Информационная система
«Ёшкин Кот»

XXXecatmenu

ФЕДЕРАЛЬНАЯ СЛУЖБА ПО НАДЗОРУ
В СФЕРЕ ПРИРОДОПОЛЬЗОВАНИЯ

УТВЕРЖДАЮ

И.о. директора ФБУ «Федеральный
центр анализа и оценки техногенного
воздействия»

______________________ А.Б. Сучков

«14» июня 2013 г.

КОЛИЧЕСТВЕННЫЙ ХИМИЧЕСКИЙ АНАЛИЗ ВОД

МЕТОДИКА ИЗМЕРЕНИЙ МАССОВОЙ
КОНЦЕНТРАЦИИ РТУТИ В ПИТЬЕВЫХ,
ПРИРОДНЫХ И СТОЧНЫХ ВОДАХ
МЕТОДОМ БЕСПЛАМЕННОЙ ААС

ПНД Ф 14.1:2:4.260-2010

Методика допущена для целей государственного
экологического контроля

МОСКВА 2010 г.

(Издание 2013 г.)

1 ОБЩИЕ ПОЛОЖЕНИЯ И ОБЛАСТЬ ПРИМЕНЕНИЯ

Настоящий документ устанавливает методику количественного химического анализа различных типов вод с целью измерения массовой концентрации ртути методом беспламенной атомно-абсорбционной спектрометрии. Методика распространяется на следующие объекты анализа: воды питьевые, в том числе расфасованные в емкости; воды природные пресные, в том числе поверхностных и подземных источников водоснабжения; воды сточные производственные, хозяйственно-бытовые, ливневые и очищенные. Диапазон измерений массовых концентраций в питьевой и природной воде составляет от 0,0001 до 0,01 мг/дм3, в сточной воде от 0,0002 до 0,1 мг/дм3.

Если массовая концентрация ртути в анализируемой пробе превышает верхнюю границу указанного диапазона, то допускается разбавление пробы, но не более, чем в 100 раз. Продолжительность одного элементоопределения, включая время, необходимое для приготовления градуировочных растворов, подготовки пробы, прогрева лампы и построения градуировочного графика, 2 часа. Продолжительность одного элементоопределения в серии из 10 проб - 30 минут.

Блок-схема проведения анализа при определении общего содержания ртути приведена в приложении.

2 НОРМАТИВНЫЕ ССЫЛКИ

ГОСТ 12.0.004-90 Система стандартов безопасности труда. Организация обучения безопасности труда. Общие положения

ГОСТ 12.1.004-91 Система стандартов безопасности труда. Пожарная безопасность. Общие требования

ГОСТ 12.1.007-76 Система стандартов безопасности труда. Вредные вещества. Классификация и общие требования безопасности

ГОСТ 12.4.009-83 Система стандартов безопасности труда. Пожарная техника для защиты объектов. Основные виды. Размещение и обслуживание

ГОСТ 1770-74 Посуда мерная лабораторная стеклянная. Цилиндры, мензурки, колбы, пробирки. Общие технические условия

ГОСТ 4146-74 Реактивы. Калий надсернокислый. Технические условия

ГОСТ 5456-79 Реактивы. Гидроксиламина гидрохлорид. Технические условия

ГОСТ 6709-72 Вода дистиллированная. Технические условия

ГОСТ 10157-79 Аргон газообразный и жидкий. Технические условия

ГОСТ 11125-84 Кислота азотная особой чистоты. Технические условия

ГОСТ 14261-77 Кислота соляная особой чистоты. Технические условия

ГОСТ 14262-78 Кислота серная особой чистоты. Технические условия

ГОСТ 14919-83 Электроплиты, электроплитки и жарочные электрошкафы бытовые. Общие технические условия

ГОСТ 20490-75 Реактивы. Калий марганцовокислый. Технические условия

ГОСТ 25336-82 Посуда и оборудование лабораторные стеклянные. Типы, основные параметры и размеры

ГОСТ 27384-2002 Вода. Нормы погрешностей измерений показателей состава и свойств

ГОСТ 28311-89 Дозаторы медицинские лабораторные. Общие технические требования и методы испытаний

ГОСТ 29227-91 Посуда лабораторная стеклянная. Пипетки градуированные. Часть 1. Общие требования

ГОСТ Р 12.1.019-2009 Система стандартов безопасности труда. Электробезопасность. Общие требования и номенклатура видов защиты

ГОСТ Р ИСО 5725-6-2002 Точность (правильность и прецизионность) методов и результатов измерений. Часть 6. Использование значений точности

ГОСТ Р 51592-2000 Вода. Общие требования к отбору проб

ГОСТ Р 51593-2000 Вода питьевая. Отбор проб

ГОСТ Р 52501-2005 Вода для лабораторного анализа. Технические условия

ГОСТ Р 53228-2008 Весы неавтоматического действия. Часть 1. Метрологические и технические требования. Испытания

Примечание - Если ссылочный стандарт заменен (изменен), то следует руководствоваться заменяющим (измененным) стандартом. Если ссылочный стандарт отменен без замены, то положение, в котором дана ссыпка на него, применяется в части, не затрагивающей эту ссылку.

3 ПРИПИСАННЫЕ ХАРАКТЕРИСТИКИ ПОКАЗАТЕЛЕЙ ТОЧНОСТИ ИЗМЕРЕНИЙ

Настоящая методика обеспечивает получение результатов анализа с погрешностями, не превышающими значений, приведенных в таблице 1. Приписанные погрешности измерений не превышают нормы погрешностей, установленные ГОСТ 27384.

4 МЕТОД ИЗМЕРЕНИЙ

Метод основан на измерении поглощения резонансного излучения атомным паром ртути при длине волны 253,7 нм и определении общего содержания ртути после ее окисления до Hg (II), восстановления Hg (II) до элементного состояния хлоридом олова (II).

Примечание - При использовании системы амальгамирования образовавшаяся свободная ртуть сорбируется на золотой сетки с образованием амальгамы, при нагревании последней, ртуть десорбируется с золотой сетки и поступает в кварцевую ячейку, где измеряется абсорбция резонансного излучения атомным паром ртути.

Таблица 1 - Диапазон измерений, значения показателей точности, воспроизводимости и повторяемости

Диапазон измерений,

мг/дм3

Показатель повторяемости

(стандартное отклонение повторяемости),

σr, %

Показатель воспроизводимости

(стандартное отклонение воспроизводимости)

σR, %

Показатель точности

(границы относительной погрешности при Р = 0,95),

±δ, %

Питьевая и природные воды

от 0,0001 до 0,0005 вкл.

12

23,5

47

св. 0,0005 до 0,001 вкл.

10

20

40

св. 0,001 до 0,01 вкл.

8

16

32

Сточные воды

от 0,0002 до 0,001 вкл.

10

20

40

св. 0,001 до 0,05 вкл.

8

16

32

св. 0,05 до 0,1 вкл.

6

12,5

25

Примечание - Показатель точности измерений соответствует расширенной неопределенности при коэффициенте охвата k = 2

5 СРЕДСТВА ИЗМЕРЕНИЙ. ВСПОМОГАТЕЛЬНЫЕ УСТРОЙСТВА. РЕАКТИВЫ И МАТЕРИАЛЫ

5.1 Средства измерений, вспомогательное оборудование, лабораторная посуда

5.1.1 Анализатор ртути автоматический, например, Cetac М-6000А (Фирмы "Cetac Technologies Inс.", США), Hydra II (фирмы Teledyne Leeman Labs, США) или приставка для определения ртути к атомно-абсорбционному спектрометру, например, MHS-10 или аналогичная, приставка с проточно-инжекционной системой, например, FIAS-400 (фирмы Perkin Elmer, США) в комбинации с системой амальгамирования или без нее.

5.1.2 Государственные стандартные образцы (ГСО) состава водного раствора ионов ртути массовой концентрации 1,0 мг/см3 или 0,1 мг/см3 с погрешностью аттестованного значения не более 1 % при доверительной вероятности Р = 0,95.

5.1.3 Дистиллятор или установка любого типа для получения воды дистиллированной по ГОСТ 6709 или воды для лабораторного анализа 2 степени чистоты по ГОСТ Р 52501.

5.1.4 Дозаторы медицинские лабораторные настольные (устанавливаемые на сосуд) или ручные, одноканальные с фиксированным или варьируемым объёмом дозирования но ГОСТ 28311.

5.1.5 Весы лабораторные специального или высокого класса точности по ГОСТ Р 53228.

5.1.6 Емкости из стекла (или пластика) для хранения проб вместимостью (250 - 500) см3.

5.1.7 Колбы мерные вместимостью 25; 50; 100; 250; 500; 1000 см3, по ГОСТ 1770, 2 класс точности.

5.1.8 Колбы конические вместимостью 250 см3 по ГОСТ 25336.

5.1.9 Пипетки мерные вместимостью 1; 2; 5; 10; 25 см3, по ГОСТ 29227, 2 класс точности.

5.1.10 Плитка электрическая по ГОСТ 14919 или баня песчаная.

5.1.11 Пробирки стеклянные или пластиковые вместимостью 15 см3 (для автосамплера).

5.1.12 Система для микроволновой минерализации с использованием закрытых стаканов, например, Mars 5 (CEM Corporation, США) или аналогичная.

5.1.13 Стаканы стеклянные вместимостью 50; 100; 250 см3, по ГОСТ 25336.

5.1.14 Стекла часовые.

5.1.15 Холодильник (любой модели), обеспечивающий хранение проб и растворов при температуре (2 - 10) °С.

5.1.16 Цилиндры мерные наливные вместимостью 100 и 1000 см3, по ГОСТ 1770, 2 класс точности.

Допускается использование средств измерения, вспомогательного оборудования, лабораторной посуды с аналогичными или лучшими метрологическими и техническими характеристиками.

5.2 Реактивы и материалы

5.2.1 Аргон газообразный, высший сорт, по ГОСТ 10157.

5.2.2 Вода дистиллированная по ГОСТ 6709 или для лабораторного анализа по ГОСТ Р 52501 (2-ой степени чистоты) (далее - вода дистиллированная).

5.2.3 Гидроксиламин солянокислый, NH2OH×HCl, ч.д.а., по ГОСТ 5456.

5.2.4 Калий марганцовокислый, KMnO4, ч.д.а., по ГОСТ 20490.

5.2.5 Калий надсернокислый, K2S2O8, ч.д.а., по ГОСТ 4146.

5.2.6 Кислота азотная, HNO3, ос.ч., по ГОСТ 11125.

5.2.7 Кислота серная, H2SO4, ос.ч., по ГОСТ 14262.

5.2.8 Кислота соляная, HCl, ос.ч., по ГОСТ 14261.

5.2.9 Магний перхлорат, Mg(ClO4)2, ч., по ТУ 6-09-3880. (Используется в качестве осушителя в приборе Cetac M-6000A).

5.2.10 Олово двухлористое (II), 2-водное, SnCl2×2H2O, ч.д.а., по ТУ 2623-032-00205067.

5.2.11 Фильтры обеззоленные «белая лента» по ТУ 6-09-1678 или аналогичные.

5.2.12 Фильтры мембранные с диаметром пор 5,0; 0,45 мкм тип МФА-МА по ТУ 6-05-1903 или аналогичные.

Допускается использование реактивов более высокой квалификации, а также материалов с аналогичными или лучшими характеристиками.

6 УСЛОВИЯ БЕЗОПАСНОГО ПРОВЕДЕНИЯ РАБОТ

6.1 При выполнении анализов необходимо соблюдать требования техники безопасности при работе с химическими реактивами по ГОСТ 12.1.007.

6.2 При работе с оборудованием необходимо соблюдать правила электробезопасности по ГОСТ Р 12.1.019.

6.3 Обучение работающих безопасности труда должно быть организовано в соответствии с ГОСТ 12.0.004.

6.4 Помещение лаборатории должно соответствовать требованиям пожарной безопасности по ГОСТ 12.1.004 и иметь средства пожаротушения по ГОСТ 12.4.009.

7 ТРЕБОВАНИЯ К КВАЛИФИКАЦИИ ОПЕРАТОРА

7.1 К выполнению измерений и обработке их результатов допускаются лица, имеющие среднее специальное или высшее образование химического профиля, владеющие методом атомной абсорбции, прошедшие соответствующую подготовку, знающие принцип действия, конструкцию и правила эксплуатации используемого оборудования.

7.2 К выполнению работ по пробоподготовке допускаются лица, имеющие среднее специальное образование или высшее образование химического профиля, обученные методике подготовки проб.

8 УСЛОВИЯ ВЫПОЛНЕНИЯ ИЗМЕРЕНИЙ

При выполнении измерений в лаборатории должны быть соблюдены следующие условия:

температура воздуха

от 20 до 28 °С

относительная влажность воздуха

не более 80 % при 25 °С

напряжение в сети

(220 ± 22) В.

9 ОТБОР И ХРАНЕНИЕ ПРОБ

9.1 Отбор проб воды осуществляют в соответствии с ГОСТ Р 51592 и ГОСТ Р 51593.

9.2 Пробы воды объемом не менее 200 см3 отбирают в емкости из стекла или пластика.

9.3 Техника отбора проб зависит от цели анализа:

9.3.1 При определении общего (валового) содержания ртути, сразу после отбора пробы воды подкисляют концентрированной азотной кислотой, доводя pH проб до значения меньшего или равного 1 ед. pH (из расчета 3,5 - 4 см3 концентрированной HNO3 на 1 дм3 пробы). Пробы хранят не более двух суток при температуре (2 - 10) °С.

Если анализ проводят в срок от 2 до 30 суток, то кроме азотной кислоты добавляют 5 % раствор марганцовокислого калия до розовой окраски пробы (обычно 4 - 5 см3 на 1 дм3 пробы).

9.3.2 При раздельном определении растворенной и нерастворенной ртути исследуемую пробу фильтруют через мембранный фильтр 0,45 мкм. К фильтрату добавляют азотную кислоту и раствор марганцовокислого калия, как указано выше.

Примечание - При консервации и проведении анализа проб воды, а также холостого опыта необходимо использовать одни и те же партии реактивов и материалов.

9.4 Законсервированные раствором марганцовокислого калия пробы можно хранить не более 30 суток при температуре (2 - 10) °С.

9.5 При отборе проб составляется сопроводительный документ по утвержденной форме, в котором указывается:

- цель анализа

- место, дата, время отбора;

- шифр пробы;

- должность, фамилия сотрудника, отбирающего пробу.

10 ПОДГОТОВКА К ВЫПОЛНЕНИЮ ИЗМЕРЕНИЙ

10.1 Подготовка аппаратуры

Подготовку используемого оборудования: спектрометра, ртуть-гидридной приставки, проточно-инжекционной системы, системы амальгамирования и анализатора ртути к работе проводят в соответствии с инструкциями по эксплуатации. Рекомендуемые условия определения ртути на приставке MHS-10 приведены в таблице 2, с использованием проточно-инжекционной системы FIAS-400 с системой амальгамирования - в таблице 3, на анализаторе ртути Cetac M-6000A - в таблице 4 и 5.

Таблица 2 - Условия определения ртути с использованием ртуть-гидридной приставки MHS-10

Длина волны, нм

Давление аргона

Спектральная ширина щели прибора, нм

253,7

50,7 кПа (0,5 атм)

0,7

Таблица 3 - Условия определения ртути с использованием проточно-инжекционной системы FIAS-400 с системой амальгамировании

Шаг

Время, с

Скорость перистальтических насосов, об/мин

Положение вентиля

Считывание сигнала

Такт системы амальгамирования

1

2

нагрев

охлаждение

Подача аргона

0

15

100

40

заполн.

 

 

*

*

1

10

100

40

заполн.

 

 

*

*

2

25

0

80

впрыск.

 

 

*

*

3

10

0

40

заполн.

 

 

*

*

4

25

0

40

заполн.

*

*

 

 

5

10

0

40

заполн.

 

 

*

+

Шаги 1 - 2 повторяют дважды. Для повышения чувствительности анализа число повторов можно увеличить.

Таблица 4 - Условия определения ртути с использованием анализатора ртути Cetac M-6000A

Длина волны, нм

Скорость подачи аргона, см3/мин

Скорость подачи пробы, см3/мин

Скорость подачи реагента, см3/мин

253,7

100

4

1,5

При определении ртути в диапазоне массовых концентраций (0,0001 - 0,0005) мг/дм3 в природной и питьевой воде с использованием анализатора Cetac M-6000A выбирают режим наивысшей чувствительности.

Таблица 5 - Условия определения ртути с использованием анализатора ртути Cetac M-6000A (режим наивысшей чувствительности)

Длина волны, нм

Скорость подачи аргона, см3/мин

Скорость подачи пробы, см3/мин

Скорость подачи реагента, см3/мин

Продолжитель­ность подачи пробы, сек

Корректировка фона

253,7

40

4

1,5

60

по двум точкам

Примечание - Значения параметров, приведённых в таблицах 2 - 5, могут меняться в зависимости от технического состояния прибора, износа газовых фильтров и т.п. и подбираются экспериментально до получения максимальных значений сигналов абсорбции.

Остальные условия проведения анализа выбираются в соответствии с руководством по эксплуатации анализатора.

10.2 Приготовление растворов

10.2.1 Раствор азотной кислоты объёмной доли 5 %

В мерной колбе вместимостью 1 дм3 к небольшому количеству дистиллированной воды прибавляют 50 см3 концентрированной азотной кислоты, отмеренные цилиндром, доводят объем до метки дистиллированной водой и тщательно перемешивают. Срок хранения раствора - 3 месяца при температуре окружающей среды.

10.2.2 Раствор марганцовокислого калия массовой доли 5 %

(5,0 ± 0,1) г марганцовокислого калия (KMnO4) растворяют в небольшом количестве дистиллированной воды, доводят объем раствора до 100 см3 и перемешивают. Раствор хранят в бутылях из темного стекла с притертой пробкой. Срок хранения раствора - 3 месяца при температуре окружающей среды.

10.2.3 Раствор надсернокислого калия массовой доли 5 %

(5,0 ± 0,1) г надсернокислого калия (K2S2O8) растворяют в небольшом количестве дистиллированной воды и доводят объем раствора до 100 см3. Раствор используют в день приготовления.

10.2.4 Раствор гидроксиламина гидрохлорида массовой доли 20 %

(5,0 ± 0,1) г гидроксиламина солянокислого (NH2OH×HCl) растворяют в небольшом количестве дистиллированной воды и доводят объем раствора до 25 см3. Срок хранения раствора - 1 месяц при температуре (2 - 10) °С.

10.2.5 Градуировочные растворы

При использовании ртуть-гидридной приставки и проточно-инжекционной системы

Вскрывают ампулу стандартного раствора ртути массовой концентрации 1 мг/см3. Пипеткой 1 см3 стандартного раствора переносят в мерную колбу вместимостью 100 см3, добавляют 1 - 2 капли 5 % раствора марганцовокислого калия и доводят объем до метки 5 % раствором азотной кислоты. Полученный рабочий раствор содержит 10 мг/дм3 ртути. Срок хранения раствора - 1 месяц при температуре (2 - 10) °С.

Градуировочные растворы готовят путем разбавления рабочего раствора 5 % раствором HNO3, предварительно добавляя в каждую мерную колбу по 1 - 2 капли 5 % раствора KMnO4 (рис. 1). Градуировочные растворы используют в день приготовления.

Рисунок 1 - Схема приготовления градуировочных растворов при
определении ртути

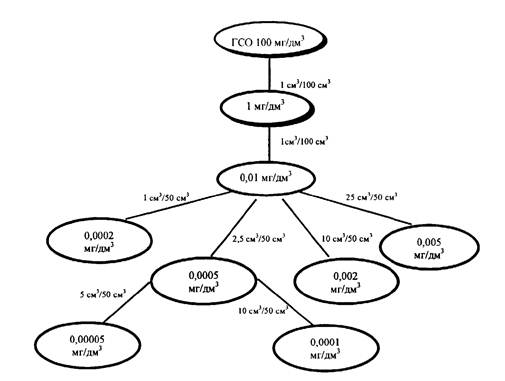
При использовании анализатора ртути Cetac M-6000A и Hydra II

Вскрывают ампулу стандартного раствора ртути массовой концентрации 100 мг/дм3. Пипеткой 1 см3 стандартного раствора переносят в мерную колбу вместимостью 100 см3, добавляют 1 - 2 капли 5 % раствора марганцовокислого калия и доводят объем до метки 5 % раствором азотной кислоты. Полученный рабочий раствор содержит 1 мг/дм3 ртути.

Градуировочные растворы готовят путем разбавления рабочего раствора 5 % раствором HNO3, предварительно добавляя в каждую мерную колбу по 1 - 2 капли 5 % раствора KMnO4 (рис. 2).

Градуировочные растворы используют в день приготовления.

Примечание - Рабочий раствор с содержанием ртути 1 мг/дм3 можно приготовить из ГСО ртути 1000 мг/дм3 путем последовательного разбавления сначала в 10 раз, затем в 100 раз.

Для определения содержания ртути от 0,0001 до 0,0005 мг/дм3 готовят градуировочные растворы с массовыми концентрациями 0,00005; 0,0001; 0,0002; 0,0005 мг/дм3 (рис. 2). Растворы с массовыми концентрациями 0,00005 и 0,0001 мг/дм3 готовят разбавлением раствора с массовой концентрацией 0,0005 мг/дм3 в 10 и 5 раз, соответственно, 5 % раствором азотной кислоты, добавляя 1 - 2 капли 5 % раствора перманганата калия. Градуировочные растворы используют в день приготовления.

Примечание - Допускается готовить градуировочные растворы с другими значениями массовых концентраций ртути в указанном диапазоне.

10.2.6 Раствор двухлористого олова массовой доли 10 % (при использовании ртутъ-гидридной приставки MHS-10 и ртутного анализатора Cetac M-6000A)

(119 ± 1) г двухлористого олова (SnCl2×2H2O) растворяют при нагревании на электроплитке или песчаной бане в 100 см3 концентрированной соляной кислоты. Если раствор мутный, его фильтруют через бумажный фильтр «белая лента», предварительно смоченный дистиллированной водой. Раствор количественно переносят в мерную колбу вместимостью 1 дм3, доводят до метки дистиллированной водой и перемешивают. Раствор используют в день приготовления.

Рисунок 2 - Схема приготовления градуировочных растворов при
определении ртути на автоматическом анализаторе Cetac M-6000A и Hydra II.

10.2.7 Раствор соляной кислоты молярной концентрации / моль/дм3 (при использовании проточно-инжекционной системы FIAS-400)

В мерной колбе вместимостью 1 дм3 к небольшому количеству дистиллированной воды прибавляют 85 см3 концентрированной соляной кислоты, доводят объем до метки дистиллированной водой и тщательно перемешивают. Срок хранения раствора - 6 месяцев при температуре окружающей среды.

10.2.8 Раствор двухлористого олова массовой доли 3 % (при использовании проточно-инжекционной системы FIAS-400)

(36 ± 1) г двухлористого олова (SnCl2×2H2O) растворяют при нагревании на электроплитке или песчаной бане в 30 см3 концентрированной соляной кислоты. Если раствор мутный, его фильтруют через бумажный фильтр «белая лента», предварительно смоченный дистиллированной водой. Раствор количественно переносят в мерную колбу вместимостью 1 дм3, доводят до метки дистиллированной водой и перемешивают. Раствор используют в день приготовления.

10.3 Установление градуировочной характеристики

10.3.1 Регистрируют абсорбцию ртути в градуировочных растворах в порядке возрастания массовых концентраций определяемого элемента в соответствии с инструкциями по эксплуатации аппаратуры.

10.3.2 Градуировочную характеристику, отражающую зависимость показаний прибора от массовой концентрации ртути (мг/дм3), устанавливают по среднеарифметическим результатам двух измерений каждого градуировочного раствора. Через каждые десять проб повторяют измерение одного из градуировочных растворов (Reslope). В случае, если измеренная массовая концентрация ртути в градуировочном растворе отличается от истинной менее, чем на 10 %, прибор автоматически корректирует градуировочную характеристику. В случае отклонения измеренной массовой концентрации более, чем на 10 %, градуировку повторяют полностью.

11 ВЫПОЛНЕНИЕ ИЗМЕРЕНИЙ

11.1 Подготовка аппаратуры

Подготовку анализатора ртути, ртуть-гидридной приставки, автосамплера, проточно-инжекционной системы и системы амальгамирования к работе проводят в соответствии с инструкциями по эксплуатации.

11.2 Подготовка пробы к выполнению измерений

Способ пробоподготовки воды зависит от задач анализа:

а) При определении общего содержания ртути 100 см3 анализируемой пробы воды помещают в стаканы или конические колбы, добавляют 2,5 см3 концентрированной серной кислоты и 1 см3 концентрированной азотной кислоты, каждый раз хорошо перемешивая. Добавляют 2 см3 5 % раствора марганцовокислого калия до получения интенсивной розовой окраски. Если окраска слабая добавляют еще раствор марганцовокислого калия (не более 13 см3). Затем добавляют 8 см3 раствора надсернокислого калия, нагревают в течение 2 часов на песчаной бане, не доводя до кипения, и охлаждают до температуры окружающей среды. Вместо нагревания можно оставить обработанные окислителями пробы на 12 - 24 часа при температуре окружающей среды, закрыв колбы пробками или прикрыв стаканы часовыми стеклами (см. приложение).

Примечание - При использовании микроволновой минерализации пробы сточной воды подвергают кислотному озолению в микроволновой печи в закрытых сосудах. Для этого в стакан, предназначенный дня микроволновой печи, наливают 50 см3 нефильтрованной, хорошо перемешанной пробы воды, законсервированной азотной кислотой, и добавляют ещё 2 см3 концентрированной азотной кислоты. Закрытые подготовленные стаканы вставляют в турель микроволновой печи и проводят разложение. После охлаждения до температуры окружающей среды пробы фильтруют через мембранный фильтр 0,45 мкм, переносят в емкости для измерений и добавляют раствор марганцовокислого калия до розовой окраски (обычно 1 - 2 капли на 10 см3 пробы). Минерализованные пробы с добавкой марганцовокислого калия могут храниться в течение 10 суток при температуре окружающей среды.

Данный способ минерализации проб применим в течение суток с момента отбора.

б) При определении растворенной ртути исследуемую пробу сразу же после отбора фильтруют через мембранный фильтр 0,45 мкм. Фильтрат консервируют по п. 9.3.1 и обрабатывают как указано в п. 11.2.а.

Содержание нерастворенной ртути рассчитывают по разности общего содержания ртути и ее растворенной формы.

Параллельно с анализируемыми пробами воды аналогичной обработке подвергают холостую пробу.

11.3 Выполнение измерений

Каждую пробу после пробоподготовки анализируют на приборе не менее двух раз и по среднему арифметическому значению рассчитывают массовую концентрацию ртути (либо автоматически с помощью программного обеспечения прибора).

Примечание - В случае использования анализатора ртути Cetac M-6000A в пробирки отливают не менее 5 см3 подготовленной пробы, перед измерением на приборе добавляют 1 - 2 капли 20 % раствор гидроксиламина гидрохлорида до обесцвечивания смеси и проводят измерение содержания ртути в соответствии с программным обеспечением анализатора.

12 ОБРАБОТКА РЕЗУЛЬТАТОВ ИЗМЕРЕНИЙ

Массовую концентрацию ртути (X, мг/дм3) рассчитывают по формуле:

X = AK,

где:

A - массовая концентрация ртути в анализируемой пробе воды, найденная по градуировочному графику или рассчитанная с использованием градуировочных коэффициентов, мг/дм3;

K - коэффициент разбавления при подготовке пробы.

13 ОФОРМЛЕНИЕ РЕЗУЛЬТАТОВ ИЗМЕРЕНИЙ

13.1 Результаты измерений в протоколах анализов представляют в виде:

X ± Δ, мг/дм3, Р = 0,95,

где Δ = 0,01 ∙ δX,

δ - значение показателя точности, % (см. табл. 1).

13.2 Результаты измерений заносят в протокол анализа, округляя с точностью до:

при массовой концентрации ртути

от 0,0001 до 0,001 мг/дм3 вкл.

- 0,00001 мг/дм3;

от 0,001 до 0,01 мг/дм3 вкл.

- 0,0001 мг/дм3;

от 0,01 до 0,1 мг/дм3 вкл.

- 0,001 мг/дм3.

14 ОЦЕНКА ПРИЕМЛЕМОСТИ РЕЗУЛЬТАТОВ ИЗМЕРЕНИЙ

14.1 При получении двух результатов измерений (X1, X2) в условиях повторяемости (сходимости) осуществляют проверку приемлемости результатов в соответствии с требованиями ГОСТ Р ИСО 5725-6 (раздел 5).

Результат измерений считают приемлемым при выполнении условия:

Значения пределов повторяемости (r) приведены в таблице 6.

14.2 При получении результатов измерений в двух лабораториях (Xлаб1, Xлаб2) проводят проверку приемлемости результатов измерений в соответствии с требованиями ГОСТ Р ИСО 5725-6 (раздел 5).

Результаты измерений Xлаб1 и Xлаб2, полученные в условиях воспроизводимости, считают приемлемыми при выполнении условия:

Значения пределов воспроизводимости (R) приведены в таблице 6.

Таблица 6 - Пределы повторяемости и воспроизводимости результатов измерений

Диапазон измерений, мг/дм3

Предел повторяемости

(при n = 2 и Р = 0,95), r, %

Предел воспроизводимости

(при n = 2 и Р = 0,95), R, %

Питьевые и природные воды

от 0,0001 до 0,0005 вкл.

34

66

св. 0,0005 до 0,001 вкл.

28

56

св. 0,001 до 0,01 вкл.

22

45

Сточные воды

от 0,0002 до 0,001 вкл.

28

56

св. 0,001 до 0,05 вкл.

22

45

св. 0,05 до 0,1 вкл.

17

35

15 КОНТРОЛЬ ТОЧНОСТИ РЕЗУЛЬТАТОВ ИЗМЕРЕНИЙ

15.1 В случае регулярного выполнения анализа по методике рекомендуется проводить контроль стабильности результатов измерений путем контроля среднеквадратического отклонения повторяемости, среднеквадратического отклонения внутрилабораторной прецизионности и погрешности в соответствии с рекомендациями ГОСТ Р ИСО 5725 (часть 6). Образцами для контроля (ОК) являются растворы, приготовленные с использованием ГСО водного раствора ртути или аналогичного стандартного раствора ртути, например, фирмы Perkin Elmer (США). Для приготовления ОК используют дистиллированную воду или рабочую пробу воды, не содержащую определяемый компонент. Периодичность контроля регламентируют во внутренних документах лаборатории.

15.2 Оперативный контроль точности результатов измерений рекомендуется проводить с каждой серией проб, если анализ по методике выполняется эпизодически, а также при возникновении необходимости подтверждения результатов измерений отдельных проб (при получении нестандартного результата измерений, результата, превышающего ПДК и т.п.).

В качестве образцов для контроля (ОК) используют растворы, приготовленные с использованием ГСО состава водного раствора ртути или аналогичного стандартного раствора ртути, например, фирмы PerkinElmer (США). Для приготовления ОК используют дистиллированную воду или рабочую пробу воды, не содержащую определяемый компонент.

Оперативный контроль процедуры измерений проводят путем сравнения результата отдельно взятой контрольной процедуры (Kк) с нормативом контроля (K).

Результат контрольной процедуры Кк рассчитывают по формуле

Kк = |X - C|,

где X - результат контрольного измерения массовой концентрации ртути в образце для контроля;

C - аттестованное значение массовой концентрации ртути в образце для контроля.

Норматив контроля K рассчитывают по формуле

K = Δл,

где Δл - характеристика погрешности аттестованного значения ртути в образце для контроля, установленная в лаборатории при реализации методики.

Примечание - На первом этапе проведения контроля после внедрения методики допускается считать Δл = 0,84 ∙ Δ, где Δ - приписанная характеристика погрешности методики, которую рассчитывают по формуле

Δ = 0,01 ∙ δ ∙ С

Значения δ приведены в таблице 1.

Качество контрольной процедуры признают удовлетворительным при выполнении условия:

KкK

При невыполнении условия контроль повторяют. При повторном невыполнении условия выясняют причины, приводящие к неудовлетворительным результатам.

ПРИЛОЖЕНИЕ

БЛОК-СХЕМА
определения общего содержания ртути

Содержание

1 Общие положения и область применения. 1

2 Нормативные ссылки. 1

3 Приписанные характеристики показателей точности измерений. 2

4 Метод измерений. 2

5 Средства измерений. вспомогательные устройства. реактивы и материалы.. 3

6 Условия безопасного проведения работ. 4

7 Требования к квалификации оператора. 4

8 Условия выполнения измерений. 4

9 Отбор и хранение проб. 5

10 Подготовка к выполнению измерений. 5

11 Выполнение измерений. 9

12 Обработка результатов измерений. 10

13 Оформление результатов измерений. 10

14 Оценка приемлемости результатов измерений. 10

15 Контроль точности результатов измерений. 11

Приложение. Блок-схема определения общего содержания ртути. 12

 

 



© 2013 Ёшкин Кот :-)