Скачать Серия 1.030.1-1/88 Выпуск 2-6. Цокольные панели длиной 6 м из легких бетонов для стен производственных зданий. Опалубка и армирование. Рабочие чертежиДата актуализации: 10.08.2017 Серия 1.030.1-1/88
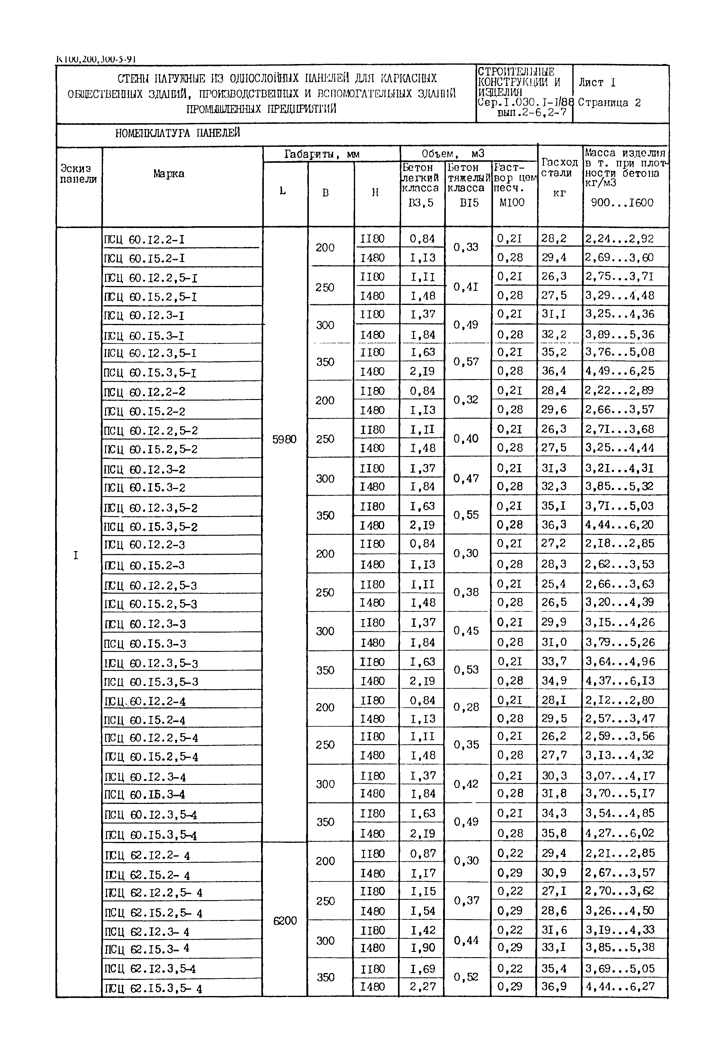
Выпуск 2-6. Цокольные панели длиной 6 м из легких бетонов для стен производственных зданий. Опалубка и армирование. Рабочие чертежиОбозначение: | Серия 1.030.1-1/88 | Обозначение англ: | Series 1.030.1-1/88 | Статус: | действует | Название рус.: | Выпуск 2-6. Цокольные панели длиной 6 м из легких бетонов для стен производственных зданий. Опалубка и армирование. Рабочие чертежи | Дата добавления в базу: | 01.09.2013 | Дата актуализации: | 05.05.2017 | Область применения: | Выпуск содержит пояснительную записку с техническим описанием и техническими условиями, опалубочные чертежи цокольных панелей, узлы и ведомости расхода стали на панель | Оглавление: | 1.030.1-1/88.2-6-ПЗ Пояснительная записка 1.030.1-1/88.2-6-ТУ Техническая условия 1.030.1-1/88.2-6-НИ Номенклатура цокольных панелей 1.030.1-1/88.2-6-1 Схемы расположения цокольных панелей (примеры) 1.030.1-1/88.2-6-2 Схемы расположения закладных изделий в панелях 1.030.1-1/88.2-6-3 Панель цокольная ПСЦ 60.12.2-1-… ПСЦ 60.15.3,5-1- 1.030.1-1/88.2-6-4 Панель цокольная ПСЦ 60.12.2-2-… ПСЦ 60.15.3,5-2- 1.030.1-1/88.2-6-5 Панель цокольная ПСЦ 60.12.2-3-… ПСЦ 60.15.3,5-3- 1.030.1-1/88.2-6-6 Панель цокольная ПСЦ 60.12.2-4-… ПСЦ 60.15.3,5-4- 1.030.1-1/88.2-6-7 Панель цокольная ПСЦ 62.12.2-4-… ПСЦ 62.15.3,5-4- 1.030.1-1/88.2-6-8 Панель цокольная ПСЦ 62.5.12.2-5-… ПСЦ 64.15.3,5-5- 1.030.1-1/88.2-6-9 Панель цокольная ПСЦ 65.12.2-5-… ПСЦ 66,5.12.3,5-5- 1.030.1-1/88.2-6-10 Панель цокольная ПСЦ 62.5.12.2-6-… ПСЦ 64.15.3,5-6- 1.030.1-1/88.2-6-11 Панель цокольная ПСЦ 65.12.2-6-… ПСЦ 66,5.15.3,5-6- 1.030.1-1/88.2-6-12 Панель цокольная ПСЦ 60.12.2-1-14.1-… ПСЦ 60.15.3,5-1-14.1 1.030.1-1/88.2-6-13 Панель цокольная ПСЦ 60.12.2-1-14.2… ПСЦ 60.15.3,5-1-14.2 1.030.1-1/88.2-6-14 Панель цокольная ПСЦ 60.12.2-2-14.1… ПСЦ 60.15.3,5-3-14.1 1.030.1-1/88.2-6-15 Панель цокольная ПСЦ 60.12.2-2-14.2… ПСЦ 60.15.3,5-3-14.2 1.030.1-1/88.2-6-16 Панель цокольная ПСЦ 60.12.2-3-14.1… ПСЦ 60.15.3,5-3-14.1 1.030.1-1/88.2-6-17 Панель цокольная ПСЦ 60.12.2-3-14.2… ПСЦ 60.15.3,5-3-14.2 1.030.1-1/88.2-6-18 Панель цокольная ПСЦ 60.12.3-III-1… ПСЦ 60.15.3-III-4 1.030.1-1/88.2-6-19 Панель цокольная ПСЦ 60.12.3-III-4… ПСЦ 62.15.3-III-4 1.030.1-1/88.2-6-20 Панель цокольная ПСЦ 63.5.12.3-III-5… ПСЦ 66.15.3-III-4 1.030.1-1/88.2-6-РС Ведомость расхода стали | Расположен в: |
|
    
|