Информационная система
«Ёшкин Кот»

Скачать базу одним архивом
Скачать обновления
История создания базы
Карта сайта

Скачать Сборник 50 Наружные сети водопровода. Сборники показателей стоимости на виды работ (ПВР)

Дата актуализации: 10.08.2017

Сборник 50

Наружные сети водопровода. Сборники показателей стоимости на виды работ (ПВР)

Обозначение: Сборник 50
Обозначение англ: Сборник 50
Статус:действует
Название рус.:Наружные сети водопровода. Сборники показателей стоимости на виды работ (ПВР)
Название англ.:Public Water Supply Systems
Дата добавления в базу:01.09.2013
Дата актуализации:05.05.2017
Дата введения:01.10.1993
Область применения:Сборник содержит показатели стоимости на виды работ (ПВР) на строительство наружных сетей водопровода. Стоимостные показатели в таблицах ПВР даны для базисного района строительства (Московской обл.).
Оглавление:Техническая часть
ПВР-501001 Земляные для прокладки водопроводных труб в сухих грунтах II группы
ПВР-502001 Устройство оснований под трубопроводы из песка
ПВР-502002 Устройство оснований под трубопроводы из бетона
ПВР-503001 Устройство монолитных конструкций опускных колодцев, ванн, бассейнов и емкостных сооружений водопровода
ПВР-503002 Установка конструкций сооружений водопровода и канализации из сборного железобетона
ПВР-503004 Устройство сборных железобетонных колодцев водопроводных
ПВР-504001 Укладка трубопроводов из железобетонных напорных труб
ПВР-504002 Укладка трубопроводов из асбестоцементных напорных труб
ПВР-504003 Укладка трубопроводов из стальных труб
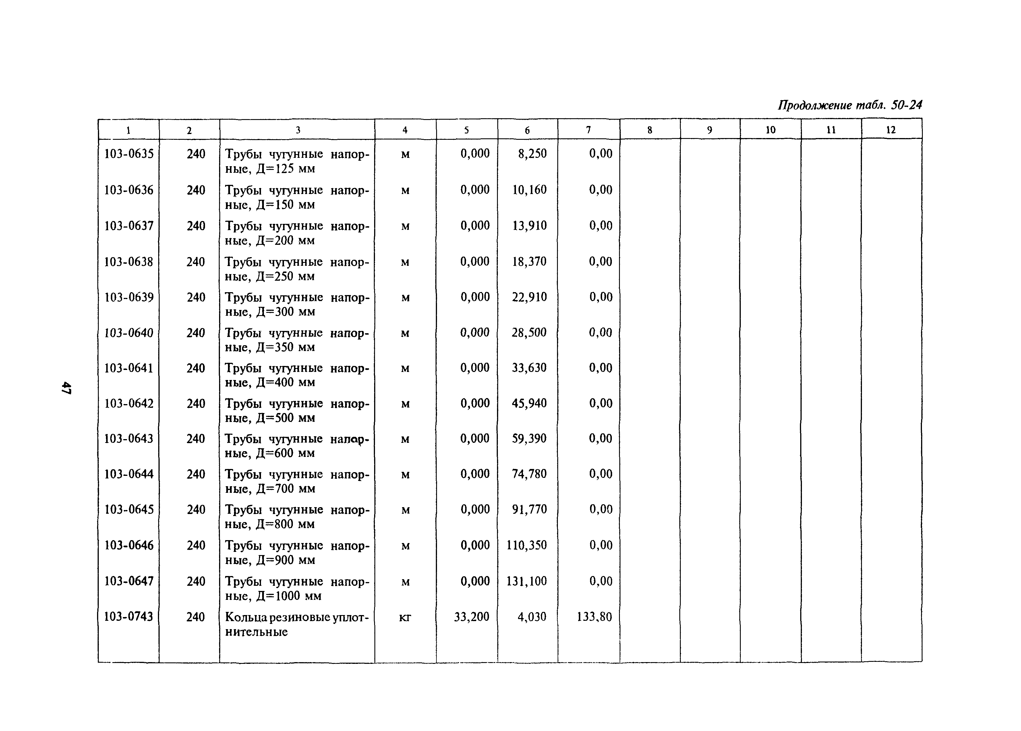
ПВР-504004 Укладка трубопроводов из чугунных напорных труб
ПВР-504005 Установка вантузов, гидрантов, колонок водоразборных
ПВР-504006 Протаскивание в футляр стальных труб
ПВР-504007 Врезка в существующую сеть
ПВР-504008 Укладка полиэтиленовых напорных труб
ПВР-505001 Переход трубопроводами под автодорогой и железнодорожными путями
Разработан: АО Воронежэлектронпроект
Утверждён:02.09.1993 Госстрой России (Russian Federation Gosstroy 12-224)
Издан: ГП ЦПП (1995 г. )
Расположен в:Техническая документация Строительство Нормативные документы Документы Системы нормативных документов в строительстве Нормативные документы по экономике к.81 Ценообразование и сметы Классификатор ISO Нормативные документы по экономике Ценообразование и сметы
Нормативные ссылки:
Сборник 50Сборник 50Сборник 50Сборник 50Сборник 50Сборник 50Сборник 50Сборник 50Сборник 50Сборник 50Сборник 50Сборник 50Сборник 50Сборник 50Сборник 50Сборник 50Сборник 50Сборник 50Сборник 50Сборник 50Сборник 50Сборник 50Сборник 50Сборник 50Сборник 50Сборник 50Сборник 50Сборник 50Сборник 50Сборник 50Сборник 50Сборник 50Сборник 50Сборник 50Сборник 50Сборник 50Сборник 50Сборник 50Сборник 50Сборник 50Сборник 50Сборник 50Сборник 50Сборник 50Сборник 50Сборник 50Сборник 50Сборник 50Сборник 50Сборник 50Сборник 50Сборник 50Сборник 50Сборник 50Сборник 50Сборник 50Сборник 50Сборник 50Сборник 50Сборник 50Сборник 50Сборник 50Сборник 50Сборник 50Сборник 50Сборник 50Сборник 50Сборник 50Сборник 50Сборник 50Сборник 50

© 2013 Ёшкин Кот :-) Карта сайта