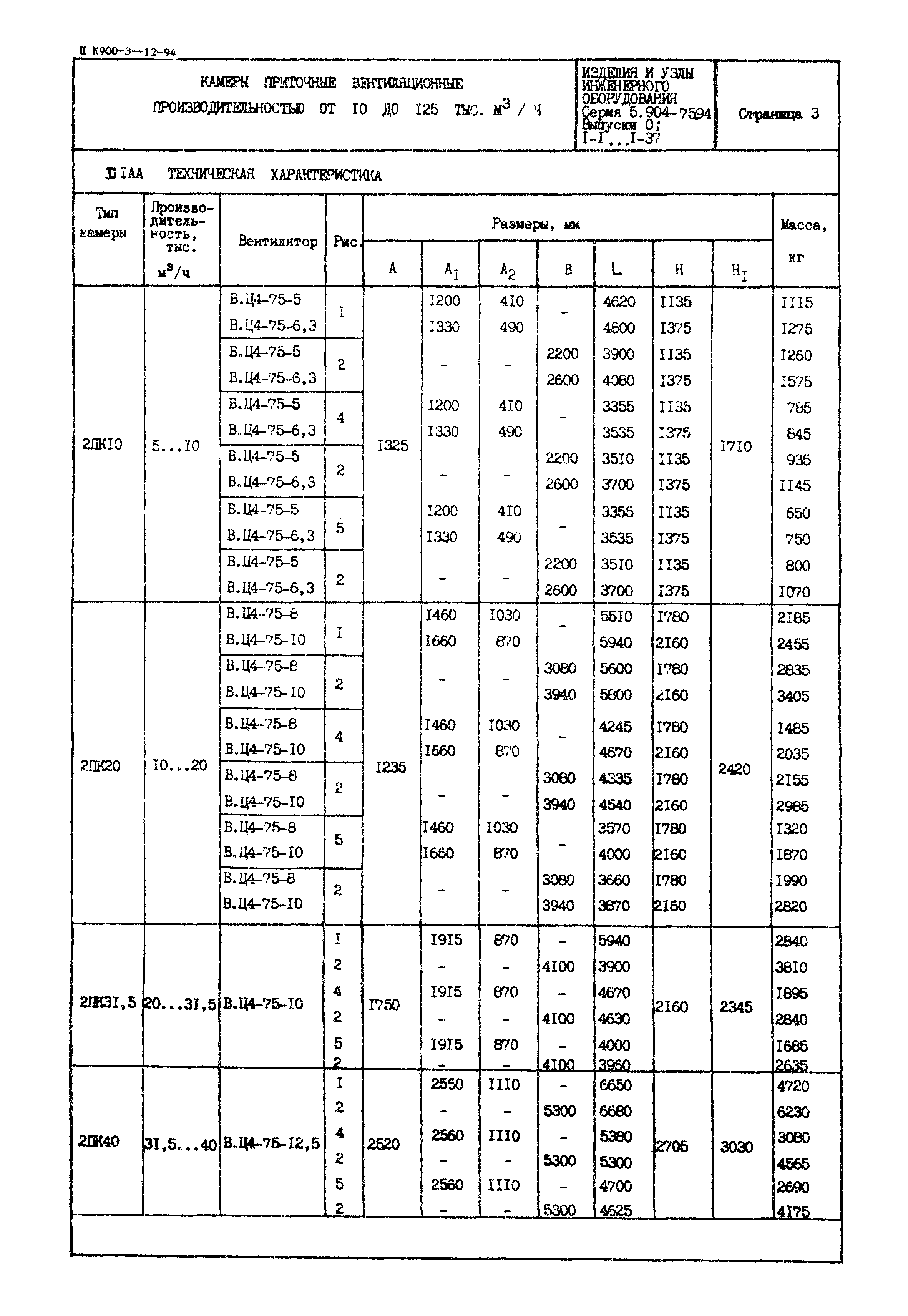
Скачать Серия 5.904-75.94 Камеры приточные вентиляционные производительностью от 10 до 125 тыс. куб. м/чДата актуализации: 10.08.2017 Серия 5.904-75.94
Камеры приточные вентиляционные производительностью от 10 до 125 тыс. куб. м/чОбозначение: | Серия 5.904-75.94 | Обозначение англ: | Series 5.904-75.94 | Статус: | не определен законодательством | Название рус.: | Камеры приточные вентиляционные производительностью от 10 до 125 тыс. куб. м/ч | Дата добавления в базу: | 01.09.2013 | Дата актуализации: | 05.05.2017 | Дата введения: | 30.06.1994 | Расположен в: |
| Список изменений: | |
     
Текстовое изменение поправка
|