| ||||||||||||||||||||||||||||||||||||
Скачать СНиП 2.01.01-82 Строительная климатология и геофизикаДата актуализации: 10.08.2017
|
| Обозначение: | СНиП 2.01.01-82 |
| Обозначение англ: | SNIP 2.01.01-82 |
| Статус: | заменен |
| Название рус.: | Строительная климатология и геофизика |
| Название англ.: | Climatology and Geophysics for Construction |
| Дата добавления в базу: | 01.09.2013 |
| Дата актуализации: | 05.05.2017 |
| Дата введения: | 01.01.2000 |
| Область применения: | Нормы должны соблюдаться при разработке генеральных планов городов, поселков, сельских населенных пунктов, проектировании зданий и сооружений, выборе материалов для конструкций, проектировании систем отопления, вентиляции, кондиционирования воздуха, водоснабжения |
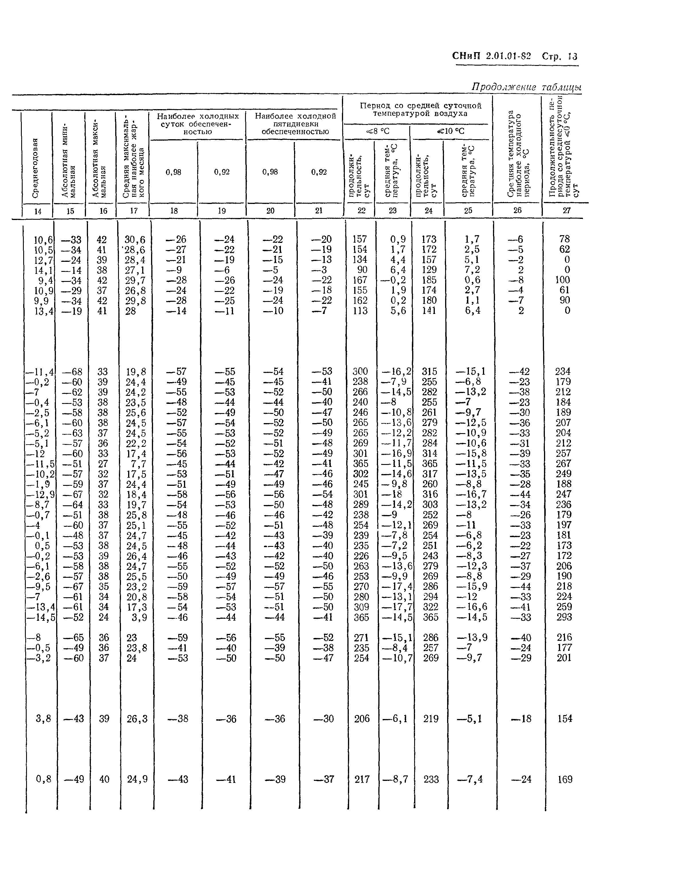
| Оглавление: | 1 Общие положения Таблица. Температура наружного воздуха Приложение 1. Схематические карты распределения климатических и геофизических параметров на территории СССР Рис. 1. Схематическая карта распределения объемов снегопереноса за зиму, м3/м Рис. 2. Схематическая карта распределения, мощности и строения толщи пород с отрицательной температурой (криогенной толщи) на территории СССР Рис. 3. Схематическая карта глубины промерзания глинистых и суглинистых грунтов на территории СССР, см Рис. 4. Схематическая карта распределения карста на территории СССР Рис. 5. Схематическая карта лавиноопасных районов на территории СССР Рис. 6. Схематическая карта районов, подверженных оползневым процессам, на территории СССР Рис. 7. Схематическая карта распространения просадочных лессовых грунтов на территории СССР Рис. 8. Схематическая карта селеопасных районов на территории СССР Рис. 9. Схематическая карта климатического районирования территории СССР для строительства Приложение 2. Справочное. Средняя и максимальная суточная амплитуда температуры наружного воздуха Приложение 3. Справочное. Влажность наружного воздуха. Осадки Приложение 4. Справочное. Направление и скорость ветра Приложение 5. Справочное. Солнечная радиация (прямая/рассеянная), поступающая в июле на горизонтальную поверхность при безоблачном небе, Вт/м2 Приложение 6. Справочное. Солнечная радиация (прямая/рассеянная), поступающая в июле на вертикальную поверхность южной ориентации при безоблачном небе, Вт/м2 Приложение 7. Справочное. Солнечная радиация (прямая/рассеянная), поступающая в июле на вертикальные поверхности восточной и западной ориентации при безоблачном небе, Вт/м2 Приложение 8. Справочное. Терминология и методы расчета климатических параметров |
| Разработан: | НИИОСП им. Н.М. Герсеванова Госстроя СССР ПНИИИС Госстроя СССР (PNIIS, Gosstroy (USSR) ) Дальневосточный Промстройниипроект Минстроя СССР МИСИ им. В.В. Куйбышева Минвуза СССР НИИСФ Госстроя СССР МГЦ Госсанэпиднадзора ГГО им. А.И. Воейкова Госкомгидромета |
| Утверждён: | 21.07.1982 Госстрой СССР (Государственный комитет Совета Министров СССР по делам строительства) (USSR Gosstroy 188) |
| Издан: | Стройиздат (1983 г. ) ГП ЦПП (1996 г. ) |
| Расположен в: | |
| Заменяет собой: | |
| Чем заменён: |










































































































































