Скачать ГОСТ Р 57025-2016 Рыба, нерыбные объекты и продукция из них. Иммуноферментный метод определения остаточного содержания трифенилметановых красителейДата актуализации: 10.08.2017 ГОСТ Р 57025-2016
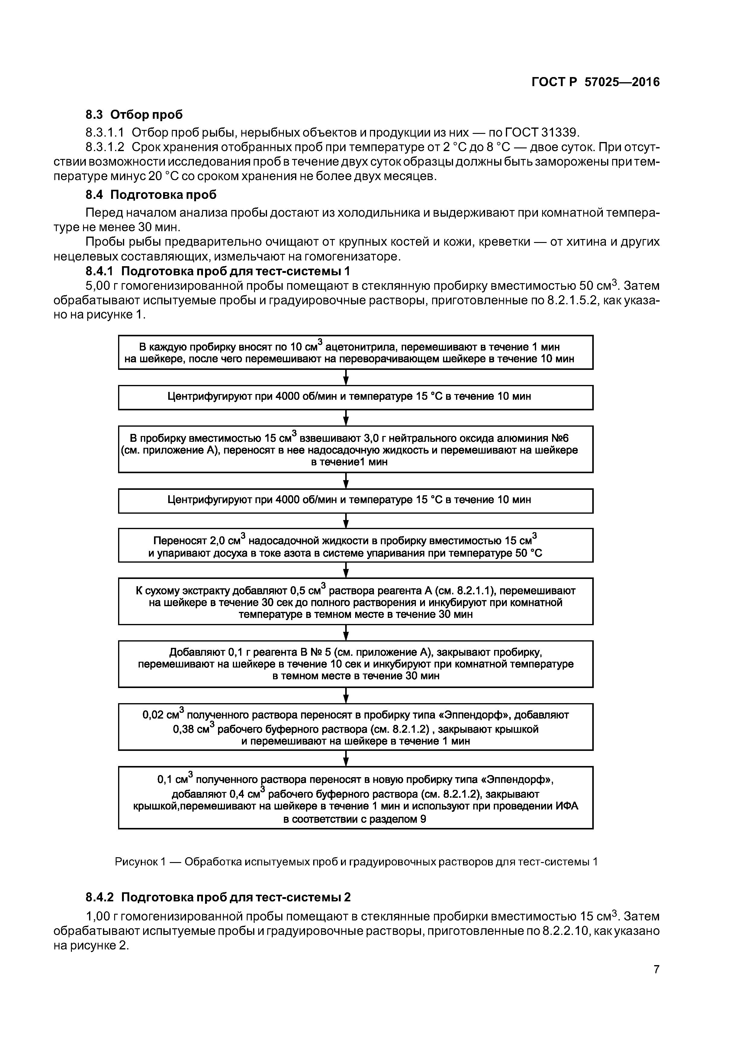
Рыба, нерыбные объекты и продукция из них. Иммуноферментный метод определения остаточного содержания трифенилметановых красителейОбозначение: | ГОСТ Р 57025-2016 | Обозначение англ: | GOST R 57025-2016 | Статус: | принят | Название рус.: | Рыба, нерыбные объекты и продукция из них. Иммуноферментный метод определения остаточного содержания трифенилметановых красителей | Название англ.: | Fish, non-fish objects and products from them. Immunoenzyme method of determination of the triphenylmethane dyes | Дата добавления в базу: | 01.02.2017 | Дата актуализации: | 05.05.2017 | Дата введения: | 19.08.2016 | Дата окончания срока действия: | 01.07.2017 | Область применения: | Стандарт распространяется на рыбу, нерыбные объекты (ракообразные, моллюски) и продукцию из них и устанавливает иммуноферментный метод определения остаточного суммарного содержания трифенилметановых красителей (малахитовый зеленый, лейкомалахитовый зеленый, кристаллический фиолетовый, бриллиантовый зеленый). | Оглавление: | 1 Область применения 2 Нормативные ссылки 3 Термины, определения и сокращения 4 Сущность метода 5 Предел обнаружения суммарного содержания трифенилметановых красителей 6 Требования безопасности и условия выполнения измерений 7 Средства измерений, аппаратура, материалы, посуда и реактивы 8 Подготовка к выполнению измерений 8.1 Подготовка оборудования 8.2 Приготовление растворов 8.3 Отбор проб 8.4 Подготовка проб 9 Проведение иммуноферментного анализа 10 Обработка результатов измерения Приложение А (обязательное) Комплектация тест-системы 1 Приложение Б (обязательное) Комплектация тест-системы 2 Приложение В (рекомендуемое) Схема заполнения лунок планшета | Разработан: | ФГБУ ВГНКИ
| Утверждён: | 19.08.2016 Федеральное агентство по техническому регулированию и метрологии (926-ст)
| Издан: | Стандартинформ (2016 г. )
| Расположен в: |
| Нормативные ссылки: | |
                 
|