Информационная система
«Ёшкин Кот»

Скачать базу одним архивом
Скачать обновления
История создания базы
Карта сайта

Скачать Сборник 2 Фундаменты общего назначения. Сборники показателей стоимости на виды работ (ПВР)

Дата актуализации: 10.08.2017

Сборник 2

Фундаменты общего назначения. Сборники показателей стоимости на виды работ (ПВР)

Обозначение: Сборник 2
Обозначение англ: Сборник 2
Статус:действует
Название рус.:Фундаменты общего назначения. Сборники показателей стоимости на виды работ (ПВР)
Название англ.:General Purpose Foundations
Дата добавления в базу:01.09.2013
Дата актуализации:05.05.2017
Дата введения:01.11.1993
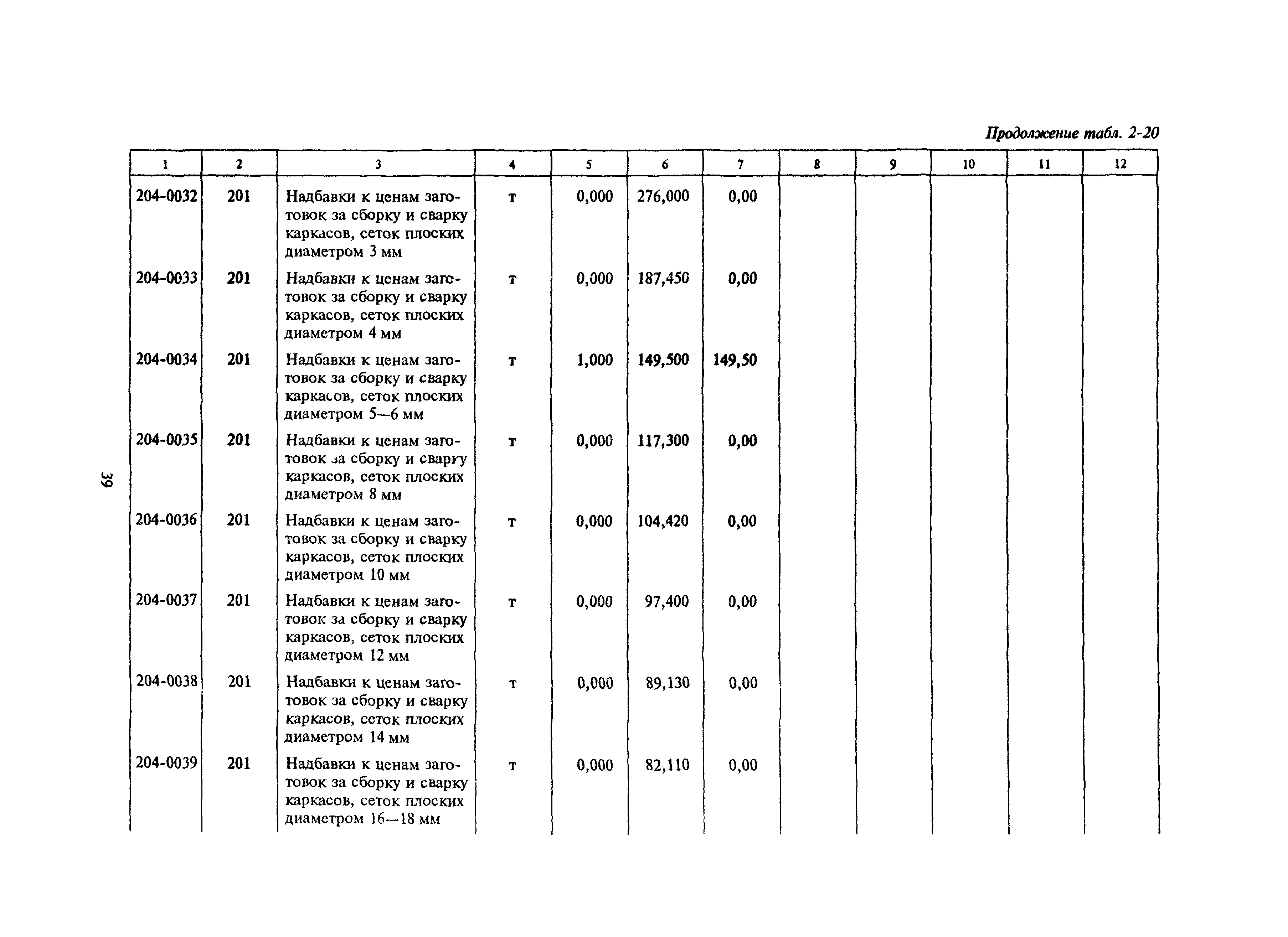
Область применения:В Сборнике содержатся показатели на виды работ (ПВР) по возведению фундаментов: монолитных бетонных и железобетонных; из сборных железобетонных и бетонных блоков и плит; свайных. Стоимостные показатели в таблицах даны в ценах базисного района строительства (Московская область).
Оглавление:Техническая часть
ПВР-2010 Устройство монолитных бетонных и железобетонных фундаментов
ПВР-2020 Устройство бутобетонных фундаментов
ПВР-2030 Укладка сборных бетонных блоков
ПВР-2040 Укладка сборных железобетонных блоков и плит фундаментов
ПРВ-2051 Погружение железобетонных свай
ПВР-2052 Устройство буронабивных свай
ПВР-2060 Укладка фундаментных балок
ПВР-2070 Установка анкерных болтов и закладных деталей
ПВР-2071 Стоимость арматуры для монолитного железобетона
ПВР-2081 Устройство обмазочной гидроизоляции
ПВР-2082 Устройство оклеечной гидроизоляции
ПВР-2083 Устройство горизонтальной и боковой гидроизоляции цементной с жидким стеклом
Разработан: АО Воронежэлектронпроект
Утверждён:13.10.1993 Госстрой России (Russian Federation Gosstroy 12-244)
Издан: ГУП ЦПП (CPP GUP 1999 г. )
ГП ЦПП (1994 г. )
Расположен в:Техническая документация Строительство Нормативные документы Документы Системы нормативных документов в строительстве Нормативные документы по экономике к.81 Ценообразование и сметы Классификатор ISO Нормативные документы по экономике Ценообразование и сметы
Сборник 2Сборник 2Сборник 2Сборник 2Сборник 2Сборник 2Сборник 2Сборник 2Сборник 2Сборник 2Сборник 2Сборник 2Сборник 2Сборник 2Сборник 2Сборник 2Сборник 2Сборник 2Сборник 2Сборник 2Сборник 2Сборник 2Сборник 2Сборник 2Сборник 2Сборник 2Сборник 2Сборник 2Сборник 2Сборник 2Сборник 2Сборник 2Сборник 2Сборник 2Сборник 2Сборник 2Сборник 2Сборник 2Сборник 2Сборник 2Сборник 2Сборник 2Сборник 2Сборник 2Сборник 2Сборник 2Сборник 2Сборник 2Сборник 2Сборник 2

© 2013 Ёшкин Кот :-) Карта сайта