Информационная система
«Ёшкин Кот»

Скачать базу одним архивом
Скачать обновления
История создания базы
Карта сайта

Скачать Рекомендации по статическому расчету многоэтажных общественных зданий со связевым каркасом серии 1.020-1/83 с использованием УВК-АРМ-С

Дата актуализации: 10.08.2017

Рекомендации по статическому расчету многоэтажных общественных зданий со связевым каркасом серии 1.020-1/83 с использованием УВК-АРМ-С

Статус:cправочные материалы, мп, тпр
Название рус.:Рекомендации по статическому расчету многоэтажных общественных зданий со связевым каркасом серии 1.020-1/83 с использованием УВК-АРМ-С
Название англ.:Recommended Practice for Statistical Calculation of Low-Rise Public Buildings with Bonded Frame Series 1 -020-1/83 Using UVK-ARM-S
Дата добавления в базу:21.05.2015
Дата актуализации:05.05.2017
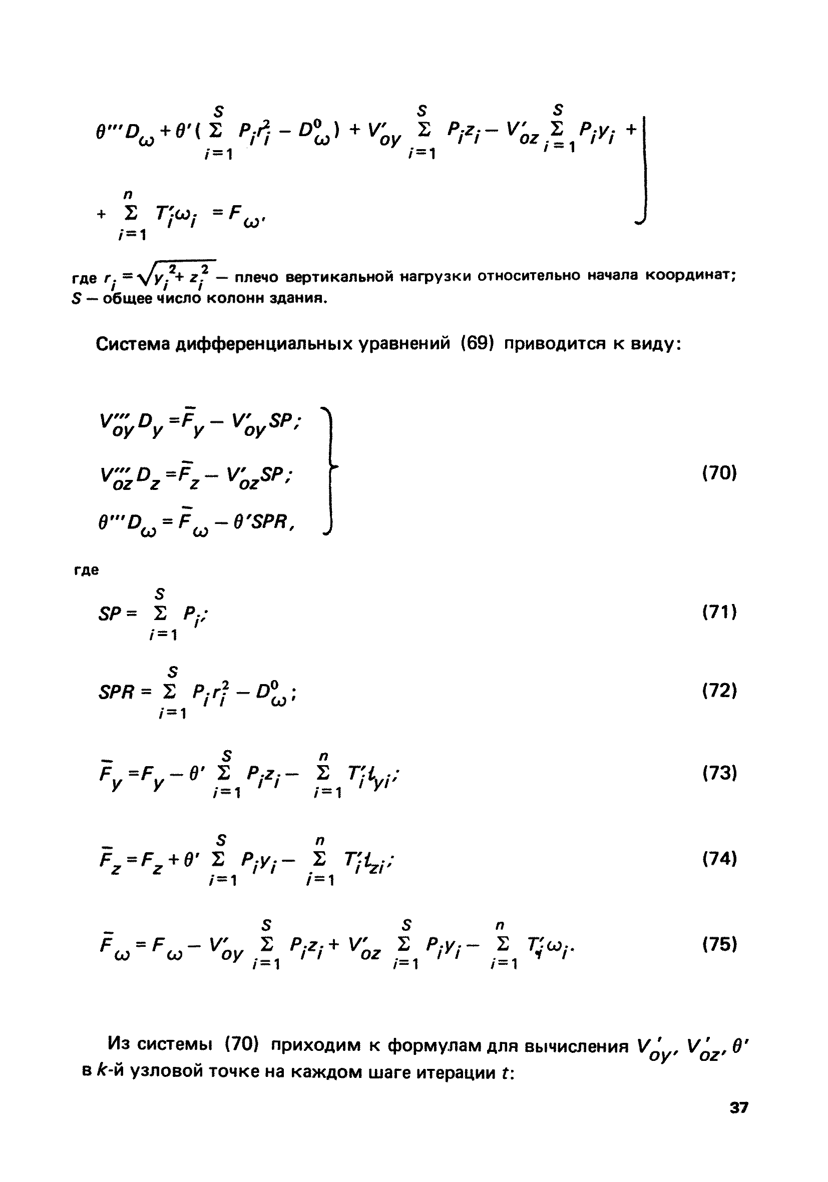
Область применения:В документе приведены описания алгоритмов и программ расчета пространственных несущих систем полносборных общественных зданий с переменными по высоте жесткостями элементов и связей с учетом влияния продольного изгиба при действии распределенных и сосредоточенных вертикальных и горизонтальных нагрузок, а также методические указания по применению программ при выполнении расчетов. даны примеры расчета. Для инженерно-технических работников проектных и научно- исследовательских организаций.
Оглавление:1. Общие положения
2. Программа КАСКАД расчета каркасно-панельных зданий, включающих элементы ступенчато-переменной жесткости
   Расчетная модель и ее элементы
   Нагрузки
   Алгоритм статического расчета
   Численный метод решения дифференциальных уравнений
   Оптимизация скорости сходимости итерационного процесса
   Блок-схема программы КАСКАД
   Характеристики программы
   Пример 1. Каркасно-панельное здание с постоянной жесткостью
   Пример 2. Каркасно-фланельное здание с переменной жесткостью
3. Программа КАСКАД расчета каркасно-панельных зданий на основе дискретно-континуальной модели с учетом продольного изгиба
   Пример. Каркасно-панельное здание с постоянной жесткостью с учетом продольного изгиба
Разработан: ЦНИИЭП торгово-бытовых зданий и туристических комплексов Госкомархитектуры
Утверждён: ЦНИИЭП торгово-бытовых зданий и туристических комплексов Госкомархитектуры
Издан: Стройиздат (1989 г. )
Расположен в:Техническая документация Экология СТРОИТЕЛЬНЫЕ МАТЕРИАЛЫ И СТРОИТЕЛЬСТВО Конструкции зданий Бетонные конструкции Строительство Справочные документы Справочные пособия к СНиП

© 2013 Ёшкин Кот :-) Карта сайта