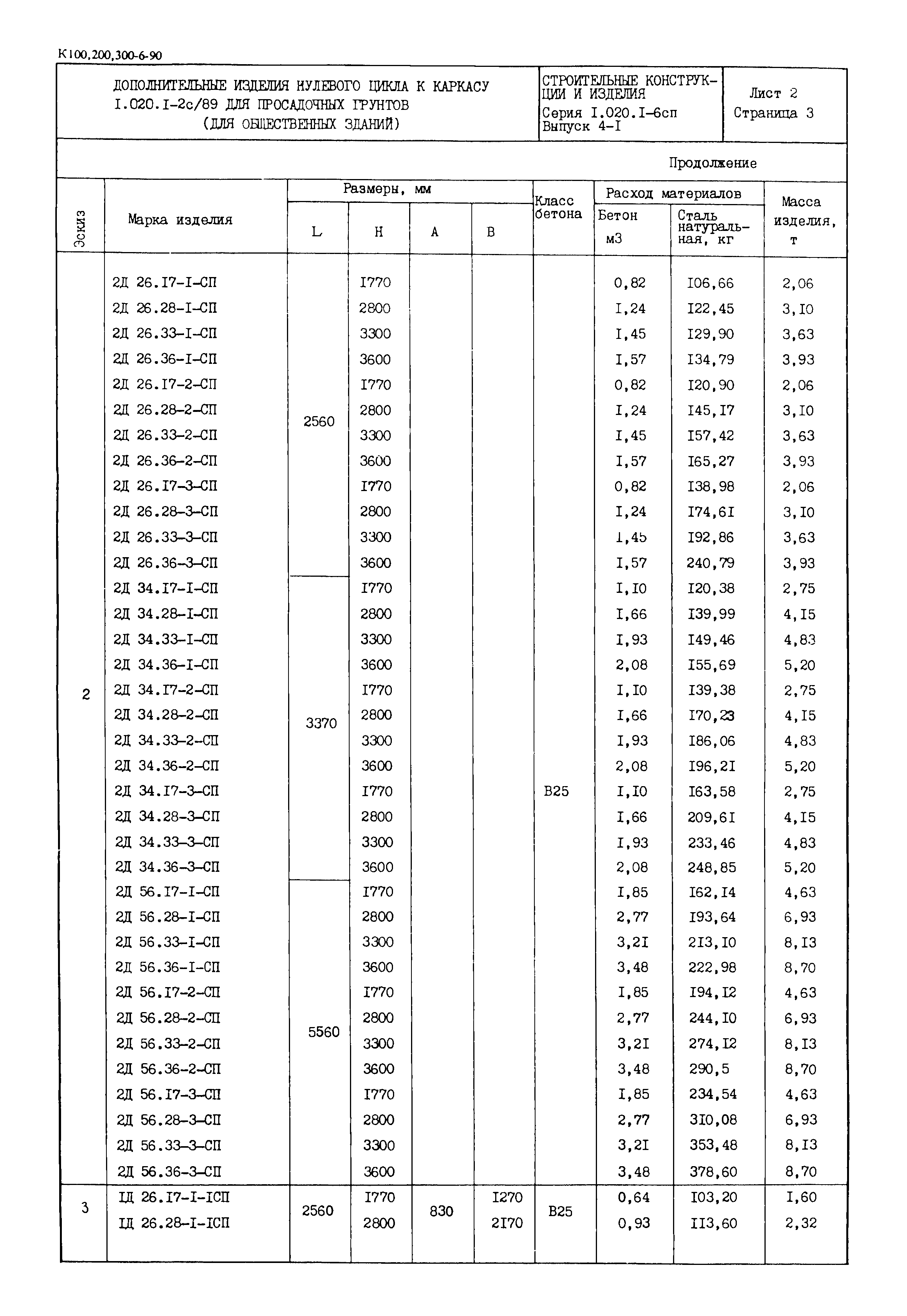
Скачать Серия 1.020.1-6сп Выпуск 4-1. Диафрагмы жесткости. Рабочие чертежиДата актуализации: 10.08.2017 Серия 1.020.1-6сп
Выпуск 4-1. Диафрагмы жесткости. Рабочие чертежиОбозначение: | Серия 1.020.1-6сп | Обозначение англ: | Series 1.020.1-6сп | Статус: | не определен законодательством | Название рус.: | Выпуск 4-1. Диафрагмы жесткости. Рабочие чертежи | Дата добавления в базу: | 01.09.2013 | Дата актуализации: | 05.05.2017 | Дата введения: | 01.07.1990 | Расположен в: |
|
     
|