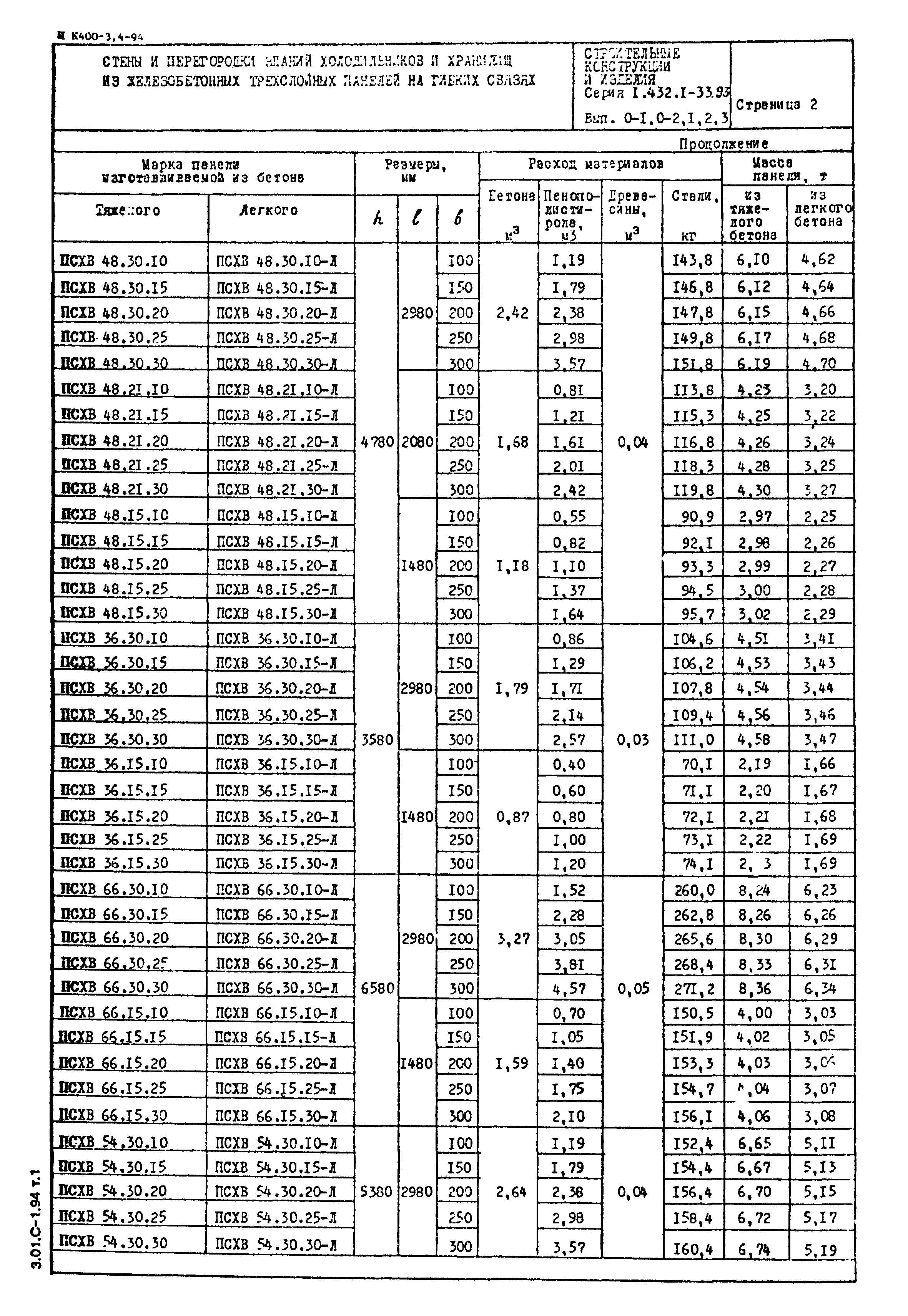
Скачать Серия 1.432.1-33.93 Стены и перегородки зданий холодильников и хранилищ из железобетонных трехслойных панелей на гибких связяхДата актуализации: 10.08.2017 Серия 1.432.1-33.93
Стены и перегородки зданий холодильников и хранилищ из железобетонных трехслойных панелей на гибких связяхОбозначение: | Серия 1.432.1-33.93 | Обозначение англ: | Series 1.432.1-33.93 | Статус: | не определен законодательством | Название рус.: | Стены и перегородки зданий холодильников и хранилищ из железобетонных трехслойных панелей на гибких связях | Дата добавления в базу: | 01.09.2013 | Дата актуализации: | 05.05.2017 | Дата введения: | 01.05.1994 | Расположен в: |
|
     
|