Скачать Серия 1.030.1-1/88 Выпуск 2-1. Панели из легких и ячеистых бетонов толщиной 200 мм для стен производственных зданий промышленных предприятий. Опалубка и армирование. Рабочие чертежиДата актуализации: 10.08.2017 Серия 1.030.1-1/88
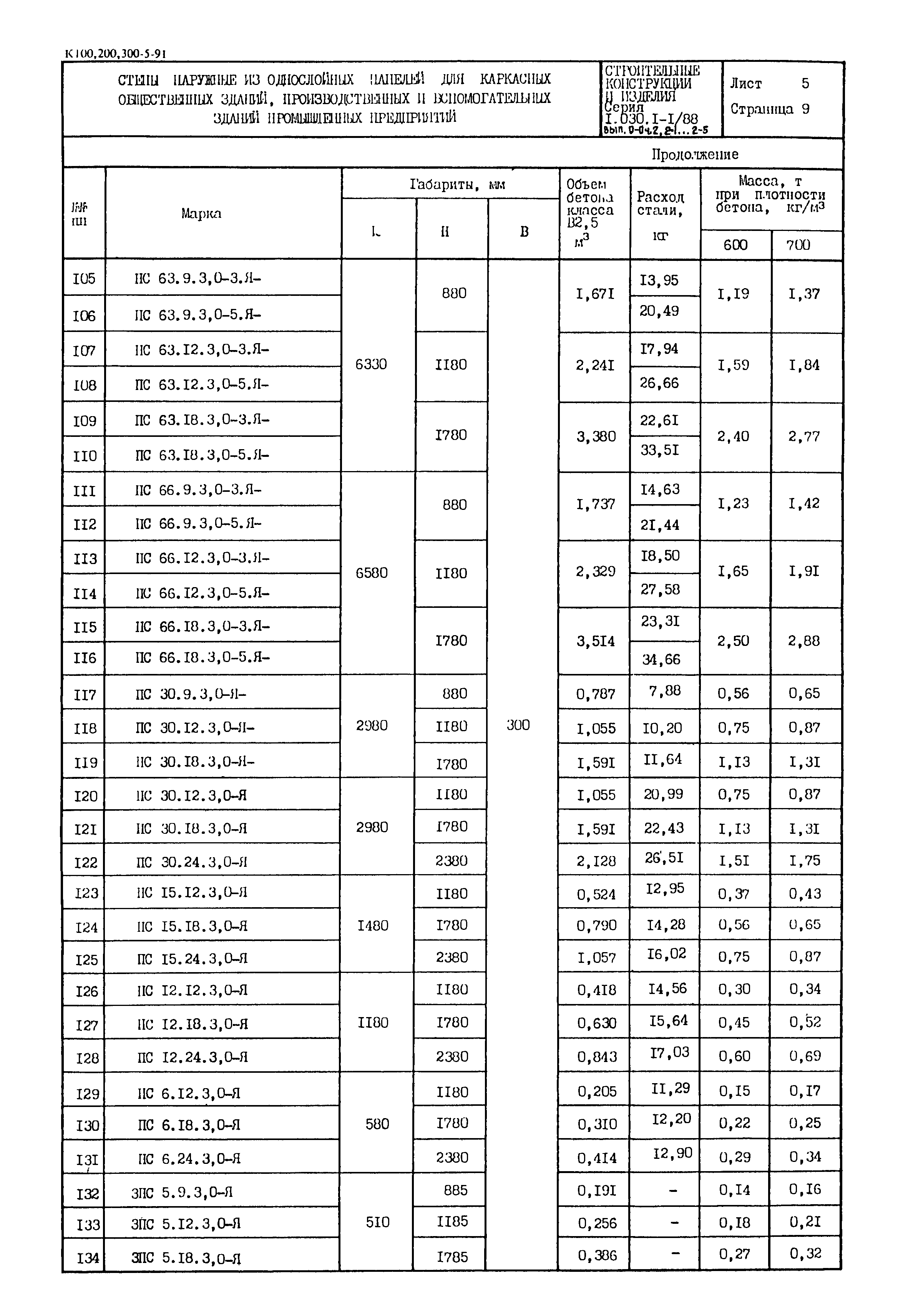
Выпуск 2-1. Панели из легких и ячеистых бетонов толщиной 200 мм для стен производственных зданий промышленных предприятий. Опалубка и армирование. Рабочие чертежиОбозначение: | Серия 1.030.1-1/88 | Обозначение англ: | Series 1.030.1-1/88 | Статус: | действует | Название рус.: | Выпуск 2-1. Панели из легких и ячеистых бетонов толщиной 200 мм для стен производственных зданий промышленных предприятий. Опалубка и армирование. Рабочие чертежи | Дата добавления в базу: | 01.09.2013 | Дата актуализации: | 05.05.2017 | Область применения: | Выпуск содержит опалубочные и арматурные чертежи панелей, выборку стали, арматурно-опалубочные узлы, а также номенклатуру панелей | Оглавление: | 1.030.1-1/88.2-1-ТО Техническое описание 1.030.1-1/88.2-1-1НИ Номенклатура панелей из легких бетонов 1.030.1-1/88.2-1-2НИ Номенклатура панелей из ячеистого бетона 1.030.1-1/88.2-1-1 Панель ПС 60.9.2,0 1.030.1-1/88.2-1-2 Панель ПС 60.12.2,0 1.030.1-1/88.2-1-3 Панель ПС 60.15.2,0 1.030.1-1/88.2-1-4 Панель ПС 60.18.2,0 1.030.1-1/88.2-1-5 Панель ПС 62.9.2,0 1.030.1-1/88.2-1-6 Панель ПС 62.12.2,0 1.030.1-1/88.2-1-7 Панель ПС 62.18.2,0 1.030.1-1/88.2-1-8 Панель ПС 65.9.2,0 1.030.1-1/88.2-1-9 Панель ПС 65.12.2,0 1.030.1-1/88.2-1-10 Панель ПС 65.18.2,0 1.030.1-1/88.2-1-11 Панель ПС 30.9.2,0; ПС 30.12.2,0; ПС 30.18.2,0 1.030.1-1/88.2-1-12 Панель ПС 30.12.2,0; ПС 30.18.2,0; ПС 30.24.2,0 1.030.1-1/88.2-1-13 Панель простенка ПС 15.12.2,0; ПС 15.18.2,0; ПС 15.24.2,0 1.030.1-1/88.2-1-14 Панель простенка ПС 12.12.2,0; ПС 12.18.2,0; ПС 12.24.2,0 1.030.1-1/88.2-1-15 Панель простенка ПС 6.12.2,0; ПС 6.18.2,0; ПС 6.24.2,0 1.030.1-1/88.2-1-16 Панель простенка 3ПС 4.9.2,0; 3ПС 4.12.2,0; 3ПС 4.18.2,0 1.030.1-1/88.2-1-17 Узлы 1… 8 | Расположен в: |
|
        
|