата актуализации:05.05.2017
Оглавление:Введение
Условные обозначения
Числа подобия
1. Основные термины и определения
2. Выбор исходных данных для тепловых расчетов подземных сооружений
3. Определение тепло- и влаговыделений от стационарных источников
4. Определение коэффициентов тепло- и массоотдачи
5. Определение коэффициентов нестационарного тепло- и массообмена между воздухом и породами
6. Тепловые расчеты выработок ПС при продольной схеме проветривания
7. Тепловые расчеты выработок ПС при поперечной и продольно-поперечной схемах проветривания
8. Тепловые расчеты ПС при отсутствии специально организованного проветривания и размещения теплотехнического оборудования непосредственно в выработках
9. Расчет полей температур и влагосодержания в породном массиве, окружающем выработки ПС
10. Примеры тепловых расчетов выработок ПС
Приложение 1. Параметры воздуха в складских и автотранспортных объектах
Приложение 2. Тепло- и влагофизические характеристики горных пород
Приложение 3. Термодинамические свойства воздуха
Приложение 4. Исходные данные для расчета коэффициентов массоотдачи
Приложение 5. Значение полного эллиптического интеграла II рода Е(К)
Приложение 6. Значение коэффициентов
Разработан: Институт технической теплофизики (ИТТФ) АН УССР
Ленинградский горный институт им. Г.В. Плеханова
Утверждён:01.01.1989 Институт технической теплофизики АН УССР (Technical Institute of Thermal Physics, UkrSSR Academy of Sciences )
Издан: Стройиздат (1989 г. )
Расположен в:Техническая документация Экология СТРОИТЕЛЬНЫЕ МАТЕРИАЛЫ И СТРОИТЕЛЬСТВО Защита зданий снаружи и внутри Теплоизоляция зданий Строительство Справочные документы Справочные пособия к СНиП
Пособие к СНиП 2.01.55-85Пособие к СНиП 2.01.55-85Пособие к СНиП 2.01.55-85Пособие к СНиП 2.01.55-85Пособие к СНиП 2.01.55-85Пособие к СНиП 2.01.55-85Пособие к СНиП 2.01.55-85Пособие к СНиП 2.01.55-85Пособие к СНиП 2.01.55-85Пособие к СНиП 2.01.55-85Пособие к СНиП 2.01.55-85Пособие к СНиП 2.01.55-85Пособие к СНиП 2.01.55-85Пособие к СНиП 2.01.55-85Пособие к СНиП 2.01.55-85Пособие к СНиП 2.01.55-85Пособие к СНиП 2.01.55-85Пособие к СНиП 2.01.55-85Пособие к СНиП 2.01.55-85Пособие к СНиП 2.01.55-85Пособие к СНиП 2.01.55-85Пособие к СНиП 2.01.55-85Пособие к СНиП 2.01.55-85Пособие к СНиП 2.01.55-85Пособие к СНиП 2.01.55-85Пособие к СНиП 2.01.55-85Пособие к СНиП 2.01.55-85Пособие к СНиП 2.01.55-85Пособие к СНиП 2.01.55-85Пособие к СНиП 2.01.55-85Пособие к СНиП 2.01.55-85Пособие к СНиП 2.01.55-85Пособие к СНиП 2.01.55-85Пособие к СНиП 2.01.55-85Пособие к СНиП 2.01.55-85Пособие к СНиП 2.01.55-85Пособие к СНиП 2.01.55-85Пособие к СНиП 2.01.55-85Пособие к СНиП 2.01.55-85Пособие к СНиП 2.01.55-85Пособие к СНиП 2.01.55-85Пособие к СНиП 2.01.55-85Пособие к СНиП 2.01.55-85Пособие к СНиП 2.01.55-85Пособие к СНиП 2.01.55-85Пособие к СНиП 2.01.55-85Пособие к СНиП 2.01.55-85Пособие к СНиП 2.01.55-85Пособие к СНиП 2.01.55-85Пособие к СНиП 2.01.55-85Пособие к СНиП 2.01.55-85Пособие к СНиП 2.01.55-85Пособие к СНиП 2.01.55-85Пособие к СНиП 2.01.55-85Пособие к СНиП 2.01.55-85Пособие к СНиП 2.01.55-85Пособие к СНиП 2.01.55-85Пособие к СНиП 2.01.55-85Пособие к СНиП 2.01.55-85Пособие к СНиП 2.01.55-85Пособие к СНиП 2.01.55-85Пособие к СНиП 2.01.55-85Пособие к СНиП 2.01.55-85Пособие к СНиП 2.01.55-85Пособие к СНиП 2.01.55-85Пособие к СНиП 2.01.55-85Пособие к СНиП 2.01.55-85Пособие к СНиП 2.01.55-85Пособие к СНиП 2.01.55-85Пособие к СНиП 2.01.55-85Пособие к СНиП 2.01.55-85Пособие к СНиП 2.01.55-85Пособие к СНиП 2.01.55-85Пособие к СНиП 2.01.55-85Пособие к СНиП 2.01.55-85Пособие к СНиП 2.01.55-85

© 2013 Ёшкин Кот :-) Карта сайта