| ||||||||||||||||||||||||||||||||||
Скачать ФЕРм 2001-37 Часть 37. Оборудование общего назначения (редакция 2014 г.). Оборудование общего назначения. Федеральные единичные расценки на монтаж оборудованияДата актуализации: 10.08.2017
|
| Обозначение: | ФЕРм 2001-37 |
| Обозначение англ: | FERm 2001-37 |
| Статус: | не подлежит применению |
| Название рус.: | Часть 37. Оборудование общего назначения (редакция 2014 г.). Оборудование общего назначения. Федеральные единичные расценки на монтаж оборудования |
| Дата добавления в базу: | 01.10.2014 |
| Дата актуализации: | 05.05.2017 |
| Дата введения: | 28.04.2017 |
| Область применения: | Федеральные единичные расценки на монтаж оборудования предназначены для определения затрат при выполнении работ по монтажу оборудования и составления на их основе сметных расчетов (смет) на производство указанных работ. |
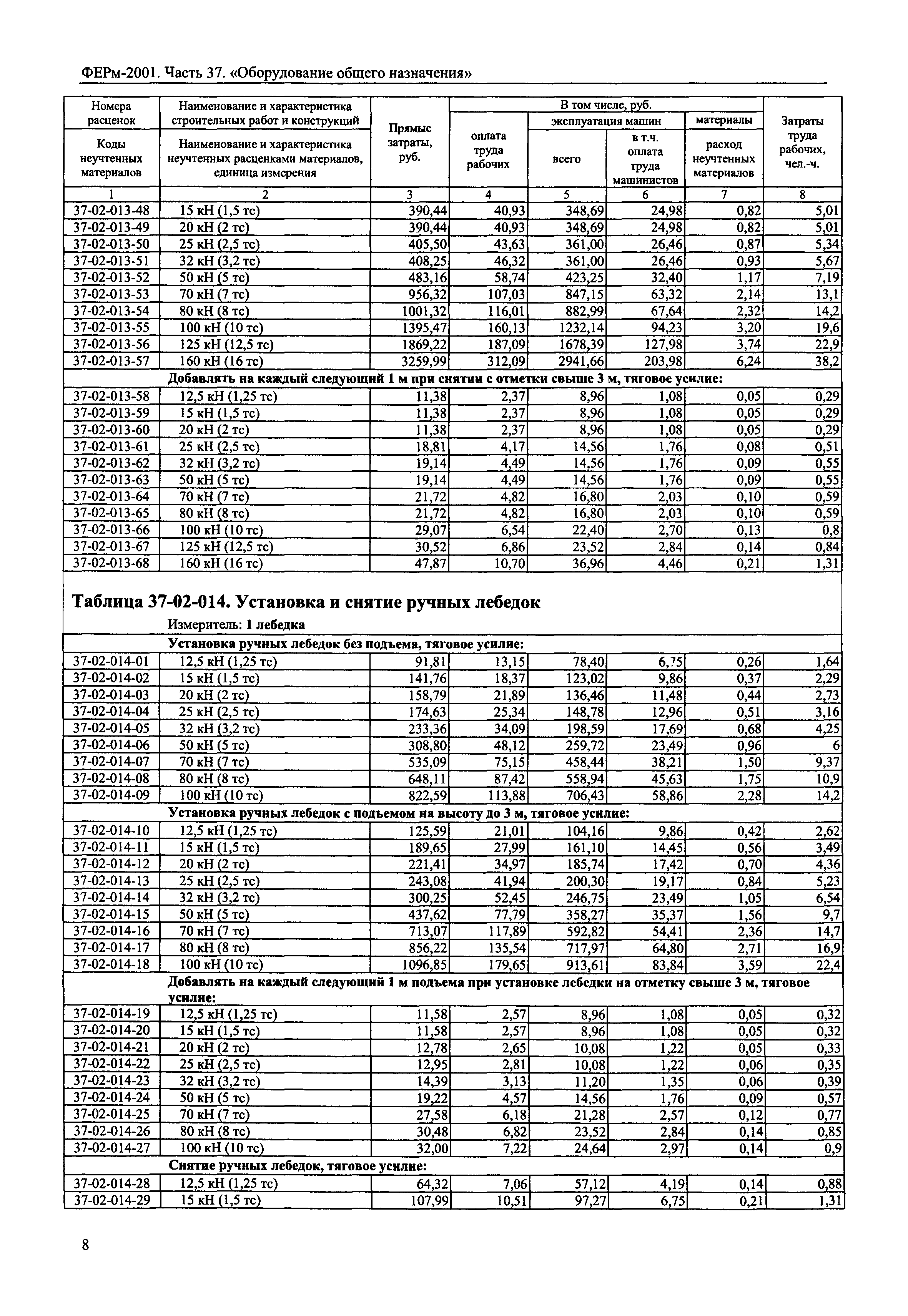
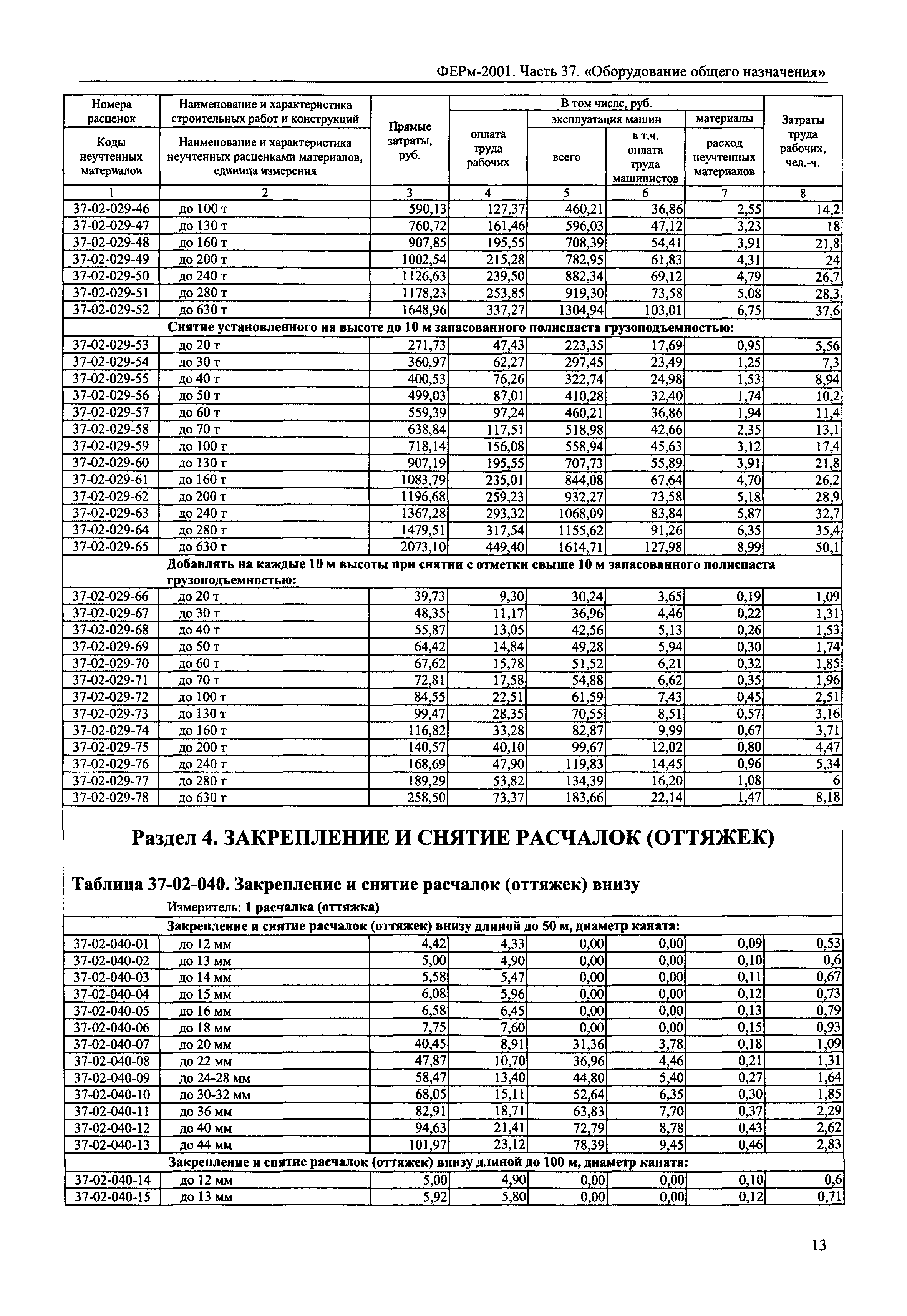
| Оглавление: | Отдел 01. Монтаж оборудования Раздел 1. Сосуды и аппараты без механизмов Раздел 2. Машины и механизмы Раздел 3. Гидравлическое испытание сосудов и аппаратов Раздел 4. Испытание машин и механизмов с электроприводом на холостом ходу Отдел 02. Такелажные работы Раздел 1. Устройство и разборка якорей Раздел 2. Установка и снятие талей и лебедок без устройства якорей Раздел 3. Установка и снятие монтажных блоков и полиспастов Раздел 4. Закрепление и снятие расчалок (оттяжек) Раздел 5. Установка и снятие треноги и опорной стойки Раздел 6. Устройство, разборка и передвижка рельсовых путей |
| Разработан: | Федеральный центр ценообразования в строительстве и промышленности строительных материалов |
| Утверждён: | 30.01.2014 Министерство регионального развития Российской Федерации (31/пр) |
| Издан: | ООО Стройинформиздат (2014 г. ) |
| Расположен в: | |
| Чем заменён: | |
| Нормативные ссылки: |



















