| ||||||||||||||||||||||||||||
Скачать ФЕРм 81-03-37-2001 Сборник 37. Оборудование общего назначения (редакция 2017 г.). Оборудование общего назначения. Федеральные единичные расценки на монтаж оборудованияДата актуализации: 10.08.2017
|
| Обозначение: | ФЕРм 81-03-37-2001 |
| Обозначение англ: | FERm 81-03-37-2001 |
| Статус: | действует |
| Название рус.: | Сборник 37. Оборудование общего назначения (редакция 2017 г.). Оборудование общего назначения. Федеральные единичные расценки на монтаж оборудования |
| Дата добавления в базу: | 05.05.2017 |
| Дата актуализации: | 05.05.2017 |
| Дата введения: | 28.04.2017 |
| Область применения: | Сборник предназначен для определения затрат на монтаж оборудования общего назначения, поставляемого в полностью собранном виде в состоянии полной монтажной и максимальной эксплуатационной готовности. |
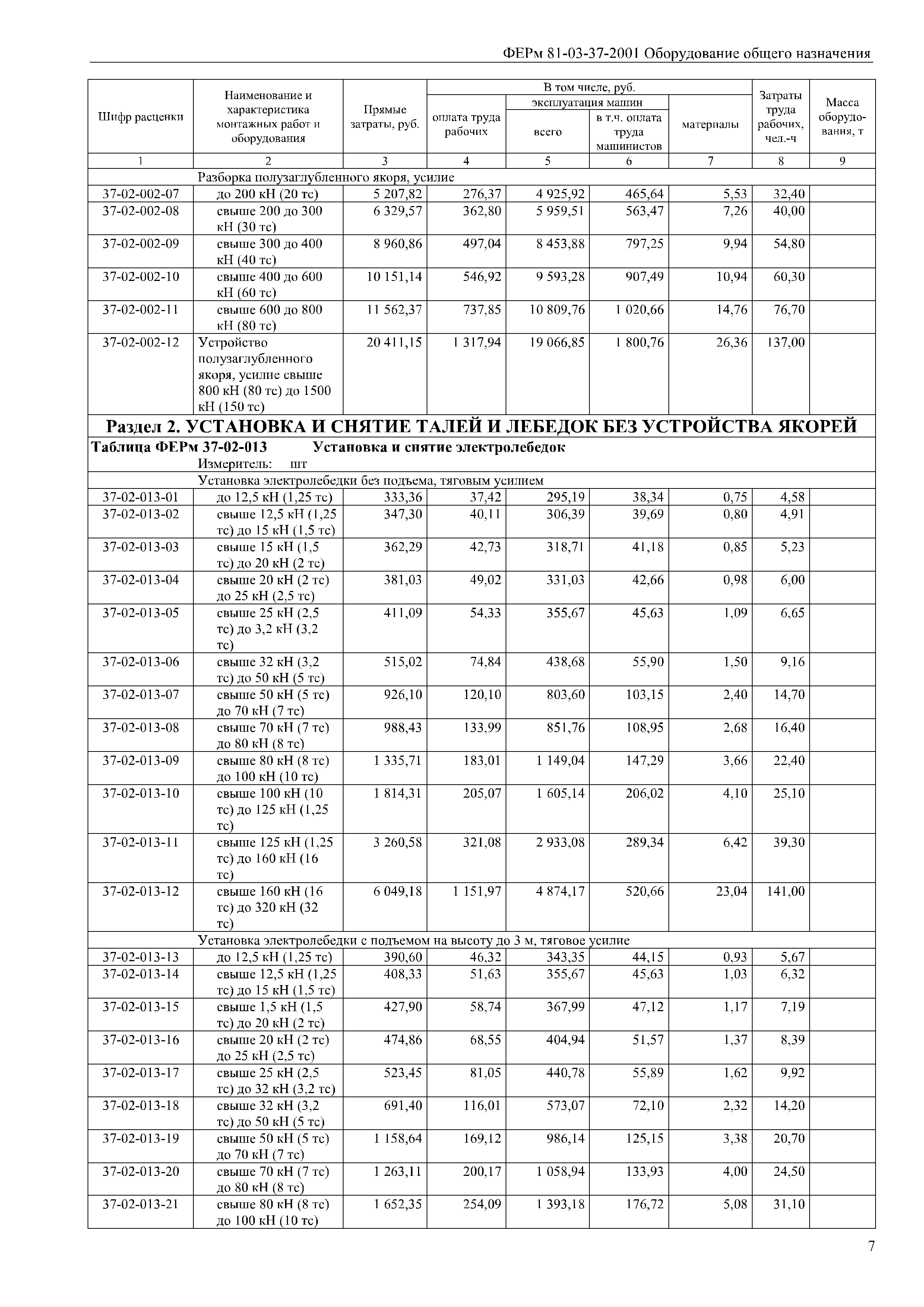
| Оглавление: | Отдел 1. Монтаж оборудования Раздел 1. Сосуды и аппараты без механизмов Раздел 2. Машины и механизмы Раздел 3. Гидравлическое испытание сосудов и аппаратов Раздел 4. Испытание машин и механизмов с электроприводом на холостом ходу Отдел 2. Такелажные работы Раздел 1. Устройство и разборка якорей Раздел 2. Установка и снятие талей и лебедок без устройства якорей Раздел 3. Установка и снятие монтажных блоков и полиспастов Раздел 4. Закрепление и снятие расчалок (оттяжек) Раздел 5. Установка и снятие треноги и опорной стойки Раздел 6. Устройство, разборка и передвижка рельсовых путей Приложения |
| Утверждён: | 30.12.2016 Минстрой России (Russian Federation Minstroy 1039/пр) |
| Расположен в: | |
| Заменяет собой: |




















