Информационная система
«Ёшкин Кот»

Скачать базу одним архивом
Скачать обновления
История создания базы
Карта сайта

Скачать Серия 1.432.1-22 Выпуск 0. Материалы для проектирования

Дата актуализации: 10.08.2017

Серия 1.432.1-22

Выпуск 0. Материалы для проектирования

Обозначение: Серия 1.432.1-22
Обозначение англ: Series 1.432.1-22
Статус:не действует
Название рус.:Выпуск 0. Материалы для проектирования
Дата добавления в базу:01.09.2013
Дата актуализации:05.05.2017
Дата введения:01.05.1999
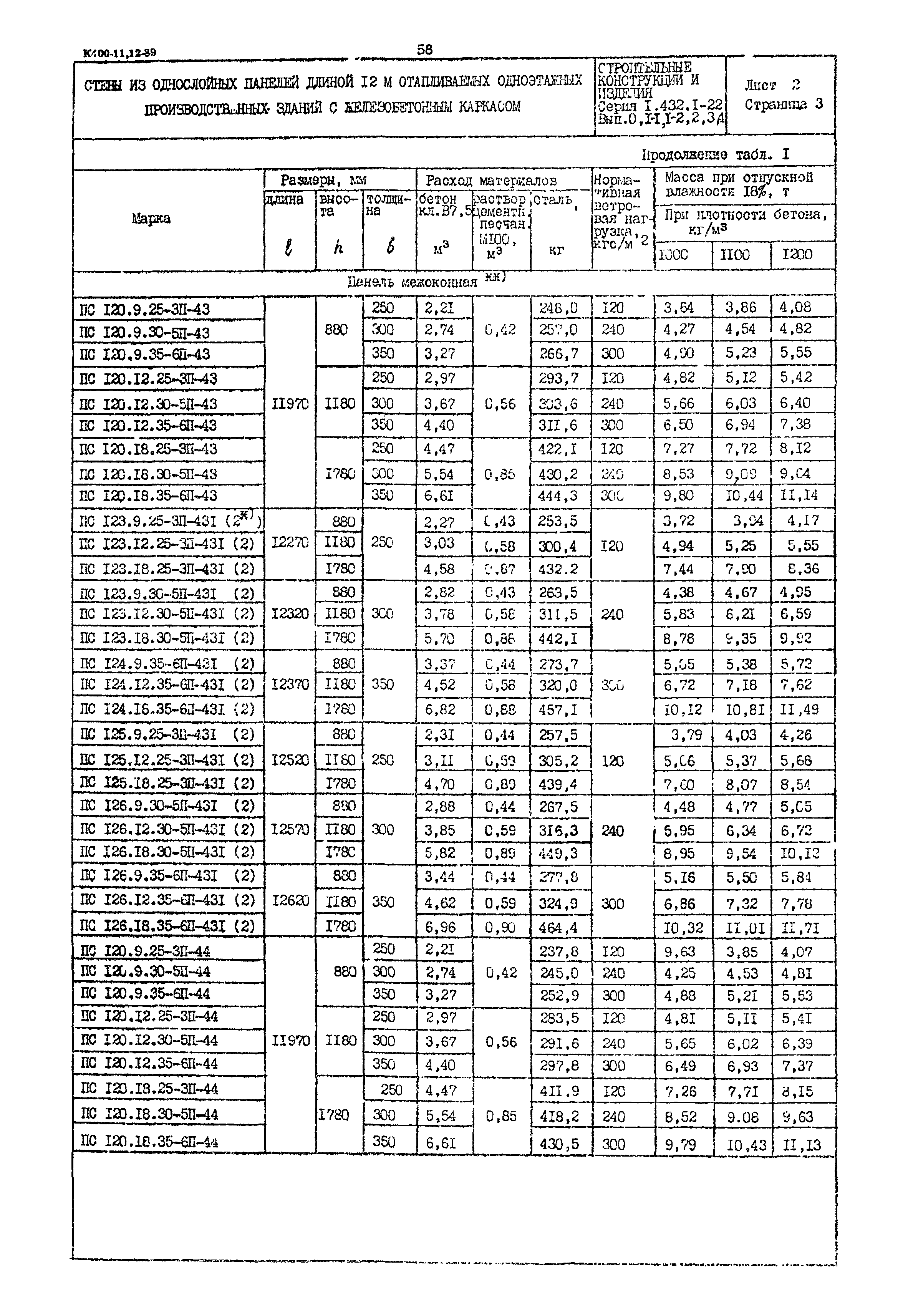
Область применения:Стены предназначены для отапливаемых одноэтажных производственных зданий с железобетонным каркасом, с шагом крайних колонн 12 м, с относительной влажностью воздуха внутри помещений до 75 %, строящихся в несейсмических районах с сухим, нормальным и влажным климатом
Расположен в:Техническая документация
Серия 1.432.1-22Серия 1.432.1-22Серия 1.432.1-22Серия 1.432.1-22Серия 1.432.1-22Серия 1.432.1-22Серия 1.432.1-22Серия 1.432.1-22Серия 1.432.1-22

© 2013 Ёшкин Кот :-) Карта сайта